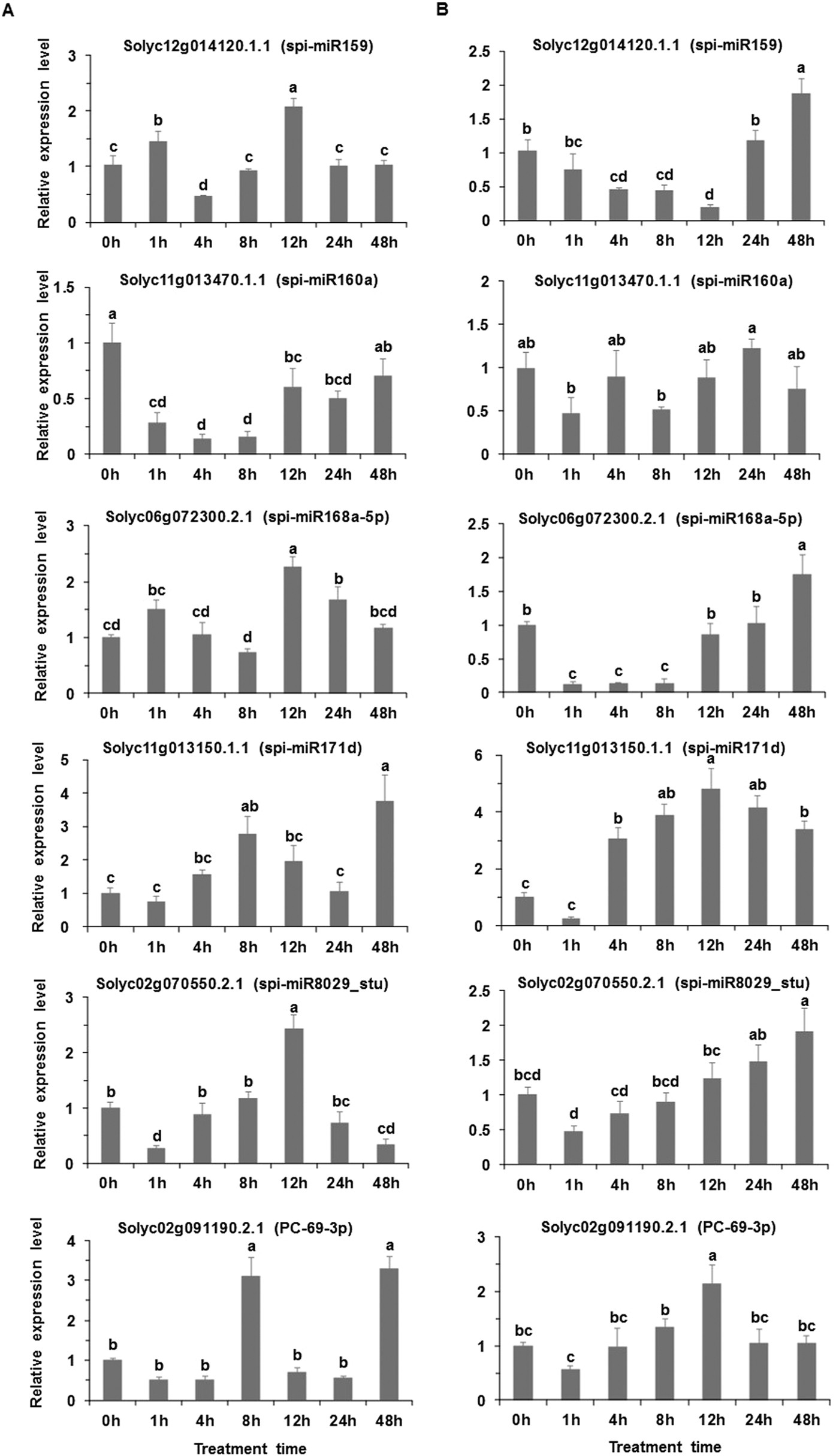
Figure 5: qRT-PCR validation of target genes in the wild tomato at control (0 h) or elevated temperature (1 h, 4 h, 8 h, 12 h, 24 h and 48 h).

(A) Left, moderately elevated temperature (33/33 °C, MET); (B) right, acutely elevated temperature (40/40 °C, AET). The six sub-graphs in (A,B) give the values for six target genes. Each value was calculated as the mean of three samples ± standard error (SE). The different letters above the bar indicate significant difference (P < 0.05).