Figure 4
From: Superhydrophobic porous networks for enhanced droplet shedding

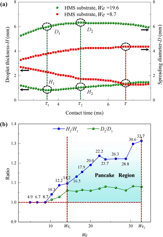
Temporal evolution of drop impact and rebound.
(a) Temporal evolution of the spreading diameter D(t) and the thickness H(t) of the drop during its impact on the HMS substrate under We of 8.7 (symmetric bouncing) and 19.6 (pancake bouncing), respectively. Notably, the maximum spreading diameter and maximum thickness is aligned in the case of symmetric bouncing whereas they are seperated in the pancake bouncing. (b) The ratios D2/D1 and H2/H1 are plotted versus the We. These ratios are always larger than the unity in the pancake bouncing.