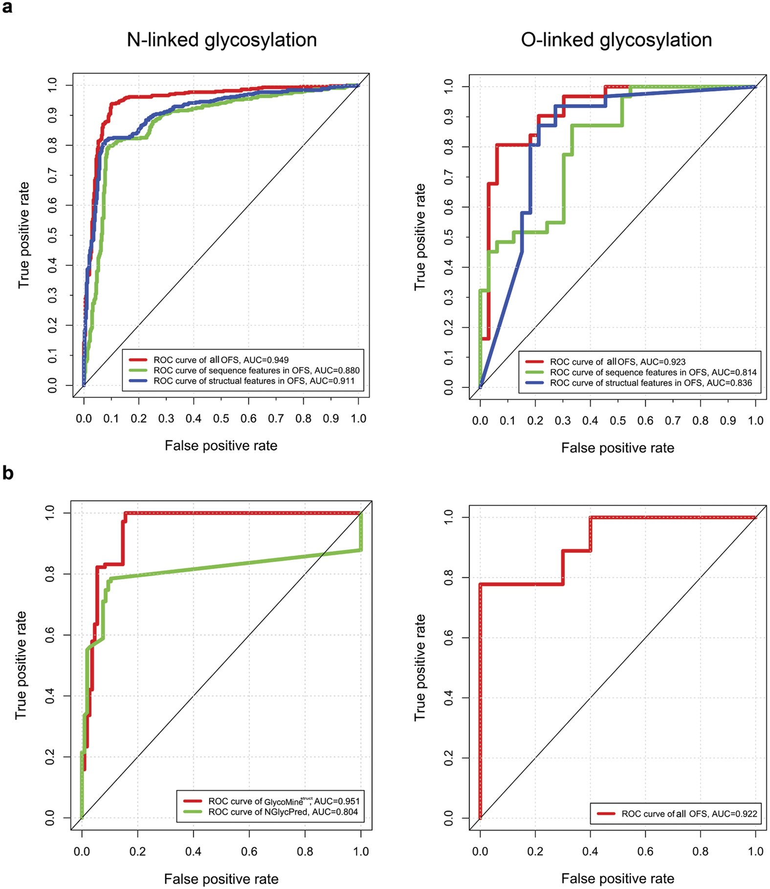
Figure 4

ROC curves.
(a) Different GlycoMinestruct models trained with OFSs selected from all features, sequence features only, and structural features only, for N- and O-linked glycosylation sites. (b) N- and O-linked glycosylation-site predictions from GlycoMinestruct (trained with the OFS) and NGlycPred using the independent test dataset.