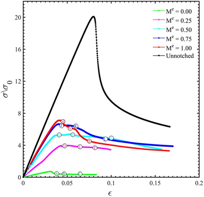
Figure 5

The applied stress versus the engineering strain of the notched sample.
,
, and L and W are sample length and width, respectively.

The applied stress versus the engineering strain of the notched sample.
,
, and L and W are sample length and width, respectively.