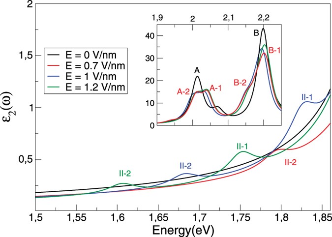
Figure 2

The imaginary part of the in-plane dielectric function of bilayer MoS2.
Results are presented for four different values of the layer perpendicular field as indicated. The inset presents the behaviour of ε2 over a wide energy range. Two distinct types of excitonic behaviour may be observed: an exciton (A) whose resonance energy does not change as a function of the electric field, and a second exciton (II) whose resonance energy changes strongly with applied field. All results are calculated by solving BSE in presence of an electric field and spin-orbit coupling.