Figure 1
From: Negative Magnetoresistance in Amorphous Indium Oxide Wires

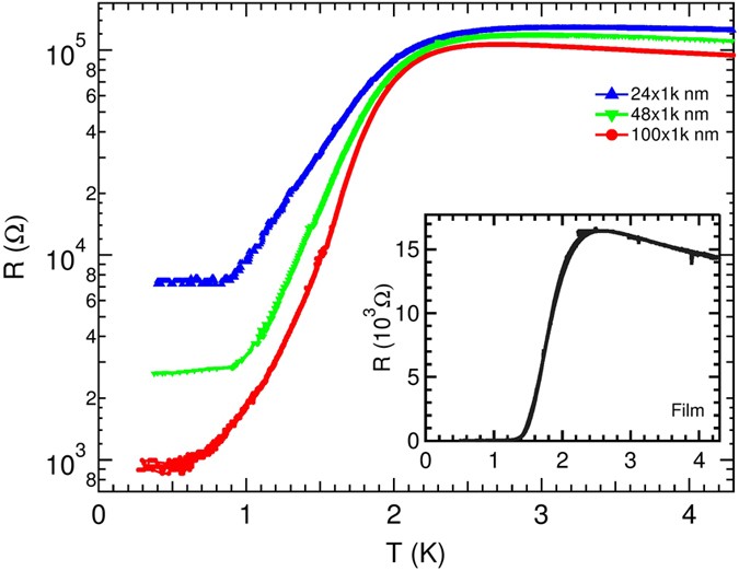
The T variation of R (in semi-log scale) at B = 0 for 1 μm long wires with different [24(blue), 48(green) and 100(red) nm] widths.
The wires show superconducting transition at TC around 1.8 K. Below TC, at lowest T, R saturate at finite values. (Inset:) R-T for the simultaneously prepared film, measured at B = 0 shows a sharp drop at TC = 1.76 K and R appeared to go to zero.