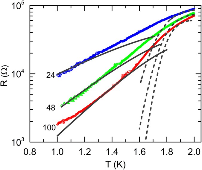
Figure 2
From: Negative Magnetoresistance in Amorphous Indium Oxide Wires

RvsT for the 3 wires of different widths as in Fig. 1.
The dashed lines are the fitting of the experimental data with TAPS model, whereas the solid lines are the fitting with the simplified short wire model.