Figure 4
From: Negative Magnetoresistance in Amorphous Indium Oxide Wires

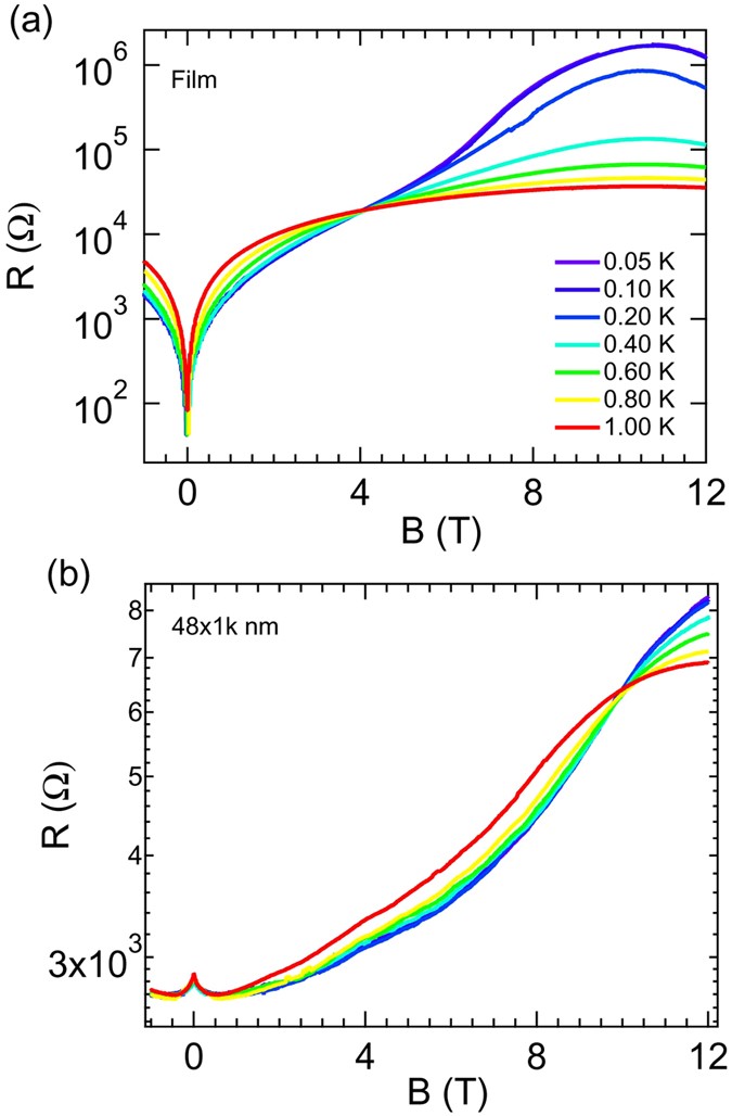
(a) The R vs B isotherms (in semi-log scale) for the film, showing B-driven SIT (Bc ≈ 4.05 T). At Bc, R is 6.5 kΩ, which is close to quantum resistance of Cooper pair. (b) The R(B) isotherms for w = 48 nm wire at the same Ts as of the film (see the color palette). The low-field magnetoresistance peak at B = 0 is clearly visible. The isotherms cross each other at B = 10 T, signifying SIT.