Figure 7
From: Negative Magnetoresistance in Amorphous Indium Oxide Wires

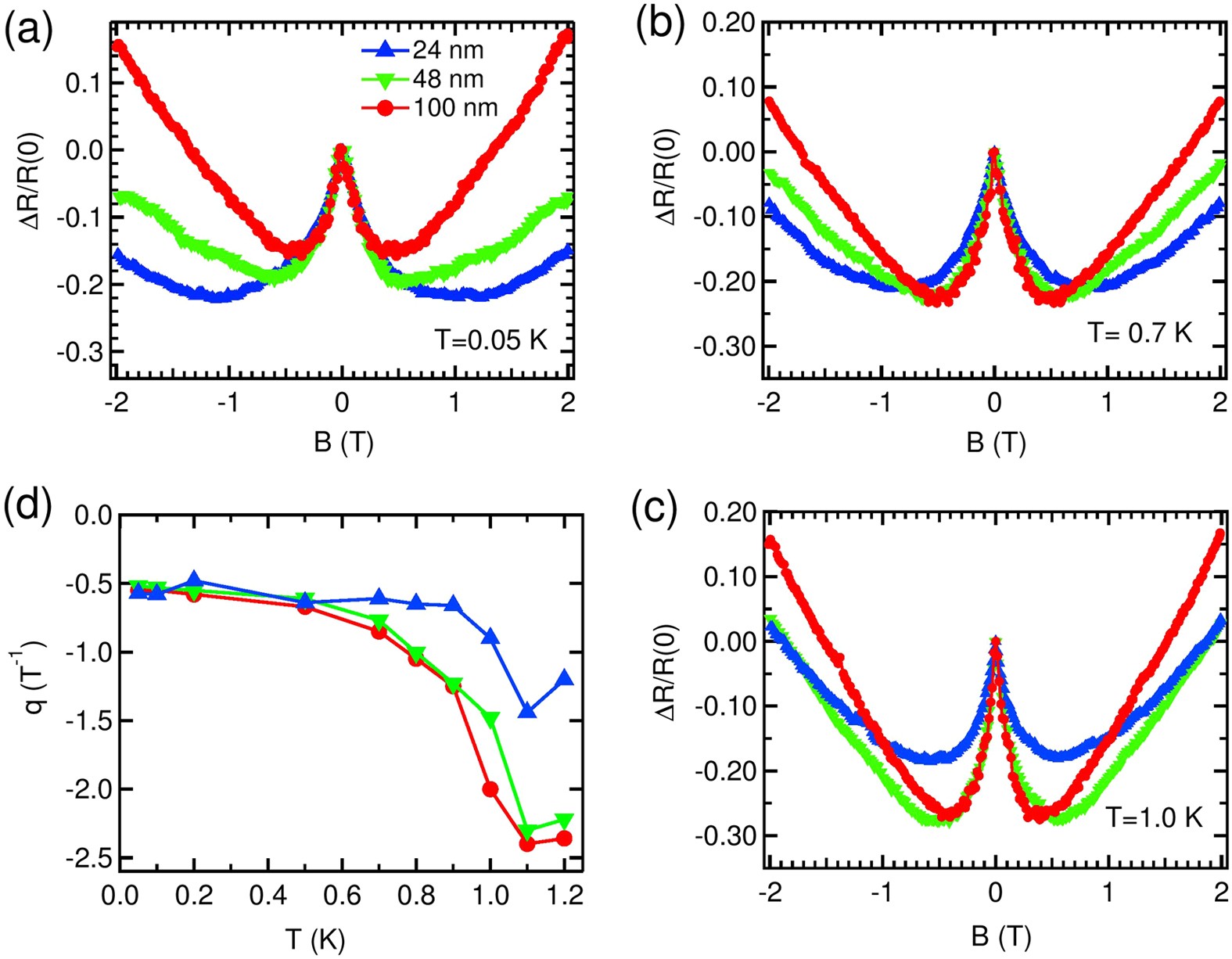
The variation of change in R with B measured for 3 different w; 24 (blue), 48 (green) and 100 nm (red) at T = (a) 0.05 K (b) 0.70 K and (c) 1.0 K. The data are normalized with respect to zero B resistance [R(0)]. ΔR = [R − R(0)] is the change in R from R(0). The lines joining the data points are to guide the eye. (d) The variation of the slope (q) (see text) with T suggests that in the nMR regime the rate of change of R with B increases as T is increased. For wires of different w, q stays fairly constant up to 0.5 K. The lines are to guide the eye.