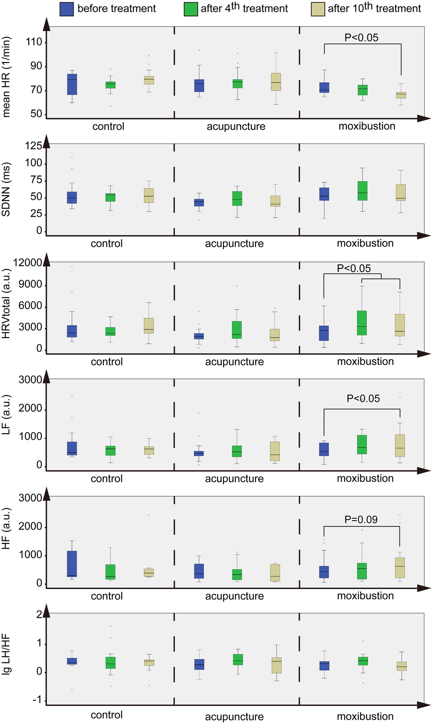
Figure 7

Long-term effectiveness of HRV parameters before and after the 4th and 10th treatments.
Mean HR decreased after the 10th treatment in MG. Total HRV and LF increased significantly after the 4th or 10th treatment in MG (P < 0.05). The increase in HF in MG was not significant (P = 0.09). There was no significant effectiveness in CG and AG.