Figure 13
From: Arbitrary quantum state engineering in three-state systems via Counterdiabatic driving

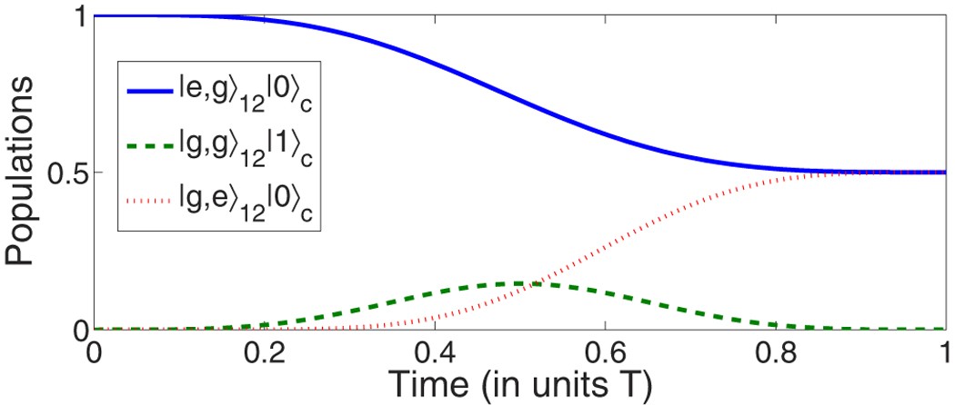
Time-evolution for states |e, g〉12 |0〉, |g, g〉12 |1〉, and |g, e〉12 |0〉 for the example of entangled state’s generation.
From: Arbitrary quantum state engineering in three-state systems via Counterdiabatic driving

Time-evolution for states |e, g〉12 |0〉, |g, g〉12 |1〉, and |g, e〉12 |0〉 for the example of entangled state’s generation.