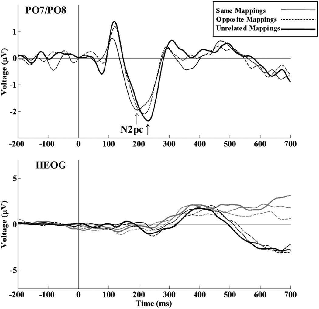
Figure 3

Modulations of visuospatial attention correlate.
The negativity posterior contralateral (N2pc) obtained at PO7/PO8 was longer in UM than in SM and OM. Measurement of horizontal electrooculographic activity (HEOG) did not reveal any differences between experimental conditions.