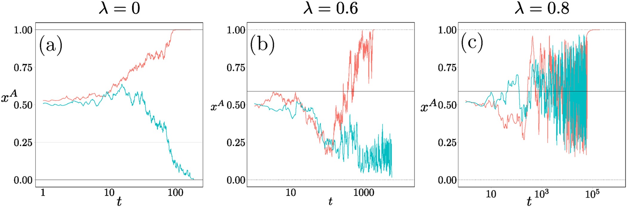
Figure 15: Hyperbolic game.

Sample trajectories in a population of size N = 500 and with Γ = 0.1, for (a) λ = 0, (b) 0.6 and (c) 0.8, in the same representation as in Fig. 13. Panel (a) shows relaxation to the region around the saddle point, with fluctuations then determining at which boundary fixed point fixation occurs. The trajectories in (b) start similarly but then are driven to one of two interior stable fixed points, from which fixation proceeds by activation to the nearest boundary. In (c), all trajectories go to the single interior fixed point, from which fixation by activation occurs to one of two boundary fixed points (top right and bottom left in right-hand panel of Fig. 14).