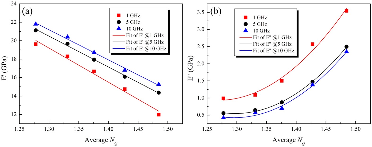
Figure 6: Storage modulus E′ and loss modulus E″ as functions of averaged NQ, for different frequency f.

In this figure, the frequencies were set to 1 GHz, 5 GHz and 10 GHz. Temperature were 300 K, 400 K, 500 K, 600 K and 700 K. The metallic glass models were prepared at a cooling rate: 1e12 K/s.