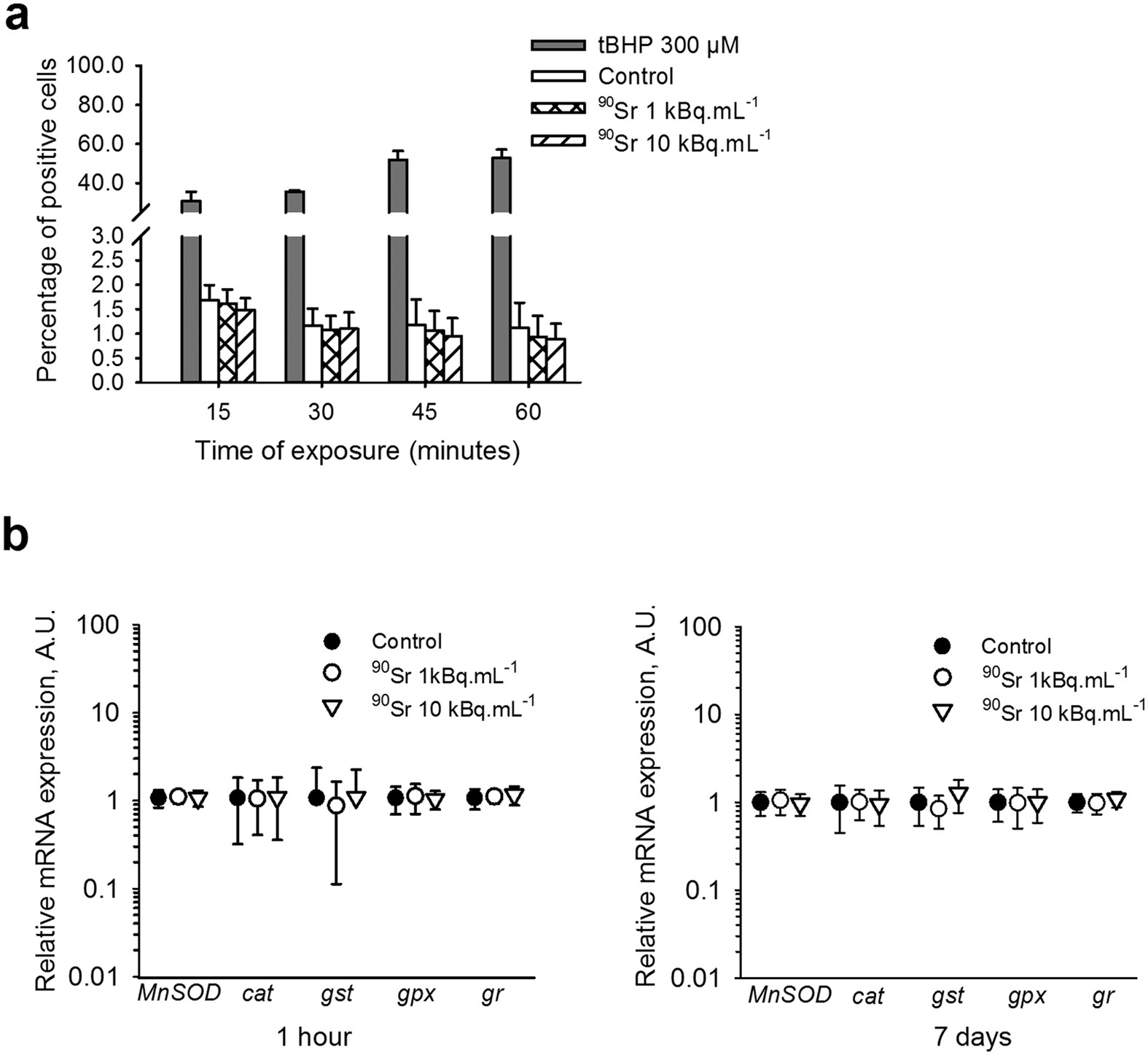
Figure 2: Oxidative stress is not induced by 90Sr exposure.

(a) Flow cytometry detection of reactive oxygen species production after 15 minutes to 1 hour of 90Sr exposure. Grey bars represent cells treated with 300 μM tBHP as positive control (two-way ANOVA, F(2. 60) = 0.854, n.s.). (b) Relative mRNA expression of the major enzymes involved in the anti-oxidative system: MnSOD, Cat, Gst, Gpx and Gsr after 1 hour (left panel) and 7 days (right panel) of exposure to 90Sr (one-way ANOVA, n.s.). Results are presented as mean ± standard deviation (SD) (arbitrary units, A.U.).