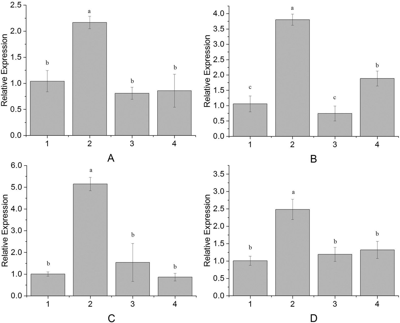
Figure 7: The expression profiles of 4 SAGs in tobacco leaves after injection.
From: A sugarcane R2R3-MYB transcription factor gene is alternatively spliced during drought stress

1: Injected with recombinational Agrobacterium containing empty vector; 2. Injected with recombinational Agrobacterium containing the target gene of ScMYB2S1; 3. Injected with recombinational Agrobacterium containing the target gene of ScMYB2S2; 4: Injected with the mixture of the two recombinants containing ScMYB2S1 and ScMYB2S2. (A) NtNYC; (B) NtPR-1a; (C) NtCAT3; (D) NtABRE. The different lowercase indicated the significance difference of 4 SAGs expression levels under p-value < 0.01 level.