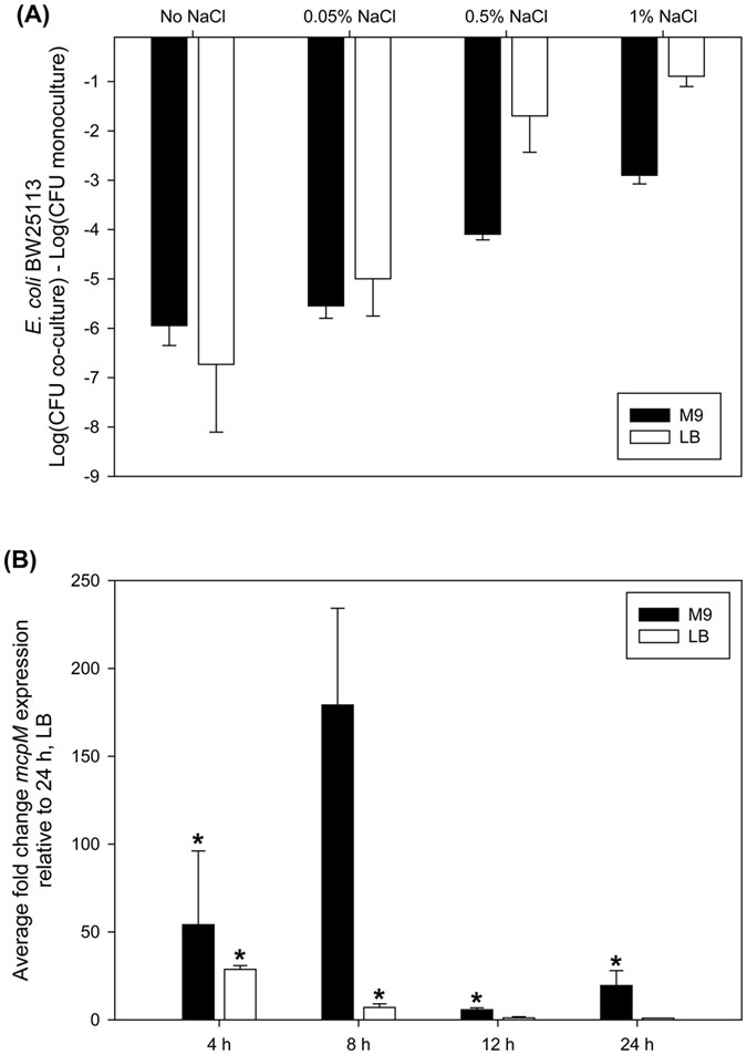
Figure 1: The mccPDI phenotype is linked to media osmolarity.
From: Microcin PDI regulation and proteolytic cleavage are unique among known microcins

(A) Competition assays between an mccPDI-producing strain (E. coli-25) and a target strain (BW25113) in M9 and LB with different concentrations of NaCl for 12 h. Results are expressed as the difference of mean log CFU during co-culture and mono-culture (n = 3 independent replicates; error bars = SEM). (B) Transcriptional analysis of mcpM for E. coli-25 cultured in LB or M9 media by qPCR. Fold change is expressed relative to mcpM expression in LB at 24 h (error bars = SEM; 3 independent replicates).*P < 0.01 based on ANOVA.