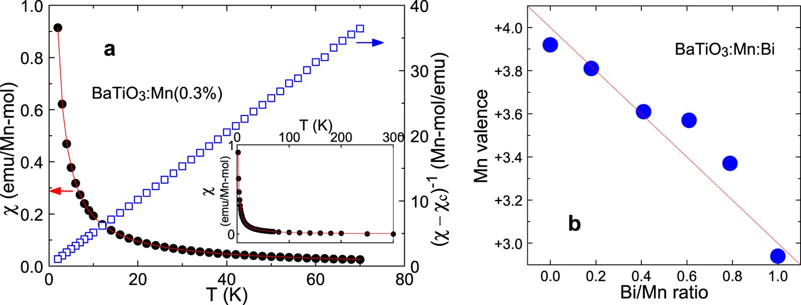
Figure 5

(a) Temperature dependence of magnetic susceptibility (χ-T curve) for BaTiO3:Mn(0.3%). Solid line indicates the fit to the Curie-Weiss law with the parameters indicated in Table 2. Inverse susceptibility with subtraction of the constant term (χ−χc)−1 is also indicated. Inset shows the χ-T curve with a fitted curve in the temperature range of 2 to 300 K. (b) Dependence of the Mn valence estimated from the Curie-Weiss analysis of the χ−T curves on the Bi/Mn content ratio in Mn-doped and Bi/Mn-doubly doped BaTiO3.