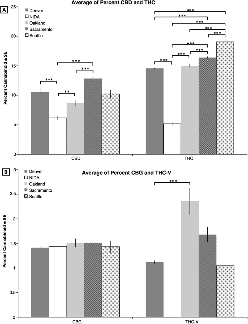
Figure 1: Average percent cannabinoids for five different locations.
From: Compromised External Validity: Federally Produced Cannabis Does Not Reflect Legal Markets

(A) CBD (N = 313) and THC (N = 2923). (B) CBG (N = 411) and THC-V (40). Significant values between the comparisons are given in the horizontal bars above: ***P < 0.001; **P < 0.01; and *P < 0.05.