Abstract
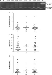
We examined whether two functional polymorphisms (g.−1562C>T and g.−90(CA)14–24) in the matrix metalloproteinase (MMP)-9 gene or MMP-9 haplotypes affect the circulating levels of pro-MMP-9 and pro-MMP-9/TIMP-1 (tissue inhibitor of metalloproteinase-1) ratios in AIDS patients, and modulate alterations in these biomarkers after highly active antiretroviral therapy (HAART). We studied 82 patients commencing HAART. Higher pro-MMP-9 concentrations and pro-MMP-9/TIMP-1 ratios were found in CT/TT patients compared with CC patients. HAART decreased pro-MMP-9 levels and pro-MMP-9/TIMP-1 ratios in CT/TT patients, it did not modify pro-MMP-9 levels and it increased pro-MMP-9/TIMP-1 ratios in CC patients. The g.−90(CA)14–24 polymorphism, however, produced no significant effects. Moreover, we found no significant differences in HAART-induced changes in plasma pro-MMP-9, TIMP-1 and pro-MMP-9/TIMP-1 ratios when different MMP-9 haplotypes were compared. These findings suggest that the g.−1562C>T polymorphism affects pro-MMP-9 levels in patients with AIDS and modulates the alterations in pro-MMP-9 levels caused by HAART, thus possibly affecting the risk of cardiovascular complications.
This is a preview of subscription content, access via your institution
Access options
Subscribe to this journal
Receive 6 print issues and online access
$259.00 per year
only $43.17 per issue
Buy this article
- Purchase on SpringerLink
- Instant access to the full article PDF.
USD 39.95
Prices may be subject to local taxes which are calculated during checkout




Similar content being viewed by others
References
Palella Jr FJ, Delaney KM, Moorman AC, Loveless MO, Fuhrer J, Satten GA et al. Declining morbidity and mortality among patients with advanced human immunodeficiency virus infection. HIV Outpatient Study Investigators. N Engl J Med 1998; 338: 853–860.
Crum NF, Riffenburgh RH, Wegner S, Agan BK, Tasker SA, Spooner KM et al. Comparisons of causes of death and mortality rates among HIV-infected persons: analysis of the pre-, early, and late HAART (highly active antiretroviral therapy) eras. J Acquir Immune Defic Syndr 2006; 41: 194–200.
Koutkia P, Grinspoon S . HIV-associated lipodystrophy: pathogenesis, prognosis, treatment, and controversies. Annu Rev Med 2004; 55: 303–317.
Holmberg SD, Moorman AC, Williamson JM, Tong TC, Ward DJ, Wood KC et al. Protease inhibitors and cardiovascular outcomes in patients with HIV-1. Lancet 2002; 360: 1747–1748.
Friis-Moller N, Sabin CA, Weber R, d′Arminio Monforte A, El-Sadr WM, Reiss P et al. Combination antiretroviral therapy and the risk of myocardial infarction. N Engl J Med 2003; 349: 1993–2003.
Grinspoon S, Carr A . Cardiovascular risk and body-fat abnormalities in HIV-infected adults. N Engl J Med 2005; 352: 48–62.
Sklar P, Masur H . HIV infection and cardiovascular disease-is there really a link? N Engl J Med 2003; 349: 2065–2067.
Grinspoon SK, Grunfeld C, Kotler DP, Currier JS, Lundgren JD, Dube MP et al. State of the science conference: initiative to decrease cardiovascular risk and increase quality of care for patients living with HIV/AIDS: executive summary. Circulation 2008; 118: 198–210.
Mary-Krause M, Cotte L, Simon A, Partisani M, Costagliola D . Increased risk of myocardial infarction with duration of protease inhibitor therapy in HIV-infected men. AIDS 2003; 17: 2479–2486.
Grover SA, Coupal L, Gilmore N, Mukherjee J . Impact of dyslipidemia associated with Highly Active Antiretroviral Therapy (HAART) on cardiovascular risk and life expectancy. Am J Cardiol 2005; 95: 586–591.
Sutliff RL, Dikalov S, Weiss D, Parker J, Raidel S, Racine AK et al. Nucleoside reverse transcriptase inhibitors impair endothelium-dependent relaxation by increasing superoxide. Am J Physiol Heart Circ Physiol 2002; 283: H2363–H2370.
Blankenberg S, Rupprecht HJ, Poirier O, Bickel C, Smieja M, Hafner G et al. Plasma concentrations and genetic variation of matrix metalloproteinase 9 and prognosis of patients with cardiovascular disease. Circulation 2003; 107: 1579–1585.
Galis ZS, Khatri JJ . Matrix metalloproteinases in vascular remodeling and atherogenesis: the good, the bad, and the ugly. Circ Res 2002; 90: 251–262.
Altieri P, Brunelli C, Garibaldi S, Nicolino A, Ubaldi S, Spallarossa P et al. Metalloproteinases 2 and 9 are increased in plasma of patients with heart failure. Eur J Clin Invest 2003; 33: 648–656.
Lynch JR, Blessing R, White WD, Grocott HP, Newman MF, Laskowitz DT . Novel diagnostic test for acute stroke. Stroke 2004; 35: 57–63.
Apple FS, Wu AH, Mair J, Ravkilde J, Panteghini M, Tate J et al. Future biomarkers for detection of ischemia and risk stratification in acute coronary syndrome. Clin Chem 2005; 51: 810–824, Epub 2005 Mar 2017.
Pantanowitz L, Dezube BJ, Hernandez-Barrantes S, Tahan SR, Dabbous MK . Matrix metalloproteinases in the progression and regression of Kaposi′s sarcoma. J Cutan Pathol 2006; 33: 793–798.
Sporer B, Koedel U, Paul R, Kohleisen B, Erfle V, Fontana A et al. Human immunodeficiency virus type-1 Nef protein induces blood-brain barrier disruption in the rat: role of matrix metalloproteinase-9. J Neuroimmunol 2000; 102: 125–130.
Weeks BS . The role of HIV-1 activated leukocyte adhesion mechanisms and matrix metalloproteinase secretion in AIDS pathogenesis (Review). Int J Mol Med 1998; 1: 361–366.
Conant K, McArthur JC, Griffin DE, Sjulson L, Wahl LM, Irani DN . Cerebrospinal fluid levels of MMP-2, 7, and 9 are elevated in association with human immunodeficiency virus dementia. Ann Neurol 1999; 46: 391–398.
Dezube BJ, Krown SE, Lee JY, Bauer KS, Aboulafia DM . Randomized phase II trial of matrix metalloproteinase inhibitor COL-3 in AIDS-related Kaposi′s sarcoma: an AIDS malignancy consortium study. J Clin Oncol 2006; 24: 1389–1394.
Van den Steen PE, Dubois B, Nelissen I, Rudd PM, Dwek RA, Opdenakker G . Biochemistry and molecular biology of gelatinase B or matrix metalloproteinase-9 (MMP-9). Crit Rev Biochem Mol Biol 2002; 37: 375–536.
Zhang B, Ye S, Herrmann SM, Eriksson P, de Maat M, Evans A et al. Functional polymorphism in the regulatory region of gelatinase B gene in relation to severity of coronary atherosclerosis. Circulation 1999; 99: 1788–1794.
Shimajiri S, Arima N, Tanimoto A, Murata Y, Hamada T, Wang KY et al. Shortened microsatellite d(CA)21 sequence down-regulates promoter activity of matrix metalloproteinase 9 gene. FEBS Lett 1999; 455: 70–74.
Morgan AR, Zhang B, Tapper W, Collins A, Ye S . Haplotypic analysis of the MMP-9 gene in relation to coronary artery disease. J Mol Med 2003; 81: 321–326, Epub 2003 May 2001.
Jones GT, Phillips VL, Harris EL, Rossaak JI, van Rij AM . Functional matrix metalloproteinase-9 polymorphism (C-1562T) associated with abdominal aortic aneurysm. J Vasc Surg 2003; 38: 1363–1367.
Lamblin N, Bauters C, Hermant X, Lablanche JM, Helbecque N, Amouyel P . Polymorphisms in the promoter regions of MMP-2, MMP-3, MMP-9 and MMP-12 genes as determinants of aneurysmal coronary artery disease. J Am Coll Cardiol 2002; 40: 43–48.
Koh YS, Chang K, Kim PJ, Seung KB, Baek SH, Shin WS et al. A close relationship between functional polymorphism in the promoter region of matrix metalloproteinase-9 and acute myocardial infarction. Int J Cardiol 2007; 13: 13.
Meng Q, Lima JA, Lai H, Vlahov D, Celentano DD, Strathdee SA et al. Coronary artery calcification, atherogenic lipid changes, and increased erythrocyte volume in black injection drug users infected with human immunodeficiency virus-1 treated with protease inhibitors. Am Heart J 2002; 144: 642–648.
Koppel K, Bratt G, Eriksson M, Sandstrom E . Serum lipid levels associated with increased risk for cardiovascular disease is associated with highly active antiretroviral therapy (HAART) in HIV-1 infection. Int J STD AIDS 2000; 11: 451–455.
Goldberg GI, Strongin A, Collier IE, Genrich LT, Marmer BL . Interaction of 92-kDa type IV collagenase with the tissue inhibitor of metalloproteinases prevents dimerization, complex formation with interstitial collagenase, and activation of the proenzyme with stromelysin. 1992; 267: 4583–4591.
Latronico T, Liuzzi GM, Riccio P, Lichtner M, Mengoni F, D′Agostino C et al. Antiretroviral therapy inhibits matrix metalloproteinase-9 from blood mononuclear cells of HIV-infected patients. AIDS 2007; 21: 677–684.
Liuzzi GM, Mastroianni CM, Latronico T, Mengoni F, Fasano A, Lichtner M et al. Anti-HIV drugs decrease the expression of matrix metalloproteinases in astrocytes and microglia. Brain 2004; 127: 398–407.
Garvin P, Nilsson L, Carstensen J, Jonasson L, Kristenson M . Circulating matrix metalloproteinase-9 is associated with cardiovascular risk factors in a middle-aged normal population. PLoS ONE 2008; 3: e1774.
Martinez ML, Lopes LF, Coelho EB, Nobre F, Rocha JB, Gerlach RF et al. Lercanidipine reduces matrix metalloproteinase-9 activity in patients with hypertension. J Cardiovasc Pharmacol 2006; 47: 117–122.
Crawford DC, Nickerson DA . Definition and clinical importance of haplotypes. Annu Rev Med 2005; 56: 303–320.
Johnson GC, Esposito L, Barratt BJ, Smith AN, Heward J, Di Genova G et al. Haplotype tagging for the identification of common disease genes. Nat Genet 2001; 29: 233–237.
Clark AG . The role of haplotypes in candidate gene studies. Genet Epidemiol 2004; 27: 321–333.
Demacq C, de Souza AP, Machado AA, Gerlach RF, Tanus-Santos JE . Genetic polymorphism of matrix metalloproteinase (MMP)-9 does not affect plasma MMP-9 activity in healthy subjects. Clin Chim Acta 2006; 365: 183–187.
Demacq C, Vasconcellos VB, Marcaccini AM, Gerlach RF, Silva Jr WA, Tanus-Santos JE . Functional polymorphisms in the promoter of the matrix metalloproteinase-9 (MMP-9) gene are not linked with significant plasma MMP-9 variations in healthy subjects. Clin Chem Lab Med 2008; 46: 57–63.
Gerlach RF, Uzuelli JA, Souza-Tarla CD, Tanus-Santos JE . Effect of anticoagulants on the determination of plasma matrix metalloproteinase (MMP)-2 and MMP-9 activities. Anal Biochem 2005; 344: 147–149.
Souza-Tarla CD, Uzuelli JA, Machado AA, Gerlach RF, Tanus-Santos JE . Methodological issues affecting the determination of plasma matrix metalloproteinase (MMP)-2 and MMP-9 activities. Clin Biochem 2005; 38: 410–414.
Kleiner DE, Stetler-Stevenson WG . Quantitative zymography: detection of picogram quantities of gelatinases. Anal Biochem 1994; 218: 325–329.
Gerlach RF, Demacq C, Jung K, Tanus-Santos JE . Rapid separation of serum does not avoid artificially higher matrix metalloproteinase (MMP)-9 levels in serum versus plasma. Clin Biochem 2007; 40: 119–123.
Stephens M, Smith NJ, Donnelly P . A new statistical method for haplotype reconstruction from population data. Am J Hum Genet 2001; 68: 978–989.
Acknowledgements
This study was supported by Fundação de Amparo à Pesquisa do Estado de Sao Paulo (FAPESP), Conselho Nacional de Desenvolvimento Científico e Tecnológico (CNPq) and Coordenadoria de Aperfeiçoamento de Pessoal de Nível Superior (CAPES).
Author information
Authors and Affiliations
Corresponding author
Rights and permissions
About this article
Cite this article
Demacq, C., Vasconcellos, V., Marcaccini, A. et al. A genetic polymorphism of matrix metalloproteinase 9 (MMP-9) affects the changes in circulating MMP-9 levels induced by highly active antiretroviral therapy in HIV patients. Pharmacogenomics J 9, 265–273 (2009). https://doi.org/10.1038/tpj.2009.13
Received:
Revised:
Accepted:
Published:
Issue date:
DOI: https://doi.org/10.1038/tpj.2009.13
Keywords
This article is cited by
-
Tissue inhibitor of matrix metalloproteinase-1 polymorphism, plasma TIMP-1 levels, and antihypertensive therapy responsiveness in hypertensive disorders of pregnancy
The Pharmacogenomics Journal (2014)
-
Matrix metalloproteinase-9 genetic variations affect MMP-9 levels in obese children
International Journal of Obesity (2012)
-
Matrix metalloproteinase-9 polymorphisms affect plasma MMP-9 levels and antihypertensive therapy responsiveness in hypertensive disorders of pregnancy
The Pharmacogenomics Journal (2012)
-
Matrix metalloproteinase polymorphisms and HIV anti-retroviral drugs: new implications of pharmacogenomics in therapeutic approaches
The Pharmacogenomics Journal (2009)


