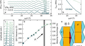
The discovery of superconductivity in the heavy fermion compound UTe2, a potential topological and triplet-paired superconductor, has generated significant interest in condensed matter physics with particular interest in the nature of the Fermi surface. Here, the authors employed a contactless conductivity technique to investigate the quantum interference oscillations of compressed UTe2 up to 19.5 kbar, aiming to examine key features of its Fermi surface.
- T. I. Weinberger
- Z. Wu
- A. G. Eaton