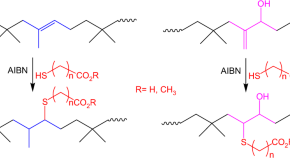
The synthesis of carboxylated IIR was achieved in high yield starting from brominated substrates, which were first converted to azides and used in the copper-catalyzed azide–alkyne Huisgen cycloaddition reaction with acetylenic acids containing different aliphatic spacer lengths. Optimization of the reaction conditions was critical to avoid the formation of gel particles in the reactions and to achieve full conversion of the bromide to carboxylate derivatives.
- Vishnu D. Deepak
- Ilias Mahmud
- Mario Gauthier