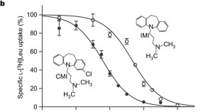
The initial crystal structure of LeuT, together with subsequent functional and structural studies, provided direct evidence for a single, high-affinity substrate-binding site. Recent binding, flux and molecular simulation studies, however, have been interpreted in terms of a model where there are two high-affinity binding sites: the second (S2) site is believed to be located within the extracellular vestibule. Here, direct measurement is performed of substrate binding to wild-type LeuT and to S2 site mutants using isothermal titration calorimetry, equilibrium dialysis and scintillation proximity assays. The conclusion is made that LeuT harbours a single, centrally located, high-affinity substrate-binding site.
- Chayne L. Piscitelli
- Harini Krishnamurthy
- Eric Gouaux