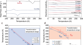
Superelastic alloys suitable for low-temperature environments are crucially lacking. Here, we report an excellent superelastic (rubber-like) strain of more than 7% at 4.2 K using a Cu–Al–Mn shape-memory alloy. This alloy also possesses a small stress hysteresis of less than 30 MPa down to 4.2 K, resulting in particularly persistent elastocaloric cooling ability in the low-temperature region. The present Cu–Al–Mn alloy will have significant engineering impact, especially in the fields of aerospace engineering, superconducting technologies, and liquefied-gas-storage technologies, as a new class of materials combining superelastic properties and persistent elastocaloric cooling properties even at cryogenic environments.
- Kodai Niitsu
- Yuta Kimura
- Ryosuke Kainuma