Abstract
June 2024 was the twelfth month in a row with global mean surface temperatures at least 1.5 °C above pre-industrial conditions, but it is not clear if this implies a failure to meet the Paris Agreement goal of limiting long-term warming below this threshold. Here we show that in climate model simulations, the long-term Paris Agreement target is usually crossed well before such a string of unusually warm temperatures occurs.
Similar content being viewed by others
Main
According to the Copernicus Climate Change Service (C3S)1 and the Berkeley Earth temperature update2, June 2024 was the first time in the instrumental record that global mean surface temperatures reached 1.5 °C above the pre-industrial period for 12 consecutive months. The 1.5 °C Paris Agreement threshold was exceeded in multiple data products, including the ERA5 global reanalysis3 and Berkeley Earth Surface Temperature record (BEST)4, before ERA5 data showed temperatures dipping below 1.5 °C in July5 (although they remained above 1.5 °C in BEST6). As noted in the June 2024 Berkeley Earth temperature update, although the parties of the United Nations Framework Convention on Climate Change have “set a goal to limit global warming to no more than 1.5 °C above the pre-industrial, it must be noted that this goal refers to the long-term average temperature. A few months, or a couple years, warmer than 1.5 °C does not automatically mean that the goal has been exceeded”2. When will we know that the world has passed this threshold in the long term? Does one year warmer than 1.5 °C signal that the Paris Agreement target has been crossed?
How to best reconcile information about temporary excursions above 1.5 °C and long-term threshold exceedance, typically defined on the basis of a centred 20-year running mean of global surface temperature, is an open problem; the latter, by definition, requires information about the future. One proposal is to combine historical observations of the past decade with climate model predictions for the next decade to estimate the current long-term mean global surface temperature7. The utility of approaches that merge observations and simulations depends on the accuracy of the initial state and external forcings being prescribed in the models. If there are possible exogenous changes in drivers that are not included in the model simulations, there is a danger of biased estimates of time-of-exceedance. At present, predictions differ slightly as a result of choice of historical observations and future forcings scenario, but estimates typically indicate that threshold crossing will occur sometime in the late 2020s or early 2030s. However, recent warming has sparked debate about whether the world might exceed the 1.5 °C Paris Agreement limit earlier than previously estimated8.
The fact that the world has experienced 12 consecutive months at or above 1.5 °C provides an important additional data point about the current state of long-term warming. Here, to make use of this information, Coupled Model Intercomparison Project Phase 6 (CMIP6) climate model projections9 are conditioned on the amount of time the 1.5 °C threshold has been reached in observations: the first time global temperatures reach 1.5 °C for 12 consecutive months in a given CMIP6 simulation10 is noted, followed by the time when the 20-year centred mean crosses 1.5 °C. The distribution of differences in these two times in the ensemble of simulations, after statistical calibration to ensure that the results can be interpreted in probabilistic terms, provides an estimate of the likelihood that long-term exceedance has already occurred. As described in the Methods, climate models are calibrated by weighting according to their consistency with the assessed distribution of the climate sensitivity11,12,13,14 of the Earth (for example, to reduce biases, primarily due to over-representation of ‘hot models’)15.
The relevance of the subset of CMIP6 models assessed here, as noted above, depends on whether the processes associated with 12 consecutive months at or above 1.5 °C in the models are the same as those in the real world. If they are not, then an exceedance in the real world would not necessarily be analogous to an exceedance in the models. However, one could view earlier than expected crossing of the Paris Agreement threshold relative to the timing of short-term exceedance in the models as an indication that missing drivers played a large role in the recent record-breaking warmth. Two potential candidates include changes in radiative forcings due to the Tonga eruption in 2022, which injected water vapour into the stratosphere16, and the introduction of shipping regulations in 2020, which have reduced visible ship tracks and albedo17. Other changes, for example rapid structural and sectoral changes in emissions following the COVID-19 pandemic, would also not be reflected in the CMIP6 forcings.
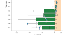
Figure 1a shows observed monthly global mean surface temperature anomalies from ERA5, highlighting the recent string of ≥1.5 °C values leading up to June 2024. Calibrated projections (Fig. 1b) of the year of Paris Agreement threshold crossing under shared socioeconomic pathway SSP 2-4.5 (median 2031; 5th and 95th percentiles: 2021 and 2047) are roughly consistent with those based on assessed warming in the IPCC Sixth Assessment Report (2031; probable range of 2024 to 2043)15. However, projections of the first occurrence of 12 consecutive months above 1.5 °C tend to occur after long-term warming has already reached 1.5 °C (median 2037; 5th and 95th percentiles: 2024 and 2049). The distribution of differences between these two estimates (inset in Fig. 1a) indicates that, contingent on the occurrence of a similar string of anomalies, the median time remaining until long-term exceedance in the calibrated CMIP6 ensemble is −33 months (5th and 95th percentiles: −76 and 28 months). Hence, in CMIP6 simulations, 12 consecutive months above 1.5 °C indicates that the Paris Agreement threshold is likely to have already been crossed (estimated exceedance probability of 0.76). As shown in Fig. 1c, the probability that long-term warming has already exceeded 1.5 °C is similar for SSP 5-8.5 (0.78) and is still more likely than not (0.56) for SSP 1-2.6, despite the fact that some models are not projected to reach this level of warming by the end of the century under this forcing scenario. If 1.5 °C anomalies continue beyond 18 months, breaching the Paris Agreement threshold is virtually certain under SSP 2-4.5 or 5-8.5.
a, ERA5 global temperature anomalies (≥1.5 °C in purple). The histogram shows the distribution of time between first occurrence of 12 months above 1.5 °C and long-term threshold exceedance (CMIP6 SSP 2-4.5; 26 members) superimposed over the observed occurrence date. b, Histograms of year of occurrence of Paris Agreement threshold crossing (grey) and first occurrence of 12 months above 1.5 °C (purple). In a and b vertical dashed (dotted) lines indicate the median (5th and 95th percentiles). c, Probability that the first occurrence of n consecutive months above 1.5 °C coincides with the Paris Agreement threshold already having been breached. Horizontal dotted lines show probabilities for 12 consecutive months.
Although not unprecedented, a year of temperature anomalies reaching 1.5 °C as early as 2024 is quite unusual in the calibrated CMIP6 ensemble, lying in the left tail of the distribution. Other than missing forcings, what might explain the apparent mismatch between observations and models? The strong El Niño of 2023–2024, which peaked with an Oceanic Niño Index (ONI) of 2 °C in November–January (1.8 s.d. above the historical mean), has been cited as a contributing factor to the recent record-breaking temperatures18,19. To account for the role of internal variability in controlling the time between short- and long-term exceedance of 1.5 °C, the analysis conducted for CMIP6 is repeated while also considering the impact of concurrent strong positive El Niño/Southern Oscillation (ENSO) conditions (12-month relative ONI20 >1.8 s.d.). Conditioning on both factors leads to a reduction in sample size21; therefore, the analysis is performed on a 100 member initial condition ensemble of the community Earth system model v.2 (CESM2 (refs. 22,23); run under SSP 5-8.5), which has been shown to simulate ENSO variability well, with El Niño conditions leading to warm anomalies in the following year24.
To illustrate, a CESM2 member that meets both criteria simultaneously is shown in Fig. 2: the first occurrence of 12 consecutive months at 1.5 °C (Fig. 2a), in conjunction with 12-month mean ONI >1.8 s.d. (Fig. 2b), occurs in June 2030, 23 months after the Paris Agreement threshold is crossed. As shown in Fig. 2c, the first occurrence of one year above 1.5 °C in the CESM2 large ensemble is almost always accompanied by positive ONI anomalies (97% of members), indicating that El Niño conditions do contribute to the emergence of short-term excursions above 1.5 °C. Taking into account events that are as strong or stronger than the observed 2023–2024 El Niño event, this results in a modest reduction in the simulated probability that 12 consecutive months above 1.5 °C occurs after the Paris Agreement threshold has already been reached; the probability drops from 0.88 for all members to 0.80 when taking El Niño into account (Fig. 2d). Note that CESM2 has a high equilibrium climate sensitivity22 and simulations follow SSP 5-8.5; both contribute to the higher estimated probabilities than previously noted for the calibrated CMIP6 ensemble (Fig. 1c). However, if one assumes a similar proportional reduction in probability (<10%) due to El Niño, calibrated CMIP6 projections would still show that long-term warming is at least more likely than not to have reached 1.5 °C in all scenarios. Similarly, the increase in the number of months between short- and long-term exceedance attributable to El Niño (+23 months for the 95th percentile of members) would still lead to an earlier than expected crossing of the Paris Agreement target in the calibrated CMIP6 ensemble. Given short-term crossing of 1.5 °C in June 2024 and, assuming SSP 2-4.5, long-term crossing would probably occur before 2029.
a, Global temperature anomalies from one CESM2 simulation (≥1.5 °C in purple; 20-year mean in solid line). Long- and short-term exceedance times are indicated with dotted purple and black lines, respectively. b, Corresponding 12-month mean ONI. The short-term exceedance time is indicated by the vertical dotted red line. c, Difference in time between short- and long-term exceedance versus ONI at the time of short-term exceedance (100 CESM2 members); shading indicates the bivariate density and the vertical dotted line indicates a difference of 0 months. The horizontal dashed black line indicates the 0 s.d. anomaly and the horizontal dashed red line the 1.8 s.d. anomaly, which corresponds to the strength of the observed 2023–2024 El Niño event. d, The proportion of ensemble members for which the difference in time between short- and long-term exceedance is ≤n months. The black line shows the 100 member ensemble; the red line is restricted to members with strong El Niño conditions at the time of short-term exceedance. The yellow arrow at 0 months indicates that taking strong El Niño conditions into account reduces the simulated probability (from the horizontal black to red dotted line) that short-term exceedance occurs after the long-term Paris Agreement threshold has already been reached. LE, large ensemble.
The analysis shows that 1.5 °C warming for 12 consecutive months, regardless of recent El Niño conditions, usually occurs after the 1.5 °C Paris Agreement threshold has been reached in archived simulations. Whether this signals an earlier than expected crossing in the real world depends on whether unaccounted factors, such as external forcings that are not considered in the archived climate model simulations, played a large role in recent warming. Initialized decadal predictions or projections that take these and other influences into account may shed new light on when the Paris Agreement threshold is expected to be crossed. It is therefore crucial that up-to-date forcings or updated forcing scenarios be more rapidly incorporated into operational modelling efforts.
Methods
Global warming levels
Observed warming levels are calculated on the basis of monthly global mean surface temperature anomalies relative to 1850–1900 from ERA5 (ref. 3), which are provided by the C3S as part of the C3S monthly climate bulletins1,5. As ERA5 does not extend back in time to 1850–1900, monthly anomalies with respect to the pre-industrial period in the bulletins are estimated by adjusting ERA5 anomalies from the 1991–2020 climatological mean using fixed offsets based on monthly warming estimates between 1850–1900 and 1991–2020 from multiple long-term observational data products. The time when global temperatures reach a given global warming level, such as 1.5 °C, is defined by the centred 240-month running mean7. Short-term excursions at or above this level are defined directly in terms of the monthly anomalies. The same definitions are used to calculate the timing of short- and long-term warming level threshold crossing in the climate model simulations.
Calibrated CMIP6 ensemble
Differences between the time of the first occurrence of n consecutive months reaching 1.5 °C and long-term exceedance of the Paris Agreement target are estimated using historical (1850–2014) and ScenarioMIP (SSP 1-2.6, 2-4.5 and 5-8.5; 2015–2100) simulations from a 26-member CMIP6 ensemble9. Time series of monthly mean global surface air temperature (GSAT) are calculated as area-weighted means of the raw gridded outputs. Given the inclusion of CMIP6 models with climate sensitivities outside the assessed range of the Earth system11,15, ensemble statistics are calibrated by weighting12,13,14 each model so that the resulting distribution of effective climate sensitivities matches the assessed distribution11. The same weights are then used to calculate the weighted quantiles of desired ensemble measures, from which calibrated distributions can be constructed. Extended Data Fig. 1 shows the weights assigned to each CMIP6 model, as well as an example of their use to calibrate the distribution of global mean surface temperature anomalies.
The main ensemble measure of interest in this study is the number of months between the first occurrence of n = 12 consecutive months reaching 1.5 °C (June 2024 in observations) and the central month of the 240-month centred running mean that exceeds 1.5 °C, that is when the Paris Agreement threshold is breached. To assess whether the statistical calibration of the CMIP6 ensemble results in skilful probabilistic predictions for historical conditions, weighted CMIP6 projections of the difference in time between short- and long-term exceedance of temperature thresholds that have already been reached in ERA5 are evaluated. This is done for combinations of temperature thresholds from 0.6, 0.7, …, 1. 0 °C and n = 6, 7, …, 12 consecutive months. The reliability of the calibrated ensemble predictions is evaluated by the probability integral transform (PIT) with ERA5 values as verifying observations. The shape of the PIT diagram is reasonably uniform with no indication of overdispersion or underdispersion, but a slight bias towards overprediction (Extended Data Fig. 2). The median values of the predictive distribution are significantly correlated with ERA5 observations (r = 0.52; 95% confidence interval: 0.23, 0.73). Taken together, the results suggest that statistically calibrated CMIP6 models provide reliable and skilful ensemble predictions for historical observations.
CESM2 large ensemble
To assess the possible impact of the strong 2023–2024 El Niño event on the timing of short- and long-term exceedance of the 1.5 °C threshold, GSAT and Niño 3.4 region sea surface temperature (SST) anomalies are calculated for a large ensemble of CESM2 simulations22,23,24. The ensemble consists of 100 members run under historical (1850–2014) and SSP 5-8.5 (2015–2100) scenarios. The relative ONI20, the difference between mean Niño 3.4 and mean Tropical Pacific SST conditions, is used as a measure of El Niño strength designed to be insensitive to global warming. To account for biases between CESM2 and historical observations, ONI values from CESM2 are standardized using its own climatological mean and standard deviation statistics (1850–1900) and then anomalies are further recalculated using centred running 30-year climatological periods to remove any remnant trends due to anthropogenic warming.
Data availability
GSAT anomalies from ERA5 that support the findings of this study are available as supplementary data to the C3S 2024 June Climate Bulletins (https://climate.copernicus.eu/copernicus-june-2024-marks-12th-month-global-temperature-reaching-15degc-above-pre-industrial)1. GSAT output from CMIP6 models that support the findings of this study are available from the Earth System Grid Federation (https://esgf-node.llnl.gov/projects/cmip6/)9. The GSAT and SST output from the CESM2 large ensemble that support the findings of this study are available via NCAR Climate Data Gateway at https://doi.org/10.26024/kgmp-c556 (ref. 23). Monthly anomalies for each variable are available via Zenodo at https://doi.org/10.5281/zenodo.14640213 (ref. 12).
Code availability
R code implementing the time of exceedance and weighted quantile estimation that support the findings of this study is available via Zenodo at https://doi.org/10.5281/zenodo.14640213 (ref. 12).
References
Copernicus: June 2024 Marks 12th Month of Global Temperature Reaching 1.5°C Above Pre-industrial (Copernicus Climate Change Service, 2024); https://climate.copernicus.eu/copernicus-june-2024-marks-12th-month-global-temperature-reaching-15degc-above-pre-industrial
Rohde, R. June 2024 Temperature Update (Berkeley Earth, 2024); https://berkeleyearth.org/june-2024-temperature-update/
Hersbach, H. et al. The ERA5 global reanalysis. Q. J. R. Meteorol. Soc. 146, 1999–2049 (2020).
Rohde, R. A. & Hausfather, Z. The Berkeley Earth land/ocean temperature record. Earth Syst. Sci. Data 12, 3469–3479 (2020).
Copernicus: Globally Second-Hottest Month on Record, Only Slightly Behind July 2023 (Copernicus Climate Change Service, 2024); https://climate.copernicus.eu/copernicus-globally-second-hottest-month-record-only-slightly-behind-july-2023
Rohde, R. July 2024 Temperature Update (Berkeley Earth, 2024); https://berkeleyearth.org/july-2024-temperature-update/
Betts, R. A. et al. Approaching 1.5 °C: how will we know we’ve reached this crucial warming mark? Nature 624, 33–35 (2023).
Hausfather, Z. Analysis: What Record Global Heat Means for Breaching the 1.5°C Warming Limit (Carbon Brief, 2024); www.carbonbrief.org/analysis-what-record-global-heat-means-for-breaching-the-1-5c-warming-limit/
Model Output Prepared for CMIP6 CMIP Historical and ScenarioMIP Experiments (ESGF, accessed 22 July 2024); https://esgf-node.llnl.gov/projects/cmip6/
O’Neill, B. C. et al. The Scenario Model Intercomparison Project (ScenarioMIP) for CMIP6. Geosci. Model Dev. 9, 3461–3482 (2016).
Sherwood, S. C. et al. An assessment of Earth’s climate sensitivity using multiple lines of evidence. Rev. Geophys. https://doi.org/10.1029/2019rg000678 (2020).
Cannon, A. J. Data and R code for time of exceedance and weighted quantile estimation to support “Twelve months at 1.5 °C signals earlier than expected breach of Paris Agreement threshold”. Zenodo https://doi.org/10.5281/zenodo.14640213 (2025).
Cannon, A. J. The impact of ‘hot models’ on a CMIP6 ensemble used by climate service providers in Canada: do global constraints lead to appreciable differences in regional projections? J. Clim. 37, 2141–2154 (2024).
Akinshin, A. Weighted quantile estimators. Preprint at https://arxiv.org/abs/2304.07265 (2023).
Hausfather, Z., Marvel, K., Schmidt, G. A., Nielsen-Gammon, J. W. & Zelinka, M. Climate simulations: recognize the ‘hot model’ problem. Nature 605, 26–29 (2022).
Jenkins, S., Smith, C., Allen, M. & Grainger, R. Tonga eruption increases chance of temporary surface temperature anomaly above 1.5 °C. Nat. Clim. Change 13, 127–129 (2023).
Gettelman, A. et al. Has reducing ship emissions brought forward global warming? Geophys. Res. Lett. https://doi.org/10.1029/2024gl109077 (2024).
Esper, J., Torbenson, M. & Büntgen, U. 2023 summer warmth unparalleled over the past 2,000 years. Nature 631, 94–97 (2024).
Min, S.-K. Human influence can explain the widespread exceptional warmth in 2023. Commun. Earth Environ. https://doi.org/10.1038/s43247-024-01391-x (2024).
van Oldenborgh, G. J. et al. Defining El Niño indices in a warming climate. Environ. Res. Lett. 16, 044003 (2021).
Mahmood, R. et al. Constraining low-frequency variability in climate projections to predict climate on decadal to multi-decadal timescales—a poor man’s initialized prediction system. Earth Syst. Dyn. 13, 1437–1450 (2022).
Holland, M. M. et al. New model ensemble reveals how forcing uncertainty and model structure alter climate simulated across CMIP generations of the Community Earth System Model. Geosci. Model Dev. 17, 1585–1602 (2024).
Danabasoglu, G., Deser, C., Rodgers, K. & Timmermann, A. CESM2 Large Ensemble [Dataset] (NCAR, 2021); www.earthsystemgrid.org/dataset/ucar.cgd.cesm2le.output.html
Capotondi, A., Deser, C., Phillips, A. S., Okumura, Y. & Larson, S. M. ENSO and Pacific decadal variability in the Community Earth System Model Version 2. J. Adv. Model. Earth Syst. https://doi.org/10.1029/2019ms002022 (2020).
Acknowledgements
We acknowledge the World Climate Research Programme, which, through its Working Group on Coupled Modelling, coordinated and promoted CMIP6. We thank the climate modelling groups for producing and making available their model output, the Earth System Grid Federation (ESGF) for archiving the data and providing access and the multiple funding agencies who support CMIP6 and ESGF.
Author information
Authors and Affiliations
Contributions
A.C. conceived and conducted the analysis, analysed results and wrote the paper.
Corresponding author
Ethics declarations
Competing interests
The author declares no competing interests.
Peer review
Peer review information
Nature Climate Change thanks Andrew King and the other, anonymous, reviewer(s) for their contribution to the peer review of this work.
Additional information
Publisher’s note Springer Nature remains neutral with regard to jurisdictional claims in published maps and institutional affiliations.
Extended data
Extended Data Fig. 1 Assessment and calibration of climate model weights and effective climate sensitivity.
(a) CMIP6 climate model weights11. (b) Assessed probability density function of effective climate sensitivity10 (ECS) (black line) and histogram of ECS values (gray bars) for CMIP6 climate models. Individual model values are marked by star symbols along the horizontal axis. (c) As in panel (b), except that the histogram is now based on climate models weighted to best reproduce the assessed distribution of ECS; the weight assigned to each model, given in panel (a), is proportional to the shade of gray of the star symbols. (d) Raw CMIP6 26 member ensemble medians (thick line) and 5th to 95th percentile ranges (thin lines) of 20-year smoothed global surface air temperature (GSAT) anomalies for historical (black), SSP1-2.6 (blue), SSP2-4.5 (orange), and SSP5-8.5 (red) simulations. Anomalies are relative to 1850-1900 and assume 0.85 °C warming from pre-industrial to 1995-2014. Error bars show the median and 5th to 95th percentile range at the end of the 21st century. (e) As in panel (d) but showing time series of GSAT anomalies for the calibrated CMIP6 ensemble.
Extended Data Fig. 2 Reliability of calibrated climate model predictions.
Histograms of probability integral transform (PIT) values for calibrated CMIP6 predictions of the difference in time between short- and long-term exceedance of known global temperature anomaly thresholds in ERA5 (35 samples). A reliable, well-calibrated ensemble should exhibit a uniform PIT distribution. A U shape indicates that predictions are underdispersive, while a dome shape indicates that predictions are overdispersive. Excess probability density for low PIT values means that predictions are biased; in this case, they are higher than observed too frequently.
Rights and permissions
Open Access This article is licensed under a Creative Commons Attribution 4.0 International License, which permits use, sharing, adaptation, distribution and reproduction in any medium or format, as long as you give appropriate credit to the original author(s) and the source, provide a link to the Creative Commons licence, and indicate if changes were made. The images or other third party material in this article are included in the article’s Creative Commons licence, unless indicated otherwise in a credit line to the material. If material is not included in the article’s Creative Commons licence and your intended use is not permitted by statutory regulation or exceeds the permitted use, you will need to obtain permission directly from the copyright holder. To view a copy of this licence, visit http://creativecommons.org/licenses/by/4.0/.
About this article
Cite this article
Cannon, A.J. Twelve months at 1.5 °C signals earlier than expected breach of Paris Agreement threshold. Nat. Clim. Chang. 15, 266–269 (2025). https://doi.org/10.1038/s41558-025-02247-8
Received:
Accepted:
Published:
Issue date:
DOI: https://doi.org/10.1038/s41558-025-02247-8