Abstract
This research explores the novel enhancement of water-based drilling fluids using MgO-HPAM nanocomposites, focusing on improving their rheological and filtration properties. The study introduces an innovative approach to address the critical challenges in drilling technologies, emphasizing the need for stable and efficient drilling fluids in the oil and gas industry. Unlike traditional formulations, MgO-HPAM nanocomposites leverage the synergistic interaction between MgO nanoparticles and hydrolyzed polyacrylamide (HPAM) to overcome limitations such as instability and poor fluid performance in high-pressure and high-temperature environments. By integrating MgO nanoparticles with HPAM, the study provides a sustainable and cost-effective solution to optimize drilling efficiency while reducing environmental impact. The findings reveal that MgO nanoparticles, when used in conjunction with HPAM, significantly improve the drilling fluid’s performance. At an optimal concentration of 500 ppm, the yield point increased by 43%, and viscosity rose by 35%, demonstrating superior rheological performance. Notably, these enhancements were achieved without altering the fluid density, a critical factor in wellbore stability. Additionally, the filtration rate was reduced by 40%, highlighting the nanocomposite’s ability to decrease permeability and improve fluid stability under harsh drilling conditions. Furthermore, long-term tests confirmed the stability of MgO-HPAM nanocomposites, proving their durability and compatibility with existing additives. The study concludes that MgO-HPAM nanocomposites offer a groundbreaking and scalable approach to advancing drilling fluid technology. However, concentrations above 500 ppm showed diminishing returns, with viscosity stabilization and a slight increase in filtration volume. Through this optimization-based investigation, the research presents a significant step forward in formulating drilling fluids that maximize operational efficiency, safety, and environmental sustainability.
Similar content being viewed by others
Introduction
Drilling fluid is one of the critical components in drilling operations and directly impacts the efficiency and safety of this process1,2,3. Drilling fluids are responsible for drill bit cooling, cutting transportation, and imposing hydrostatic pressure to prevent loss and gain during the drilling of various formations. Proper efficiency of drilling fluid can help increase the drilling rate, reduce costs, and improve operation safety. As a result, the selection and optimization of drilling fluid formulation is essential4,5,6.
The need to optimize the drilling fluid to increase the drilling rate and reduce the problems caused by it, including sedimentation, filtration, and instability, is very noticeable7,8,9. Improving the rheological and mechanical properties of the drilling fluids can lead to a reduction in drilling time and an increase in productivity. Also, optimal formulation can help prevent problems such as wall collapse and equipment damage, ultimately leading to lower operating costs1,10.
Nanoparticles in drilling fluids have been considered an innovative solution to improve their properties. SiO2nanoparticles are a structural reinforcement and can help improve fluid performance by increasing viscosity and stability11,12. These nanoparticles are especially effective in improving fluid resistance to temperature and pressure changes and can prevent larger particles from settling. Likewise, Fe2O3nanoparticles, due to their magnetic properties, can effectively improve the drilling fluid’s distribution and dispersion and help reduce groundwater’s settling time13,14,15,16.
Cr2O3 nanoparticles are also considered an anti-corrosion agent and improve the mechanical properties of the fluid. These nanoparticles can not only help to improve fluid stability but also play a role in reducing the maintenance and repair costs of drilling equipment. Alumina nanoparticles (Al2O3) are a strengthening agent and can help improve drilling fluid formulation by increasing viscosity and reducing filtration. These nanoparticles can help to stabilize the fluid-structure due to their ability to create strong bonds with existing polymers17,18,19.
In addition, nanoparticles can effectively affect drilling fluids’ rheological behavior and filtration due to their small size and high surface-to-volume ratio. These nanoparticles can prevent their permeability by increasing the viscosity and strengthening the physical structure of the fluid, thus helping to improve the stability and efficiency of drilling fluids. Also, by creating three-dimensional networks in the fluid, nanoparticles can help reduce the filtration rate and improve resistance to high pressures20,21,22.
MgO nanoparticles have attracted considerable attention in drilling fluid formulations due to their unique physicochemical properties, such as high thermal stability, superior mechanical strength, and excellent adsorption capabilities. These nanoparticles have been reported to improve drilling fluids’ rheological and filtration properties, particularly under high-temperature and high-pressure conditions. MgO nanoparticles effectively reduce fluid loss and strengthen the filter cake structure, critical for wellbore stability during drilling operations23,24,25.
Nanoparticles such as Al2O3, Fe3O4, and MnZn-ferrite have demonstrated unique physicochemical properties and are widely explored in various industrial applications, including heat transfer, cooling systems, and fluid formulations. Al2O3nanoparticles exhibit exceptional thermal conductivity, with enhanced stability at high temperatures, making them suitable for cooling applications that benefit from their efficient heat transfer properties26,27,28. Fe3O4 nanoparticles are known for their superparamagnetic behavior and ability to form ferrofluids with self-regulating cooling capabilities, utilizing magnetic fields to enhance heat transfer and maintain fluid flow without external power sources29,30. Similarly, MnZn-ferrite nanoparticles exhibit remarkable thermo-magnetic properties, high magnetization values, and tunable Curie temperatures, enabling their use in self-powered cooling devices31,32,33. Unlike these nanoparticles, MgO nanoparticles possess unique combinations of high thermal stability, superior mechanical strength, and excellent adsorption capabilities, which are particularly advantageous in drilling fluid systems. While the aforementioned nanoparticles have been extensively studied for heat transfer and magnetic applications, their suitability for drilling fluid optimization remains limited. Furthermore, the introduction of MgO nanoparticles in drilling fluids represents a promising area of research, as their properties allow improved rheological and filtration performance under challenging downhole conditions. This work builds upon the distinct attributes of MgO nanoparticles and further advances their application in drilling fluids to meet industry-specific requirements.
Despite these promising properties, existing studies remain focused on MgO nanoparticles in their basic form, with limited exploration into their further modification or composite formulations. In particular, integrating MgO nanoparticles into polymer-based nanocomposites remains unexplored, offering potential for broader functional enhancements. This study addresses this gap by investigating the novel application of MgO-HPAM nanocomposites in drilling fluids.
This research introduces a novel formulation for enhancing drilling fluids by leveraging MgO nanoparticles combined with HPAM to create stable MgO-HPAM nanocomposites. The methodology distinctly contrasts with other nanoparticle-based approaches by providing a more effective solution to prevent nanoparticle aggregation and collapse. Initially, MgO nanoparticles were dispersed using ultrasonic waves to improve distribution and stability, and HPAM was quickly added to form a uniform nanocomposite matrix. Dispersion uniformity was confirmed using the dynamic light scattering (DLS) technique, demonstrating the success of the stabilization process. Furthermore, the impact of MgO-HPAM nanocomposites on key drilling fluid properties, notably rheology and filtration, was evaluated. Unlike other nanoparticles used in drilling fluids, MgO demonstrates superior performance in maintaining fluid stability while enhancing viscosity, yield point, and filtration reduction under harsh operating conditions. This innovative approach significantly advances drilling fluid performance, offering improved efficiency, environmental sustainability, and adaptability across diverse drilling environments.
Materials and methods
Materials
HPAM
HPAM from Merck brand with purity above 98% and molecular mass between 4 and 6 million daltons is one of the most critical materials used in this research. Due to its viscosity properties, this polymer is widely used in drilling fluids and can help improve drilling efficiency. HPAM acts as a concentrating agent and reduces fluid flow in wells.
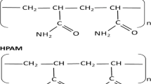
Figure 1illustrates the chemical structure and molecular composition of PAM and HPAM. The polymer consists of long flexible chains with carboxylic functional groups on backbones. Carboxylic groups are negatively charged, so molecules repel each other and keep the polymer chains stretched, resulting in high solution viscosity34,35,36.
KCl (potassium chloride)
KCl or potassium chloride is another substance used in this research. This salt is an electrolyte in drilling fluids and helps control the fluid’s pressure and physical properties. KCl stabilizes the drilling fluid against temperature and pressure changes and prevents sediment formation.
In addition, using KCl in drilling fluids helps reduce the adverse effects on geological formations and can maintain the quality of underground water. These characteristics have made KCl one of the main ingredients in the formulation of drilling fluids37,38,39,40.
NaCl (sodium chloride)
NaCl or sodium chloride is used as an additive in drilling fluids to adjust the chemical and physical properties of the fluid. Due to its high solubility in water, this salt helps maintain pressure balance and prevent precipitation. Also, NaCl can act as a viscosity-regulating agent.
This substance, in combination with other additives, especially HPAM and MgO nanocomposite, can help improve the drilling fluid’s performance and increase its stability in different conditions.
Lime (calcium hydroxide)
Lime or calcium hydroxide is used as an alkaline substance in drilling fluids. This material helps to adjust the pH of the fluid and can help to improve its rheological properties. Lime also acts as an anti-sediment agent and can prevent the formation of sediments in wells.
Using Lime helps increase the stability and efficiency of the drilling fluid, thus improving the drilling performance41.
Barite
Barite is a heavy substance in drilling fluids to increase density. This material helps prevent fracturing and fluid leakage in wells and supports pressure control during drilling. Due to its specific physical and chemical properties, barite is critical in formulating drilling fluids.
Experimental procedure
DLS measurement
Dynamic Light Scattering (DLS) testing was conducted to measure the size and size distribution of HPAM-MgO nanocomposite particles. This technique employs light scattering and diffraction, which occurs when a laser beam interacts with suspended particles in a fluid medium. Specifically, it analyzes the patterns of scattered light reflected from the nanoparticles, enabling an indirect calculation of particle size based on their movement due to Brownian motion.
To ensure accurate and reproducible results, the HPAM-MgO nanocomposite sample was diluted using deionized water as the solvent to avoid interference caused by aggregation or excess particle concentration. The dilution helps achieve an optimal concentration range, typically between 0.1 and 0.5 mg/mL, necessary to enhance measurement sensitivity. The diluted sample was transferred to a pre-cleaned cuvette designed specifically for DLS systems, minimizing contamination that could affect particle-light interactions.
The DLS instrument used in this study features a high-precision laser operating at a wavelength of 633 nm, which is known for its effectiveness in analyzing nanocomposite materials. When the laser irradiates the sample, the scattered light is detected at appropriate angles (typically 90° or 173°) by photodiodes integrated within the system. The detector continuously records fluctuations in light intensity caused by particle movement over time, and this raw data is processed using specialized software to calculate the hydrodynamic diameter of the nanoparticles based on Stokes-Einstein equations.
Multiple measurements were performed for each sample, with a temperature control system maintaining the testing environment at 25 °C to ensure stable particle behavior and minimize external effects such as evaporation or temperature-induced viscosity changes. The signals from the detector were then averaged over several runs to enhance reliability, producing detailed information about the particle size, size distribution (polydispersity index), and overall stability of the nanocomposite particles in the suspension.
Nanocomposite preparation
In this step, a MgO-HPAM nanocomposite combines the properties of magnesium oxide nanoparticles (MgO) with that of an HPAM polymer. This process involves precisely mixing specific amounts of HPAM and MgO in water as a solvent. First, MgO in water is subjected to homogenization using an ultrasonic device for a certain period. This device helps uniformly separate and distribute nanoparticles in the solution by creating high-frequency sound waves. This technique reduces the size of the particles and improves their distribution in the solution, which ultimately has a positive effect on the final properties of the nanocomposite42,43.
After the preparation of MgO, a certain amount of HPAM was added to the solution, the nanoparticles and the polymer were stirred for 90 min at 60 °C to ensure that the nanoparticles were well distributed in the polymer matrix and to establish strong bonds between the MgO particles and the HPAM polymer chains. A temperature of 60 °C is considered an optimal condition to facilitate the polymerization process and increase the quality of the nanocomposite.
Finally, the obtained MgO-HPAM nanocomposite is used as a base fluid to make drilling fluids, and the size of drilling fluid additives is added to this nanocomposite. The continuous phase of the water-based drilling fluid often contains distilled water and salts, and here, the continuous phase contains water, polymer, and particulates.
While ultrasonic dispersion was employed in this study to homogenize the MgO particles in the polymer matrix, it is worth noting that other stabilization techniques have been explored in nanotechnology and drilling fluid research. Surfactant-assisted stabilization involves surface-active agents to reduce interparticle attraction and improve dispersion stability, which is particularly valuable for nanoparticles prone to agglomeration. Mechanical mixing, such as high-shear mixing, provides an effective means of physically distributing nanoparticles by applying mechanical energy to break up clusters and achieve uniform distribution44. These approaches have demonstrated benefits in enhancing dispersion stability and tailoring nanoparticle-based suspensions for specific applications. Future studies could compare the performance of ultrasonic dispersion with these alternative techniques to understand their influence on nanoparticle stability, polymer interaction, and the rheological properties of drilling fluids. Such comparisons would provide a broader perspective on nanoparticle stabilization strategies and their impacts on drilling fluid formulations.
Sedimentation experiment
After making the MgO-HPAM nanocomposite, it is stored in 50 ml tubes for 60 days. This experiment is performed to evaluate the stability of nanocomposite in the aqueous environment and to investigate the sedimentation process of the particles. During these 60 days, the nanocomposite is placed under controlled conditions at a temperature of 60 °C and is regularly checked for changes in appearance and particle sedimentation in these tubes.
The stability of the nanocomposite is evaluated visually and over time. Any particle distribution, sedimentation, or phase separation change is carefully recorded at this stage. This information helps us better understand the effect of MgO nanoparticles on the system’s overall stability. This test determines the optimal time for the nanocomposite to remain stable in the operational drilling conditions.
Finally, on the 60 th day, a DLS test is again performed on the nanocomposite to evaluate the particle size and distribution after 60 days of storage. These data give us detailed information about the effect of time on the stability and properties of the nanocomposite and help to compare the results with the original data. This research phase will help better understand nanocomposite behavior in actual drilling conditions.
Synthesis of drilling fluid
In this step, the drilling fluid is prepared by gradually mixing MgO-HPAM nanocomposite and other additives. This process is carried out step by step to ensure that each additive is well dissolved in the mixture and to prevent particles from sticking together. Additives are added to the nanocomposite in a specific order, and each one is mixed for 20 min using a rod mixer at 6000 rpm.
Stirring is done at high speed to create a uniform drilling fluid composition. These intense movements help distribute additive particles uniformly in the nanocomposite matrix and prevent their accumulation or adhesion. This helps to improve the rheological properties and efficiency of the drilling fluid and ensures that the desired properties of the nanocomposite are maintained in the drilling fluid.
After mixing each additive, the composition checks and evaluates its physical and chemical properties. This step is crucial because the quality and performance of the drilling fluid are affected by the uniform distribution and composition of the additives. Finally, the obtained drilling fluid will be prepared for further tests and performance evaluation in actual drilling conditions.
Measurement of rheological properties
This step measures the rheological properties of the prepared drilling fluid using MgO-HPAM nanocomposite. For this purpose, the Brookfield rheology apparatus is used, which is one of the most widely used instruments for measuring the viscosity and rheological behavior of fluids. This device is suitable for evaluating fluids with thick and non-newt characteristics.
The Brookfield apparatus consists of a mixer with a rotating probe inserted into the sample. By rotating the probe, a force is applied to the fluid, and this force is measured using a sensor. During the test, shear rate and shear stress are recorded simultaneously. The data obtained from this experiment allows us to analyze the behavior of the fluid against different stresses.
By analyzing the recorded data, shear rate versus shear stress curves can be drawn. These curves show the rheological behavior of the fluid in different conditions. Different rheological models are used to analyze these data. This research uses the Bingham plastic model, which is especially suitable for describing the behavior of fluids with a specific yield point.
The Bingham plastic model is defined as follows:
Ʈ is the shear stress value in N/m2, µ refers to the viscosity of the fluid in Pa.S, and ỳ is the shear rate of the fluid in the experiment in 1/S. Here, YP denotes the yield point in N/m2. In scientific documents related to drilling engineering, this parameter is reported in lbf/100 ft2, which needs to be converted.
The viscosity value and yield point can be calculated using the obtained data. This information helps us to accurately evaluate the performance of the drilling fluid in actual conditions. This test’s results can help improve the formulation of drilling fluid and increase its efficiency in drilling operations.
In addition, investigating the rheological behavior of the drilling fluid allows us to optimize the nanocomposite compositions and better understand the effects of different materials on the properties of the drilling fluid. This information can benefit drilling projects in particular conditions, such as in high-pressure environments or high temperatures.
Measurement of drilling fluid filtration
This step evaluates the filtration volume of the prepared drilling fluid containing the MgO-HPAM nanocomposite, a critical indicator of the fluid’s ability to prevent fluid loss during drilling operations. Proper filtration control is essential for maintaining wellbore stability and avoiding issues such as pipe sticking due to excessive filter cake thickness. Filtration volume refers to the fluid lost through geological formations under applied pressure, directly impacting drilling performance and overall well stability.
The filtration test was conducted using a standard API filter press, a widely used apparatus in drilling fluid evaluations. This cylindrical chamber is designed to hold the fluid sample under controlled pressure conditions. To prepare for testing, a precise volume of drilling fluid (350 mL) was poured into the filter chamber, ensuring proper placement of the filter paper to separate the solid particles from the liquid fraction. The system was then pressurized using compressed nitrogen gas at 100 psi, simulating downhole conditions typically encountered in drilling operations. The applied pressure forces the liquid portion of the drilling fluid through the filter paper while retaining solid particles, effectively mimicking fluid loss during drilling.
The experiment lasted 30 min, during which the filtrate volume was continuously monitored to determine the total fluid loss. At the end of the test, the filtrate was collected and measured using a graduated cylinder with an accuracy of ± 1 mL. The thickness and consistency of the formed filter cake on the filter paper were visually inspected and documented, as excessive filter cake buildup can negatively impact the drilling process. Results from the filter press test provided quantitative data on the filtration performance, allowing the identification of formulations with better leakage control and reduced fluid loss.
The reduction in filtration volume is a clear indicator of improved performance, with optimized drilling fluids reducing fluid loss and sustaining the pressure required to stabilize the wellbore. The MgO-HPAM nanocomposite played a critical role in achieving desirable filtration properties by minimizing permeability and enhancing the structural integrity of the fluid. Filtration properties were tested across various nanocomposite concentrations to assess their effectiveness under high-pressure and high-temperature environments.
This test provides valuable information to optimize drilling fluid formulations and select materials for improved performance, particularly in challenging formations with high permeability or under high-pressure drilling conditions. The data gained from this evaluation are instrumental in tailoring drilling fluids to specific operational requirements, reducing operational risks, and enhancing overall efficiency.
Results and discussion
Investigation of MgO dispersion in water
At this stage, the dispersion of MgO nanoparticles in water was investigated to evaluate the stability and behavior of nanoparticles in a liquid environment. For this purpose, fluids were prepared with a combination of distilled water and MgO nanoparticles in 50, 100, 250, 500, and 1000 ppm concentrations. First, these fluids were stirred for 24 h using a magnetic stirrer at 400 rpm. This step was done to create more uniformity in the distribution of nanoparticles in the solution and prevent their accumulation.
After the initial stirring, the prepared fluids were poured into 50 ml tubes to investigate the stability of the nanoparticle dispersion. Figure 2 illustrates the settlement of MgO nanoparticles in distilled water. The obtained results and images showed that in all concentrations, nanofluids were unstable and settled quickly. This phenomenon indicated the non-uniform distribution of nanoparticles in water and their tendency to accumulate and settle. This behavior can be due to the gravitational attraction force and the Van der Waals force that attracts nanoparticles to each other.
In the next step, the same composition and concentrations were sonicated for 30 min using an ultrasonic device. This method helps to separate and better disperse nanoparticles in the solution due to the creation of high-frequency sound waves. This process can create microscopic bubbles and improve the uniform distribution of nanoparticles in the solution. In this case, the deposition of nanoparticles was not instantaneous, and it took some time to create a clear separation surface. Sedimentation values were measured over time, and a graph was drawn. Figure 3 depicts sedimentation rates for stirred and sonicated nanoparticles in distilled water. The results showed that the sedimentation speed has a direct relationship with the concentration of nanoparticles; so, the higher the concentration of nanoparticles, the faster the sedimentation will be. This issue clearly shows the effect of concentration on the rheological behavior of nanoparticles in liquid fluids.
Where h represents the sedimented section height, and H is the total height of the fluid. In general, in nanoparticle fluids, the stability of nanoparticles is influenced by various factors, including the size of the particles, their shape, and their surface properties. Smaller nanoparticles usually have a greater tendency to settle, and this phenomenon can be caused by increasing the contact surface and particle adhesion. sharp.
Finally, the results of these experiments showed that MgO nanoparticles alone are unstable in water and need to be combined with polymer to create nanocomposite. Using polymers in combination with nanoparticles can help improve the stability and performance of nanoparticles in drilling fluid systems. These results emphasize the importance of using stable nanocomposites to improve the rheological properties and reduce the settling rate in drilling fluids. Finally, nanocomposites can improve drilling fluids’ performance in actual conditions, reduce operating costs, and increase drilling safety.
Nanocomposite preparation and stability determination
In this step, the MgO-HPAM nanocomposite was prepared using different concentrations of MgO nanoparticles (50, 100, 250, 500, and 1000 ppm), and its stability was investigated. First, nanoparticles were added to 50 ml of distilled water and stirred for 30 min using an ultrasonic device. Creating high-frequency sound waves helps separate and uniformly disperse nanoparticles in the solution and prevents their accumulation. This technique is particularly effective for nanoparticles that tend to aggregate due to their small size and van der Waals force.
After stirring, two grams of HPAM were added to the mixture to make a 4% HPAM solution. HPAM is a hydrogel polymer used as a thickening and stabilizing agent in drilling fluids. Due to its ability to form hydrogen bonds and create three-dimensional networks, this polymer can stabilize MgO nanoparticles well in solution. After this step, the solution was stirred for 90 min using a magnetic stirrer to obtain a uniform mixture of nanoparticles and polymer.
After stirring, a DLS test was performed on the solution. The DLS results illustrated in Fig. 4 showed that the nanoparticles were uniformly dispersed throughout the nanosized fluid, which indicated the success of creating a stable nanocomposite. The particles’ size and distribution are significant at this stage because these characteristics affect the rheological behavior and performance of the nanocomposite in operational conditions. Then, the prepared nanocomposite was poured into 50 ml tubes and observed for 60 days.
During these 60 days, it was observed that the nanoparticles do not settle and remain homogeneously in the solution. The long-term stability of this nanocomposite depends on the properties of HPAM and how the nanoparticles are distributed in the solution. These characteristics can lead to the improvement of the efficiency of drilling fluids in complex conditions. On the 60 th day, the DLS test was performed again, and the results confirmed the stability and uniformity of the nanoparticle dispersion.
Synthesizing drilling fluid and measuring specification
At this stage, six types of drilling fluid were prepared, each designed to evaluate performance and different properties. The first fluid, called base fluid, is HPAM without nanoparticles added to distilled water. Specifically, 13.5 g of HPAM was added to 350 ml of distilled water to prepare a uniform, concentrated solution.
For the following samples, MgO nanoparticles with different concentrations were added to this base fluid. These concentrations included 50, 100, 250, 500 and 1000 ppm. In these samples, the main difference with Base fluid was the concentration of nanoparticles added to the solution. This addition of nanoparticles was done to investigate their effect on the rheological properties and capabilities of the drilling fluid.
Each of these fluids was carefully stirred to ensure the nanoparticles were uniformly distributed in the HPAM matrix. These compounds can affect the rheological behavior and stability of the fluid, especially in drilling operating conditions. This process aims to improve the properties of the drilling fluid and increase its efficiency in different operating conditions.
Finally, by preparing and examining these six types of fluids, it is possible to compare the properties of each of them and the effect of nanoparticles on the performance of the drilling fluid.
Effect of nanoparticles on drilling fluid rheology
In this research phase, shear stress values were measured at different shear rates for six types of drilling fluids. The first sample was Base fluid, which included HPAM without nanoparticles. The results showed that the viscosity of the base fluid was equal to 21 centipoises, and its yield point was 7.5 N/m². These values accurately provide us with information about the initial behavior of the drilling fluid and can be used as a basis for comparison with other samples.
Results from rheology measurement of various concentrations of MgO in base fluids are illustrated in Fig. 5. Increasing the concentration of MgO nanoparticles in drilling fluids increased viscosity and yield point parameters. For the concentration of 500 ppm, the maximum increase value was observed. The viscosity increased by 35% and the yield point by 43%. These changes indicate the positive effect of nanoparticles on the rheological properties of drilling fluids. MgO nanoparticles can act as structural reinforcements and increase viscosity and yield points by creating bonds between polymer particles and nanoparticles.
However, the exciting thing is that by increasing the concentration of nanoparticles to 1000 ppm, no special effect was observed on these two parameters. This phenomenon can be due to the system’s saturation or creating conditions where nanoparticles can no longer affect the rheological properties. Also, the distribution and dispersion of nanoparticles may be disturbed at higher concentrations, which can lead to a decrease in their effectiveness.
One of the critical points in this review is that in drilling fluids, usually increasing viscosity and yield point due to additives can lead to an increase in the weight of the fluid, and, as a result, the conditions of the well design will be violated. However, the performance of MgO nanoparticles is such that they do not change the weight of the fluid. This point is significant when drilling in special conditions, such as in environments with high pressure and temperatures. In this situation, maintaining the stability and efficiency of the drilling fluid can reduce costs and increase safety.
Due to their small size and high surface-to-volume ratio, nanoparticles can effectively affect the rheological properties of fluids. Nanoparticles can help increase viscosity and yield points by increasing the number of contact points between particles and creating structural networks. Also, nanoparticles tend to aggregate, especially at high concentrations. Polymers such as HPAM can help stabilize nanoparticles and prevent them from settling. Increasing the concentration of nanoparticles usually directly affects the rheological behavior of fluids, but this effect may be reduced at very high concentrations. This phenomenon may be due to interactions between nanoparticles and changes in their distribution.
These findings not only help to optimize the formulation of drilling fluids but also can be influential in developing new technologies to improve the performance of fluids in certain conditions.
Effect of nanoparticles on drilling fluid filtration
In the last part of this work, the effect of nanoparticles on drilling fluid filtration was tested. Filtration data obtained from this experiment is presented in Fig. 6. The results showed that nanoparticles make the filter cake (filter case) stiffer and reduce fluid filtration. The filtration of the base fluid was equal to 7 ml, which decreased to 3 ml with the increase in the concentration of nanoparticles. This reduction shows the positive effect of nanoparticles on reducing permeability and improving drilling fluid performance. However, increasing the concentration of nanoparticles to more than 500 ppm did not affect this process, which could mean reaching the saturation point or reducing the effectiveness of nanoparticles at high concentrations.
In addition, the thickness of the filter cake was measured for all fluids, and it was observed that the thickness of the filter cake had an inverse relationship with the concentration of nanoparticles. In other words, as the concentration of nanoparticles increases, the thickness of the filter cake decreases. This feature can help improve the stability and efficiency of the drilling fluid and prevent particles from settling. A summary of the final filtration data and filter cake thickness is presented in Table 1.
Several different mechanisms for these nanoparticles can describe the reduction in filtration. Firstly, the increase in the overall viscosity of the drilling fluid can reduce the fluid flow and prevent its penetration into rocks and soils. Secondly, the increase in the viscosity of the continuous phase of the drilling fluid, especially in the presence of nanoparticles, can help to reduce the fluid flow rate and thus reduce filtration. Thirdly, by strengthening the filter cake, nanoparticles can prevent further fluid penetration into the ground, reducing the filtration rate.
These results show the high potential of nanoparticles in improving the filtration properties of drilling fluids and can help increase the efficiency and safety of drilling operations, especially in complex operating conditions.
Nanomaterials such as SiO₂, Fe₂O₃, and TiO₂ have been extensively studied for their contributions to drilling fluid performance. SiO₂ nanoparticles have demonstrated excellent thermal stability and are often used to enhance water-based drilling fluids’ viscosity and gel strength under high-temperature and high-pressure (HTHP) conditions. Fe₂O₃ nanoparticles, on the other hand, contribute to improved magnetic properties and can reduce filtration volume by forming compact and low-permeability filter cakes. TiO₂ nanoparticles have been shown to enhance thermal and electrical conductivity, reduce filtration losses by up to 27%, and improve shale recovery due to their superior particle distribution and stability at elevated temperatures. Compared to these materials, MgO nanoparticles offer unique advantages, including their high thermal resistance, superior adsorption capabilities, and ability to strengthen the structural integrity of drilling fluids45. Additionally, MgO significantly reduces filtration volume by enhancing the polymer-nanoparticle interactions, resulting in better fluid loss control and improved wellbore stability. This distinctive combination of properties makes MgO nanoparticles particularly suitable for demanding drilling environments where temperature and stability are critical factors.
Conclusion
This study demonstrated the effectiveness of MgO-HPAM nanocomposites in significantly improving water-based drilling fluids’ rheological and filtration properties. By integrating MgO nanoparticles with HPAM, the nanocomposites achieved noteworthy enhancements, including a 43% increase in yield point, a 35% rise in viscosity, and a 40% reduction in filtration rate at optimal concentrations. Unlike conventional fluids, these nanocomposites maintained fluid density, ensuring wellbore stability, an essential feature for drilling in high-pressure, high-temperature environments. Additionally, stability tests confirmed the long-term homogeneity of the nanocomposite, highlighting the critical role of HPAM in preventing nanoparticle settling. Filtration experiments revealed that nanoparticles strengthened the filter cake, reducing permeability, optimizing fluid performance, and minimizing wellbore complications. The study also explored nanoparticle concentration limits, finding that while performance peaked at 500 ppm, higher concentrations led to diminishing results due to saturation effects. MgO-HPAM nanocomposites offer a scalable, innovative solution to tackle operational challenges in harsh drilling conditions. The findings underscore their potential to boost cost efficiency, safety, and environmental sustainability in drilling operations, paving the way for advancements in cutting-edge drilling fluid technologies.
Data availability
Data will be available at the academic request from the corresponding author.
References
Fang, T. et al. Multi-scale mechanics of submerged particle impact drilling. Int. J. Mech. Sci. 285, 109838 (2025).
Xiao, D. et al. Coupling model of wellbore heat transfer and cuttings bed height during horizontal well drilling. Phys. Fluids. 36 (9), 097163 (2024).
Zhang, L. et al. Seepage characteristics of coal under complex mining stress environment conditions. Energy Fuels. 38 (17), 16371–16384 (2024).
Muhammed, N. S., Olayiwola, T. & Elkatatny, S. A review on clay chemistry, characterization and shale inhibitors for water-based drilling fluids. J. Petrol. Sci. Eng. 206, 109043 (2021).
Zhang, L. et al. Seepage characteristics of broken carbonaceous shale under Cyclic loading and unloading conditions. Energy Fuels. 38 (2), 1192–1203 (2024).
Wang, J. et al. Development of similar materials with different tension-compression ratios and evaluation of TBM excavation. Bull. Eng. Geol. Environ. 83 (5), 190 (2024).
Panahandeh, M. et al. Obtaining the strength parameters of concrete using drilling data. J. Building Eng. 38, 102181 (2021).
Zhou, Y. et al. Effect of multi-scale rough surfaces on oil-phase trapping in fractures: Pore-scale modeling accelerated by wavelet decomposition. Comput. Geotech. 179, 106951 (2025).
Yu, H., Wang, H. & Lian, Z. An assessment of seal ability of tubing threaded connections: A hybrid Empirical-Numerical method. J. Energy Res. Technol. 145(5), 52902 (2022).
Gan, B. et al. Phase transitions of CH4 hydrates in mud-bearing sediments with oceanic laminar distribution: mechanical response and stabilization-type evolution. Fuel 380, 133185 (2025).
Niu, Q. et al. Evolution of pore structure, fracture morphology and permeability during CO2 + O2 in-situ leaching process of fractured sandstone. Energy 315, 134348 (2025).
Cao, D. et al. Correction of linear fracture density and error analysis using underground borehole data. J. Struct. Geol. 184, 105152 (2024).
Abdo, J. & Haneef, M. D. Nanomaterials modified drilling fluid for improving deep drilling conditions. J. Energy Res. Technol. 144(7), 73202 (2021).
Griffith, J. & Osisanya, S. O. Effect of drilling fluid filter cake thickness and permeability on cement slurry fluid loss. J. Can. Pet. Technol. 38(13), 42 (1999).
Liu, T. et al. Characterization of a fly ash-based hybrid well cement under different temperature curing conditions for natural gas hydrate drilling. Constr. Build. Mater. 445, 137874 (2024).
Dai, T. et al. Waste glass powder as a high temperature stabilizer in blended oil well cement pastes: hydration, microstructure and mechanical properties. Constr. Build. Mater. 439, 137359 (2024).
Singh, V., Kumar, S. & Ratha, D. Synergistic effect of the addition of TiO2 feedstock on solid particle erosion of Ni/Al2O3 and Ni/Cr2O3 coatings. Wear 426, 250–257 (2019).
Li, Y. et al. Surrogate model for reservoir performance prediction with time-varying well control based on depth generative network. Pet. Explor. Dev. 51 (5), 1287–1300 (2024).
Wu, Y. et al. The interfacial polymerization reaction induced by intermolecular dipole–dipole interaction for the Preparation of nanofiltration membrane under the low concentration of the aqueous monomers. Sep. Purif. Technol. 362, 131750 (2025).
Kiani, M. and M.H. Paydar Improved Electrochemical Performance of Sm0.2Ce0.8O1.9 (SDC) Nanoparticles Decorated SrCo0.8Fe0.1Ga0.1O3 – δ (SCFG) Fiber, Fabricated by Electrospinning, for IT-SOFCs Cathode Application. Materials, 16, (2023). https://doi.org/10.3390/ma16010399
Zhao, L. C. et al. Fabrication of a porous Metal-Organic framework with Polar channels for 5-Fu delivery and inhibiting human osteosarcoma cells. J. Chem. 2018 (1), 1523154 (2018).
Zhu, B. et al. New potassium sodium niobate single crystal with Thickness-independent High-performance for photoacoustic angiography of atherosclerotic lesion. Sci. Rep. 6 (1), 39679 (2016).
Feng, C. et al. Prediction of vitrinite reflectance of shale oil reservoirs using nuclear magnetic resonance and conventional log data. Fuel 339, 127422 (2023).
Zhu, B. P. et al. Synthesis of Mg[Ti2]O4 by spark plasma sintering. Mater. Lett. 61 (2), 578–581 (2007).
Wu, H. et al. Limosilactobacillus regulating microbial communities to overcome the hydrolysis bottleneck with efficient One-Step Co-Production of H2 and CH4. Adv. Sci. 11 (43), 2406119 (2024).
Phor, L. et al. Al2O3-Water nanofluids for heat transfer application. MRS Adv. 4 (28), 1611–1619 (2019).
Zhu, B. P. et al. Sol–gel derived PMN–PT Thick films for high frequency ultrasound linear array applications. Ceram. Int. 39 (8), 8709–8714 (2013).
Yao, Y. et al. Role of soil in improving process performance and methane yield of anaerobic digestion with corn straw as substrate. Energy 151, 998–1006 (2018).
Phor, L. & Kumar, V. Self-cooling by ferrofluid in magnetic field. SN Appl. Sci. 1 (12), 1696 (2019).
Qiu, L. et al. A review on biochar-mediated anaerobic digestion with enhanced methane recovery. Renew. Sustain. Energy Rev. 115, 109373 (2019).
Phor, L. & Kumar, V. Self-cooling device based on thermomagnetic effect of MnxZn1 – xFe2O4 (x = 0.3, 0.4, 0.5, 0.6, 0.7)/ferrofluid. Journal of Materials Science: Materials in Electronics, 30(10): pp. 9322–9333. (2019).
Gao, J. et al. Design, implementation and experimental verification of a compensator-based triple-step model reference controller for an automotive electronic throttle. Control Eng. Pract. 100, 104447 (2020).
Lu, X. et al. Study on precise fuel injection under multiple injections of high pressure common rail system based on deep learning. Energy 307, 132784 (2024).
Chen, L. et al. Mechanism of sodium tripolyphosphate inhibiting the syneresis of HPAM hydrogel. RSC Adv. 5 (103), 84872–84878 (2015).
Sun, F. et al. Effect of composition of HPAM/Chromium(III) acetate gels on delayed gelation time. J. Dispers. Sci. Technol. 37 (6), 753–759 (2016).
Jia, H. et al. Research on the gelation performance of low toxic PEI Cross-Linking PHPAM gel systems as water shutoff agents in low temperature reservoirs. Ind. Eng. Chem. Res. 49 (20), 9618–9624 (2010).
Aghdam, S. K. et al. Thermodynamic modeling of saponin adsorption behavior on sandstone rocks: an experimental study. Arab. J. Sci. Eng. 48 (7), 9461–9476 (2023).
Aghdam, S. K., Kazemi & Ahmadi, M. A laboratory study of a novel bio-based nonionic surfactant to mitigate clay swelling. Petroleum 7 (2), 178–187 (2021).
Aghdam, S. K., Kazemi & Ahmadi, M. Studying the effect of various surfactants on the possibility and intensity of fine migration during low-salinity water flooding in clay-rich sandstones. Results Eng. 18, 101149 (2023).
Hazbeh, O. et al. Hybrid computing models to predict oil formation volume factor using multilayer perceptron algorithm. J. Petroleum Min. Eng. 23 (1), 17–30 (2021).
Harrison, J. R. et al. Novel Lime-Free Drilling Fluid System Applied Successfully in Gulf of Thailand. in SPE/IADC Drilling Conference. (1999).
Chinthala, M. et al. Synthesis and applications of nano-MgO and composites for medicine, energy, and environmental remediation: a review. Environ. Chem. Lett. 19 (6), 4415–4454 (2021).
Duan, Z., Li, X. & Deng, B. Recent development in the environmental application of nano-sized MgO. Bull. Mater. Sci. 45 (4), 204 (2022).
Minakov, A. V. et al. A study of the influence of nanoparticles on the properties of drilling fluids. Colloid J. 80 (4), 418–426 (2018).
Parizad, A., Shahbazi, K., Ayatizadeh, A. & Tanha Enhancement of polymeric water-based drilling fluid properties using nanoparticles. J. Petrol. Sci. Eng. 170, 813–828 (2018).
Acknowledgements
The authors thank the Deanship of Scientific Research and Graduate Studies at King Khalid University, Abha, KSA, for funding this work through a research group program under grant number RGP.2/253/46.
Funding
There is no external funding source for this research.
Author information
Authors and Affiliations
Contributions
Pu Cao Revision, Experimental, WritingAyat Hussein AdhabMethodology, SupervisionMorug Salih MahdiExperimentalDharmesh SurExperimentalAbhinav KumarExperimentalSuhas BallalExperimentalAbhayveer SinghTheory, writtingAnita DeviTheory, writtingKamal Kant JoshiTheory, writtingAseel Salah MansoorTheory, writtingUsama Kadem RadiSupervisionNasr Saadoun AbdInvestigation, writingKhursheed Muzammilrevision, writingVahid LavgaWriting, submission.
Corresponding authors
Ethics declarations
Competing interests
The authors declare no competing interests.
Ethical statements
This section is not applicable, and no human or animal is studied in this research.
Additional information
Publisher’s note
Springer Nature remains neutral with regard to jurisdictional claims in published maps and institutional affiliations.
Rights and permissions
Open Access This article is licensed under a Creative Commons Attribution-NonCommercial-NoDerivatives 4.0 International License, which permits any non-commercial use, sharing, distribution and reproduction in any medium or format, as long as you give appropriate credit to the original author(s) and the source, provide a link to the Creative Commons licence, and indicate if you modified the licensed material. You do not have permission under this licence to share adapted material derived from this article or parts of it. The images or other third party material in this article are included in the article’s Creative Commons licence, unless indicated otherwise in a credit line to the material. If material is not included in the article’s Creative Commons licence and your intended use is not permitted by statutory regulation or exceeds the permitted use, you will need to obtain permission directly from the copyright holder. To view a copy of this licence, visit http://creativecommons.org/licenses/by-nc-nd/4.0/.
About this article
Cite this article
Cao, P., Adhab, A.H., Sur, D. et al. Effect of MgO-HPAM nanocomposite on the rheological and filtration properties of water-based drilling fluids. Sci Rep 15, 21266 (2025). https://doi.org/10.1038/s41598-025-00856-z
Received:
Accepted:
Published:
Version of record:
DOI: https://doi.org/10.1038/s41598-025-00856-z








