Abstract
This study aimed to explore the relationship between physical exercise and social anxiety among college students and to analyse the chain-mediated role of self-control and mental toughness in it. Using a cross-sectional survey method with physical exercise rating scale, social anxiety scale, self-control scale and mental toughness scale as measurement tools, 534 university students, 50.74% of whom were female and 49.25% of whom were male, were surveyed by stratified whole group convenience sampling method, and mediated effect analyses were conducted using SPSS27.0 and Process plug-in. Two-by-two correlations between physical exercise, self-control, mental toughness, and social anxiety among college students. Physical exercise positively predicted self-control and mental toughness and negatively predicted social anxiety among college students. Self-control and mental toughness individually mediated the relationship between physical exercise and college students’ social anxiety. Self-control and mental toughness acted as chain mediators between Physical exercise and college students’ social anxiety. Physical exercise is an effective way to alleviate social anxiety among college students, both directly on their social anxiety levels and indirectly through the chain-mediated effects of self-control and mental toughness.
Similar content being viewed by others
Introduction
The circular on the Special Action Plan for Comprehensively Strengthening and Improving Student Mental Health Work in the New Era (2023–2025), jointly issued by the Ministry of Education and 17 other departments, points out the need to give more prominence to student mental health work and to attach great importance to the mental health status of university students. Research has found that the scope of social anxiety cannot be underestimated, and that it has become the third most serious psychological problem after alcohol addiction and depression1. Social anxiety is an emotional experience in which an individual experiences significant fear or anxiety in social situations and is accompanied by significant avoidance behaviour because of the fear of triggering negative evaluations2.Social anxiety is specifically characterized by excessive tension and fear when individuals face interpersonal situations. Especially in public or interpersonal interactions, this undesirable emotion is more significant, presenting a continuous and strong state of tension and anxiety3. Research has found that social anxiety is more prominent within the college student population. About 45.7% of college students suffer from it4. Social anxiety has a high prevalence and long duration in the college student population, which negatively affects college students’ daily life, academic performance, and future employment prospects5. Experiencing social anxiety over a long period of time can have a negative impact on the physical and mental health dimensions of college students, and in severe cases may evolve into a social disorder6. This will seriously affect college students’ interpersonal relationships, individual well-being, and even increase suicidal ideation among college students7. To summarize, the problem of social anxiety among college students is getting more and more attention, and the key to solving this problem lies in clarifying the antecedent variables of social anxiety, understanding the degree of influence of each factor and the mechanism of interaction between them, and helping college students to alleviate their social anxiety and improve their mental health.
Physical exercise refers to physical activities that are carried out by people according to their own needs, independently choosing their own way of doing sports, skillfully integrating the natural environment with health and hygiene methods, and that are aimed at developing the body, promoting health, strengthening the physique, regulating the spirit, enriching the cultural life, and dominating the rest of the leisure time8. Physical exercise, as an effective means of promoting the development of mental health in college students, has been shown to be effective in alleviating social anxiety 9, physical exercise can reduce the negative effects of anxiety on adolescents 10.When college students participate in increasing amounts of sports, their scores on depression and anxiety decrease accordingly, and their sleep quality improves, which means that their mental health is gradually improving 11. Sports such as volleyball and jogging have some effect in regulating social anxiety, and collaborative sports such as the three big balls, which emphasize teamwork, have a better regulating effect on people with social disorders and sensitive interpersonal relationships 12. Baseball and sandplay are effective in reducing social anxiety 13. Studies have shown that moderate physical exercise has a better intervention effect on the improvement of social skills, the promotion of interpersonal harmony, and the shaping of cheerful personality in college students14,15. Based on this, the research hypothesis H1: There is a significant negative correlation between physical exercise and social anxiety among college students.
Self-control is the process of suppressing or overcoming one’s own desires or needs by changing one’s inherent or habitual ways of behaving or thinking16. Students in daily life and learning by external temptations, often show poor self-control, and physical exercise is an effective means to help students form a good psychological quality, inspire students to act consciously, enhance students’ self-control 17. High-intensity physical exercise promotes individual self-control 18, as the physical and mental load of the exerciser increases, more self-control resources are needed to maintain the exercise state, and the individual’s self-control is significantly improved 19. Physical exercise may help alleviate poor self-control 20. Research has shown that self-control is a strong predictor of social anxiety and that there is a significant negative correlation between social anxiety and self-control 21. When individuals’ self-control is at a low level, they are less able to regulate their emotions, cognition and behavior in social situations. This makes it difficult for individuals to effectively use positive psychological strategies and coping styles when faced with social stimuli, thus exacerbating their social anxiety symptoms 22. Based on this, the research hypothesis H2: Self-control mediates the relationship between physical exercise and social anxiety among college students is proposed.
Mental toughness refers to an individual’s effective adaptation to stressful situations such as misfortune, adversity, or frustration, enabling the individual to maintain normal psychological and physiological functioning even in stressful situations23. Regular physical exercise has been found to improve physical and mental status and mental toughness 24. Exercise time and exercise frequency have significant influence and effect on mental toughness of college students 25. There is a significant positive correlation between physical exercise and mental toughness 26. Physical exercise can play a positive role in the structural and functional levels of the brain, helping individuals to achieve more efficient top-down regulation, and can be a powerful way to increase mental toughness in those who suffer from psychological problems27. Related research suggests that levels of mental toughness significantly predict levels of anxiety in social interactions28, there was a significant negative correlation between the two, the higher the mental toughness, the lower the level of social anxiety29. Based on this, the research hypothesis H3: Mental toughness mediates the relationship between physical exercise and social anxiety among college students is proposed.
Self-control and mental toughness are both positive psychological qualities, and research has found that self-control can reduce adverse states of mind and enhance mental toughness 30. Individuals with higher self-control are able to cope with a more positive mindset and higher levels of mental toughness when faced with difficulties 31. There is a positive correlation between self-control and mental toughness 32. Mental toughness can help individuals cope with stress more effectively and reduce the consumption of self-control resources in stressful environments, which in turn has a positive impact on an individual’s self-control 33. Based on this, the research hypothesis H4: Self-control and mental toughness act as chain mediators between physical exercise and social anxiety among college students is proposed.
In summary, this study intends to take some college students in Liaoning Province and Shandong Province as subjects, aiming to explore the relationship between physical exercise and college students’ social anxiety, and at the same time to deeply analyse the mediating roles played by self-control and mental toughness in the process of this influence, so as to provide empirical evidence for the improvement of college students’ social anxiety by physical exercise. Four hypotheses are proposed:
H1: There is a significant negative correlation between physical exercise and social anxiety among college students.
H2: Self-control mediates the relationship between physical exercise and social anxiety among college students.
H3: Mental toughness mediates the relationship between physical exercise and college students’ social anxiety.
H4: Self-control and mental toughness chain-mediated the relationship between physical exercise and social anxiety among college students.
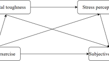
The constructed diagram of the chain mediator model is shown in Fig. 1.
Research participants and methods
Participants and sampling
In this study, stratified whole cluster random sampling method was adopted to conduct a questionnaire survey on 570 college students from some colleges and universities in Liaoning Province and Shandong Province by means of online questionnaires, in which the subjects all participated voluntarily. A total of 570 questionnaires were distributed, and the questionnaires with significantly too short filling time and obvious regular response characteristics were excluded, and the final number of valid questionnaires was determined to be 534, with an effective recovery rate of 93.6%.
Research methodology
Physical Exercise Rating Scale (PARS-3)
The measurements were based on the Physical Exercise Rating Scale revised by Deqing Liang34, which consists of three questions on the intensity of physical exercise (title ‘How often do you do physical exercise?’), time (title ‘How many minutes do you do the above intensity of physical activity at one time?’) and the frequency (title ‘How many minutes do you do the above intensity of physical activity at one time?’). Physical exercise levels were measured through 3 dimensions, using a Likert 5-point scale with corresponding scores of 1 to 5. Physical exercise score = intensity score × (time score − 1) × frequency score, with higher scores indicating greater physical exercise. The Cronbach’s coefficient for this scale in this study was 0.668.
Social Anxiety Scale
The measurements were made using the Social Anxiety Scale developed by Leary35, which consists of 15 questions that measure social anxiety in 2 dimensions: subjective anxiety( titles such as ‘I get nervous when I talk to people in authority’ etc.) and social situations( titles such as ‘I usually feel uncomfortable when I am with a group of people I do not know’etc.). Using the Likert 5-point scale , the corresponding scores are ranged from 1 to 5 (1 being ‘not at all’ and 5 being ‘very much’), with higher scores indicating higher levels of social anxiety in the individual. The Cronbach’s coefficient for this scale in this study was 0.801.
Self-Control Scale
The measurements were made using the Self-Control Scale for College Students revised by Shuhua Tan and Yongyu Guo36, which consisted of 19 questions. The scale assessed the level of self-control in five dimensions: impulse control( titles such as ‘I do a lot of things on impulse.’etc.), healthy habits (titles such as ‘It is difficult for me to break bad habits.’etc.), resisting temptation( titles such as ‘I can resist temptation well.’etc.), focusing on work (titles such as ‘I can work efficiently for a long-term goal.’etc.), and abstaining from recreation (titles such as ‘I do things that give me pleasure but are harmful to me.’etc.) and it also assessed the level of self-control in 5 dimensions. Using the Likert 5-point scale, the corresponding scores are from 1 to 5(1 being ‘not at all’ and 5 being ‘very much’), which reflect the strength of the individual’s self-control ability according to the level of the score. The Cronbach’s coefficient for this scale in this study was 0.795.
Mental Toughness Scale
The measurements were made using the Mental Toughness Scale for College Students revised by Xiaonan Yu and Jianxin Zhang37, was used to measure mental toughness in 3 dimensions: strength(titles such as ‘I am proud of my achievements.’etc.), toughness(titles such as ‘Under pressure, I'm able to concentrate my thoughts.’etc.), and optimism(titles such as ‘No matter what happens along the way in my life, I can handle it.’etc.). Using the Likert 5-point scale (1 = never, 5 = always), the strength of an individual’s mental toughness ability was reflected based on the level of score. The Cronbach’s coefficient of this scale in this study was 0.889.
Statistical processing
In this study, SPSS27.0 software was used to analyze all the data for reliability analysis, common method bias test, descriptive statistical analysis, difference test, correlation analysis and regression analysis. Model 6 in process4.0 plug-in was utilized for mediation analysis and the mediation model was tested with the help of Bootstrap method. In addition, the sample size of the questionnaire was calculated with the help of the power analysis software G*Power, where the effect size was set at 0.3, significance was set at 0.05, and statistical power was set at 0.8, and finally the required sample size was calculated to be 82.
Results and analysis
Common method bias test
Given that all the data in this study were obtained through questionnaire collection, the four related variables of physical exercise, social anxiety, self-control and mental toughness need to be tested for common method bias. Using SPSS27.0 software, an unrotated principal component analysis was conducted on the above variables, and the results of Harman’s one-way test showed that there were 11 factors with an eigenroot greater than 1, and the explanation rate of the first factor was 14.03%, which was lower than the critical value of 40%, indicating that the data of the present study did not suffer from common method bias.
Descriptive statistics and correlation analysis
The independent samples t-test was used to analyze the differences between genders on physical exercise, social anxiety, self-control, and mental toughness, as shown in Table 1. The results of the study showed that genders showed significant differences in physical exercise, and males were significantly more frequent than females in physical exercise.
Differences in physical exercise, social anxiety, self-control, and mental toughness by grade level were analyzed using a one-way ANOVA test, as shown in Table 2. The results of the study showed that there was a significant difference in physical exercise by grade level. First-year students showed a significant increase in the frequency of physical exercise compared to sophomores, while juniors and seniors, were similar to other grades.
Pearson’s correlation coefficient was used to analyze the relationship between the variables, see Table 3. The study shows that college students who are actively involved in physical exercise tend to be more prominent in self-control and mental toughness, and that physical exercise has a significant positive correlation with self-control and mental toughness; and in the relationship between physical exercise and social anxiety, the two show a significant negative correlation, and the more college students who are physically exercised, the lower the degree of social anxiety.
At the same time, there is also a significant positive correlation between self-control and mental toughness, and college students with strong self-control tend to have better mental toughness; while there is a significant negative correlation between self-control and college students’ social anxiety, i.e., the stronger the self-control, the lower the degree of social anxiety. In addition, there is a significant negative correlation between mental toughness and college students’ social anxiety, i.e., the higher the mental toughness, the lower the level of social anxiety.
Chain mediation effect test
In this paper, college students’ gender and grade level are used as control variables, and other variables are standardized, see Table 4. Regression analysis shows that college students’ physical exercise significantly and positively predicts self-control (β = 0.233, P < 0.001) and also significantly and positively predicts mental toughness (β = 0.141, P < 0.001); self-control positively predicts mental toughness (β = 0.115, P < 0.001). Physical exercise negatively predicted college students’ social anxiety (β = − 0.228, P < 0.001), self-control significantly negatively predicted college students’ social anxiety (β = − 0.174, P < 0.001); mental toughness also negatively predicted college students’ social anxiety (β = − 0.293, p < 0.001). Accordingly, hypotheses H1, H2, H3, and H4 proposed in this study were valid.
In this study, model 6 in the plug-in program Process4.0 of SPSS27.0 software was used to set physical exercise as the independent variable, social anxiety as the dependent variable, and self-control and mental toughness as the mediator variables for the mediation effect test, which is shown in Table 5. According to the results of mediation effect validation by Bootstrap, the direct and indirect effects of physical exercise on social anxiety of college students both exclude 0 at the 95% confidence interval, P < 0.001, and self-control and mental toughness play a partial mediating role. Further dissecting the mediating effects, three indirect effect paths were found: “physical exercise → self-control → social anxiety”, “physical exercise → mental toughness → social anxiety”, “physical exercise → self-control → mental toughness → social anxiety”, with 95% confidence intervals excluding 0, fully confirming the existence of mediating effects of the two variables of self-control and mental toughness between physical exercise and social anxiety of college students.
Discussion
Taking college students as the research object, this study explored the relationship between physical exercise and social anxiety, as well as the chain mediating role of self-control and mental toughness between the two, providing useful insights for the prevention of psychological problems among college students. Physical exercise not only directly predicts the social anxiety status of college students, but also indirectly predicts the level of social anxiety of college students with self-control and mental toughness as mediating variables, which helps the college student group to better cope with various challenges in study and life and realize all-round development.
The direct effect of physical exercise on social anxiety in college students
The results of the study show that there is a significant negative predictive effect between physical exercise and college students’ social anxiety, with a significant negative correlation between the two. That is, as the intensity of physical exercise increases, the frequency of exercise increases and the duration of exercise is prolonged, the psychological adjustment effect of physical exercise becomes more and more significant, and the social anxiety level of college students gradually decreases, which verifies the research hypothesis H1. The results of this study are consistent with Bodnari’ s findings that social anxiety levels were lower in the group of subjects who received higher intensity of physical training38. It is also consistent with Sun Wei’s finding that physical exercise is effective in reducing levels of social anxiety13. Once again, it was verified that physical exercise was effective in alleviating social anxiety and helped to reduce the level of social anxiety in individuals. Physical exercise is not only an important part of after-school cultural activities for college students, but also provides students with positive and optimistic emotions, promotes interpersonal communication and mutual understanding, and reduces social anxiety39.
The mediating role of self-control
The results of the study showed that physical exercise indirectly affects social anxiety through self-control, that being active in physical exercise significantly positively predicts self-control, and that self-control negatively predicts social anxiety, resulting in two pathways: the separate mediating effect of self-control and the mediating effect of physical exercise → self-control → social anxiety, which validated the research hypothesis H2. Physical exercise has a positive effect on enhancing individuals’ self-control, which is consistent with the previous study by Xinyu Chu and Ferris17,18. In social interaction scenarios, individuals with high social anxiety show more significant self-control than those with low social anxiety. When faced with stressful or challenging social situations, these socially anxious individuals use a large amount of self-control resources to inhibit negative social emotional responses, a process that leads to a depletion of self-control resources and a decrease in self-control levels, which ultimately contributes to the development of social anxiety40. Therefore, physical exercise can reduce the level of social anxiety among college students by enhancing their self-control.
The mediating role of mental toughness
The results of the study showed that physical exercise indirectly affects social anxiety through mental toughness, active physical exercise can significantly enhance mental toughness, and the ability of mental toughness can negatively predict college students’ social anxiety, resulting in two paths: the separate mediating role of mental toughness, and the mediating role of physical exercise → mental toughness → social anxiety, which verified the research hypothesis H3. Studies have shown that college students who engage in moderate- and high-intensity physical exercise have better levels of mental toughness and lower levels of social anxiety, consistent with the results of previous studies29. Targeted selection of physical exercise programs, intensity, duration, and frequency can enhance mental toughness during physical exercise to prevent and reduce social anxiety25. Significant negative correlation between mental toughness level and social anxiety among college students28. Reduced levels of mental toughness can further exacerbate anxiety41. Physical exercise is beneficial to mental health and effective in reducing the probability of social anxiety and negative emotions42. Therefore, physical exercise can reduce the level of social anxiety among college students by enhancing their mental toughness ability.
Chain mediation of self-control and mental toughness
The results of the study showed that physical exercise indirectly affects social anxiety through self-control and mental toughness, generating the pathway: physical exercise → self-control → mental toughness → chain mediation of social anxiety, which verified the research hypothesis H4. When individuals adhere to regular physical exercise over a long period of time, this behavior not only satisfies their interactive needs during exercise, but also gradually builds up good self-control, which in turn maintains a high level of mental toughness43. This is consistent with the results of the previous study by Wang Qiulin, which fully confirms the ability to regulate self-control, enhance mental toughness, and alleviate social anxiety through physical exercise30. The above findings fully reveal the chain mediating effect of physical exercise on college students’ social anxiety through two mediating variables: self-control and mental toughness. This study not only provides new perspectives and ideas to reduce the level of college students’ social anxiety and enhance the benefits of mental health in the future, but also provides operational and practical guidance for the practice of mental health education in colleges and universities, which is of great significance in both theory and practice.
Physical exercise has been found to not only directly regulate social anxiety, but more importantly, to have a long-lasting effect through the construction of a dual protection system of “behavioural regulation and psychological adaptation”. Specifically, regular physical exercise firstly strengthens behavioural self-discipline and impulse control (self-control)17, and establishes a stable foundation of psychological regulation for individuals24.This in turn promotes the development of cognitive flexibility and stress coping skills (mental toughness competence)33, and ultimately a dynamic protective mechanism against social anxiety.
Research shortcomings and prospects
The present study examined the mechanism of association between physical exercise and social anxiety in college students, revealing the chain-mediated effects of self-control and mental toughness in it, but limitations still exist. Firstly, the present study is based on a cross-sectional survey, and it is difficult to completely exclude the possibility of reverse causality. Individuals with lower levels of social anxiety may be more willing to actively participate in physical exercise, resulting in a behavioural pattern of ‘low anxiety → high participation’rather than the relief of anxiety by exercise itself; individuals with higher levels of social anxiety may avoid social situations and reduce the opportunity to participate in group physical exercise, resulting in a lower frequency of physical exercise, which may bias the estimation of the mediating effect. This endogeneity problem may bias the estimation of the mediating effect. Second, this study only examined the mediating role of self-control and mental toughness, but the formation and alleviation of social anxiety may involve more complex psychosocial mechanisms. Finally, the sample coverage of this study was not extensive, and future research needs to expand the sample to enhance the applicability of the findings.
In summary, although this study has achieved certain results, there is still room for further expansion and deepening. At the practical level, it is recommended that colleges and universities create ‘sport + psychology’ theme societies to continuously optimise the interaction between body and mind, and develop ‘sport + psychology’ dynamic monitoring platforms to strengthen data-driven precision interventions. Future studies could use a longitudinal tracking design or a cross-lagged model and incorporate more mediating and moderating variables such as self-efficacy, peer relationships, etc. to construct a more comprehensive model. In the future academic exploration, we will use more meticulous and scientific research methods and design ideas to analyse the relationship between physical exercise and college students’ social anxiety in a more detailed way. This will not only help us more accurately grasp the intrinsic connection between the two, but also provide a more solid and reliable theoretical basis and practical guidance programmes for social anxiety prevention and intervention, so as to better help the development of college students’ mental health.
Conclusion
The present study delved into the mechanism of physical exercise’s influence on college students’ social anxiety, and the results showed that (1) physical exercise had a negative predictive effect on college students’ social anxiety; (2) self-control and mental toughness mediated individually between physical exercise and college students’ social anxiety, respectively; (3) self-control and mental toughness mediated chained between physical exercise and college students’ social anxiety. This finding provides a theoretical basis for improving physical exercise interventions for social anxiety in college students, and exerts the comprehensive benefits of physical exercise in promoting college students’ mental health and social adaptation.
Data availability
Data is provided within the manuscript or supplementary information files.
References
Liu, F. & Li, S. Relationship of social anxiety and self-acceptance of college students. China J. Health Psychol. 15(9), 784–785 (2007).
Guha, M. Diagnostic and statistical manual of mental disorders: DSM-5 (5th edition). Refer. Rev. 28(3), 191 (2014).
Guo, X. Study on cause of social anxiety. Explor. Psychol. 20(1), 55–58 (2000).
Li, C. & Xu, K. Mediating role of negative physical self in emotional regulation strategies and social anxiety. China J. Health Psychol. 27(10), 1564–1567 (2019).
Zhang, Q. Analysis on the status and influencing factors of social anxiety of college students in a University in Changchun City. Med. Soc. 33(03), 112–115 (2020).
Xu, S. Explanatory Bias in Highly Socially Anxious College Students (Huadong Normal University, 2010).
Russell, G. & Topham, P. The impact of social anxiety on student learning and well-being in higher education. J. Ment. Health. 21(4), 375–385 (2012).
Hu, S. & Shi, L. College students’ physical exercise and will quality characteristics research. J. Nanjing Sport Inst. (Nat. Sci.) 15(05), 155–160 (2016).
Schumacher Dimech, A. & Seiler, R. The association between extra-curricular sport participation and social anxiety symptoms in children. J. Clin. Sport Psychol. 4(3), 191–203 (2010).
Yang, L. et al. Anxiety, inhibitory control, physical activity, and internet addiction in Chinese adolescents: A moderated mediation model. BMC Pediatr. 24(1), 663–663 (2024).
Liu, Z. A Study of the Effects of Physical Activity on Sleep Quality, Anxiety and Depression in University Students (Shanghai Sports University, 2020).
Bi, X. & Peng, Y. The influence of sports exercise on college students mental health. China Sport Sci. Technol. 23(03), 31–32 (2003).
Sun, W. & Meng, J. A comparison of the effectiveness of baseball and softball exercise and sand tray game intervention on social anxiety in college students. Chin. J. Sch. Health. 38(11), 1735–1737 (2017).
Shi, Z. Influences of cheer leading training on mental health and social anxiety of female junior students. J. Wuhan Inst. Phys. Educ. 46(8), 79–82 (2012).
Li, R. The Effects of Different Sport Interventions on Body Esteem and Social Anxiety Among Female University Students (Shandong Normal University, 2023).
Tan, S. & Guo, Y. A limited resource model of self- control and the relevant studies. Chin. J. Clin. Psychol. 28(03), 309–311 (2003).
Chu, X. The role of physical exercise in the development of students’ willfulness. Secondary Sch. Polit. Sci. Teach. Refer. 20(05), 8 (2020).
Ferris, L. T. & Shen, C. The effect of acute exercise on serum brain-derived neurotrophic factor levels and cognitive function. Med. Sci. Sports Exerc. 39(4), 72–734 (2007).
Dong, Y. & Wang, X. Effect of physical exercise on school bullying among junior high school students: The chain mediating effect of psychological capital and self-control. China J. Health Psychol. 31(05), 733–739 (2023).
Yang, L. et al. Physical activity moderated the mediating effect of self-control between bullying victimization and mobile phone addiction among college students. Sci. Rep. 14(1), 20855–20855 (2024).
Zhang, G. & Chen, M. Influence of self-control on internet addiction in college students: A moderated mediation model. China J. Health Psychol. 28(07), 1090–1095 (2020).
Blackhart, G. & Nelson, L. Social anxiety in relation to self-control depletion following social interactions. J. Soc. Clin. Psychol. 34(9), 747–773 (2015).
Liu, H. & Yang, L. The neural mechanism underlying resilience. Adv. Psychol. Sci. 27(2), 312–321 (2019).
Zhou, H. & Zhou, Q. Effect of physical exercise on subjective well-being of college students: Chain mediation effect of cognitive reappraisal and resilience. J. Shandong Sport Univ. 38(1), 105–111 (2022).
Liu, X. An investigation of the relationship between frequency of physical activity and mental toughness of college students. Sports. 23(07), 60–61 (2013).
Liu, Z. Effects of physical exercise on negative emotion for university students—The mediating and moderating effects of self-efficacy and mental resilience. J. Phys. Educ. 27(5), 102–108 (2020).
Belcher, B. R. & Zink, J. The roles of physical activity, exercise, and fitness in promoting resilience during adolescence: Effects on mental well-being and brain development. Biol. Psychiatry Cogn. Neurosci. Neuroimaging. 6(2), 225–237 (2021).
Ng, R. & Ho, M. H. R. Coping with anxiety, depression, anger and aggression: The mediational role of resilience in adolescents. Child Youth Care Forum. 41(6), 529–546 (2012).
Dong, J. The relationship between the psychological resilience and the communication anxiety of college students. Theory Res. 14(14), 172–173 (2014).
Wang, Q. & Yang, P. The relationship between self-control and emotional stability of high-level basketball referees in China: The chain mediating effect of mood state and mental resilience. J. Sports Sci. 42(06), 86–95 (2021).
Bajaj, B. & Pande, N. Mediating role of resilience in the impact of mindfulness on life satisfaction and affect as indices of subjective well-being. Pers. Individ. Differ. 93(02), 63–67 (2016).
Tangying, W. Junior Middle School Students Mental Toughness (Shandong Normal University, 2016).
Yanglei, Z. & Yaoshan, X. The effect of mindfulness on academic procrastination of college students in online learning environments: Resilience and self-control as chain mediator. J. Psychol. Sci. 45(06), 1450–1457 (2022).
Liang, D. Stress levels and their relationship with physical activity among university students. Chin. J. Ment. Health. 11(01), 5–6 (1994).
Leary, M. R. Social anxiousness: The construct and its measurement. J. Pers. Assess. 47(1), 66–75 (1983).
Tan, S. & Guo, Y. Revision of self-control scale for Chinese college students. Chin. J. Clin. Psychol. 16(5), 468–470 (2008).
Yu, X. & Zhang, J. A comparison between the Chinese version of ego-resiliency scale and Connor Davidson Resilience Scale. Psychol. Sci. 9(05), 1169–1171 (2007).
Bodnari, M. & Lupusor, A. Correlation between physical activity, anxiety and sleep. Sleep Med. 40, 202 (2017).
Zhang, Y. A study of the effect of physical exercise on college students’ interpersonal skills. Higher Educ. Explor. 9(05), 185–189 (2014).
Baumeister, R. F. & Tice, D. M. The strength model of self-control. Curr. Dir. Psychol. Sci. 16(6), 351–355 (2007).
Cui, Y. The Effects of Employment Stress on the Anxiety of Recent University Graduates: The Mediating Role of Psychological Resilience (Jinlin University, 2011).
Duncan, M. J. & Clarke, N. The effect of green exercise on blood pressure, heart rale and mood state in primary school children. Int. J. Environ. Res. Public Health 11(4), 3678–3688 (2014).
Li, Y. & Yin, S. Relationship between physical exercise and aggressive behavior in lower-grade college students: A chain intermediary function of self-control and mental resilience. Chin. J. Clin. Psychol. 32(01), 86–92 (2024).
Funding
This research was funded by grants from the National Social Science Foundation of China (23BTY058).
Author information
Authors and Affiliations
Contributions
(A) H-B Z designed the study, collected and analysed the experimental data, and wrote the manuscript. (B) Y.C translated and embellished the manuscript. (C) L.S revised the paper and provided financial support.
Corresponding author
Ethics declarations
Ethical approval
The design of this study followed the guidelines and regulations of the Declaration of Helsinki and approved by Ethics Committee of Liaoning Normal University (LL2024084), and all participants signed an informed consent form.
Informed consent
Written informed consent was obtained from all participants prior to conducting this study.
Competing interests
The authors declare no competing interests.
Additional information
Publisher’s note
Springer Nature remains neutral with regard to jurisdictional claims in published maps and institutional affiliations.
Rights and permissions
Open Access This article is licensed under a Creative Commons Attribution-NonCommercial-NoDerivatives 4.0 International License, which permits any non-commercial use, sharing, distribution and reproduction in any medium or format, as long as you give appropriate credit to the original author(s) and the source, provide a link to the Creative Commons licence, and indicate if you modified the licensed material. You do not have permission under this licence to share adapted material derived from this article or parts of it. The images or other third party material in this article are included in the article’s Creative Commons licence, unless indicated otherwise in a credit line to the material. If material is not included in the article’s Creative Commons licence and your intended use is not permitted by statutory regulation or exceeds the permitted use, you will need to obtain permission directly from the copyright holder. To view a copy of this licence, visit http://creativecommons.org/licenses/by-nc-nd/4.0/.
About this article
Cite this article
Zhao, H., Chi, Y. & Shi, L. Analyzing the effect of physical exercise on social anxiety in college students using the chain mediation model. Sci Rep 15, 17751 (2025). https://doi.org/10.1038/s41598-025-02445-6
Received:
Accepted:
Published:
Version of record:
DOI: https://doi.org/10.1038/s41598-025-02445-6



