Abstract
Metal mining provides the elements required for the provision of energy, communication, transport and more. The increasing uptake of green technology, such as electric vehicles and renewable energy, will also further increase metal demand. However, the production lifespan of an average mine is far shorter than the timescales of mineral deposit formation, suggesting that metal mining is unsustainable on human timescales. In addition, some research suggests that known primary metal supplies will be exhausted within about 50 years. Here we present an analysis of global metal reserves that suggests that primary metal supplies will not run out on this timescale. Instead, we find that global reserves for most metals have not significantly decreased relative to production over time. This is the result of the replenishment of exhausted reserves by the further delineation of known orebodies as mineral exploration progresses. We suggest that environmental, social, and governance factors are likely to be the main source of risk in metal and mineral supply over the coming decades, more so than direct reserve depletion. This could potentially lead to increases in resource conflict and decreases in the conversion of resources to reserves and production.
Similar content being viewed by others
Introduction
Metal mining is essential to modern life and provides the raw materials that underpin modern society (for e.g.1,2) as well as being crucial in efforts towards meeting the UN Sustainable Development Goals. The mining sector also provides the commodities needed for the development and rollout of lower CO2 technologies2. However, mine life timescales (~30–50 years average mine life) are far shorter than the geological processes that form mineral deposits (1000s to millions of years3,4). This makes metal mining inherently unsustainable on human timescales since economically extractable mineral deposits become exhausted before replenishment by natural processes. The rate of exhaustion, however, remains controversial, with some researchers5,6,7,8,9,10,11,12 suggesting that the available supply of a range of metals will run out within 50 years or less. All of this means that accurately predicting future global metal supply requires an understanding of mineral resources and reserves, the basic metrics that mining companies provide that outline the metal endowment (total metal content of a given resource or reserve), grade (the concentration of metal in a given resource or reserve), and tonnage (the amount of mineralised material present in a given resource or reserve) of individual mining projects. Statistics on global metal reserves and production are compiled annually by the United States Geological Survey (USGS) and the contained data are frequently interpreted to represent all the metal available for economic extraction. This interpretation often then guides economic policy and key decisions based on the assumption of a finite, fixed stock of extractable metals.
However, reserves in fact represent a subset of the potential metal endowment of a mineralised area, with resources forming a larger proportion of the less well-quantified mineralised material present within individual projects (Fig. 1). This means that although mining should deplete reserves over time, this is not the case as the removal of reserves is balanced by both the conversion of resources to reserves and the delineation of new resources in the same area through ongoing mineral exploration processes13,14. This in turn can increase the total known endowment of metal within a given mining project over time even coincident with increases in production13,14. Combined with the discovery of new deposits, the resulting ongoing increase and growth in reserves and resources suggests a more optimistic outlook for the future than is predicted by some researchers who take reserves to represent all there can be in terms of possible metal extraction5,6,7,8,9,10,11,12. This pessimistic outlook is similar to that outlined for oil by M. King Hubbert in the 1950s15, who determined that the exhaustion of known oil reserves would reach a peak and then inevitably and inexorably decline as oil production depleted known reserves. The “peak oil” concept remains controversial with both supporters11,16,17,18 and detractors13,19,20,21, but “peak oil” has clearly been deferred by new oil discoveries (including increased amounts of reserves hosted by unconventional hydrocarbon reservoirs) and enhancements in recovery through fracking and related technologies. This deferral of peaking (if peaking will ever actually take place) is exemplified by US crude oil reserves and production that in 2017 reached levels not seen since the 1970 “peak”21. Equally important is the fact that a peak in production may not indicate an exhaustion of supply but may indicate a decrease in demand for oil (as has happened in recent months), or in fact for any commodity that peak models have been suggested for.
Darker colours indicate increased geological confidence and probability of economic extraction. Circles indicate drillholes used for exploration and subsequent resource and reserve estimation, giving an indication of the confidence of the data used to delineate different parts of the mineralised system. Note that resources and reserves only make up a small part of the true extent of mineralisation; the latter may well be known as a result of field mapping, geological and geochemical sampling, geophysical imaging, and some drilling, but cannot be reported because the geological confidence in the continuity of the mineralisation and associated economic prospects may not be sufficient to meet the criteria needed for resource or reserve reporting. Exploitation of known reserves would be followed by conversion of resources to reserves and the delineation of more resources from the surrounding poorly delineated mineralisation, extending the initially stated life of mine and causing resources and reserves to remain static or potentially grow coincident with production. There are many examples of the above—such as Olympic Dam, Antamina, Ertsberg-Grasberg, Escondida, Kalgoorlie, Highland Valley, and the Sudbury Basin, amongst many others20.
Similar arguments for and against peak supply have been made for metals10,22,23,24,25,26, especially as growth in demand for metals has increased rapidly throughout the twentieth century and is expected to continue. The fact that production of most commodities has increased over time27,28,29 to meet demand means that exponential increase in reserves and resources must have continued13,14 albeit with volatility related to short-lived rapid changes in demand or supply, sharply contrasting with predictions of declining metal supply. As a result, while USGS reserves and similar data (for e.g.27,28,29) are a valuable compilation, they represent a poor guide to long-term metal availability since they do not reflect the dynamic nature of these metal reserves. This dynamic nature is reflected by the fact that reserves can grow not only through exploration, but also can shrink or revert to resources or worse as a result of economic and environment, social and governance (ESG) factors, all of which can limit the conversion of resources to reserves or force write-downs of reserves back to resources. This in turn means that improving the understanding of the dynamic nature of reserves (and resources) is necessary to better assess future global metal supply.
This study examines mineral reserve and production data from 1957 to 2018, and uses these data to assess the renewability of reserves coincident with production. In other words, this paper focuses on whether known mineral reserves are being delineated at the same rate as production (i.e., we are not running out of economically mineable material) or whether we are facing reserve depletion scenarios as a result of increased production. The paper also discusses whether environmental, social, and governance factors are more important limits on metal production as a result of resource and reserve sterilisation (i.e., known mineral deposits that cannot be mined as a result of ESG factors) than reserve depletion.
Results
Mineral reserves and resources reporting codes and use
Understanding reserve and resource assessments requires knowledge of the terminology and the way the minerals industry operates, specifically how and why mineral resources and reserves “grow” over time coincident with production13,14. Reserves and resources are reported by the global mining industry to indicate the amount of contained metal or other commodities within a given mineral deposit. These terms form the basis for formal codes, guidelines, and legal instruments that are used to determine the value for companies and other entities that own mineral deposits. The approaches outlined in these codes contain strict definitions for resources and reserves, summarised as follows (adapted from ref. 30):
-
Resources are known metal concentrations of economic interest with grade, quality and quantity suggesting reasonable prospects for eventual economic extraction.
-
Reserves are the economically mineable part of resources that incorporate assessment of “modifying factors” such as material dilution and losses during extraction, available mining, processing, and metallurgical technology, and infrastructure, economic, marketing, legal, environmental, social and governmental factors.
Reserves and resources are typically reported in grade and tonnage terms, where the grade indicates the average concentration of the element or elements of interest within the deposit, and the tonnage represents the tonnes of mineralised material delineated to date within the deposit (above a minimum grade referred to as the “cut-off”, representing the minimum grade for economic extraction). Both are subdivided based on the amount of data and increasing levels of confidence in the reported estimates. The approach is effectively probabilistic, although probabilities are not stated explicitly in mineral and metal resource and reserve estimates.
Delineation of resources and reserves in a mineralised system is based on drilling at set spatial intervals, with smaller intervals yielding greater geological confidence in a given area. Reserves are the basis for production and can be thought of as the “working inventory” of a mine, whereas resources can be turned into reserves by further drilling and more detailed assessments of the extraction and mineral processing stages of metal production (including all of the modifying factors relevant for a given mine). Resources and reserves also almost invariably form part of a larger area of mineralisation that has not been fully delineated26 (Fig. 1). Furthermore, significant areas of known mineralisation not associated with deposits or mines that publicly report reserves and resources are known to exist. These deposits contain variable amounts of metal but do not have formally reported reserves or resources as they are typically owned by governments or private companies that are not required to report these data. All of these factors indicate that a viewpoint considering published reserves to represent a fixed stock of metals (i.e., “all there is) is inevitably inaccurate and pessimistic.
The information provided above indicates that assessing whether we have reached “peak mineral” for a given commodity, or whether peaks can actually be predicted, is nearly impossible. What can be stated with confidence is that we are currently producing more metals than ever before (e.g.13,14,31,32,33,34) and have more metal resources and reserves than ever before (e.g.13,14,31,32,33,34), indicating that we are increasingly effective at both discovering and delineating new resources and reserves and bringing these to production. A simple and optimistic outlook like this is, however, compromised to some extent by multiple non-geological factors (i.e., environmental, social, geopolitical, infrastructure13,14) that may hinder metal and mineral production, and these are likely to become increasingly important.
Reserve depletion as a possible constraint on metal supply
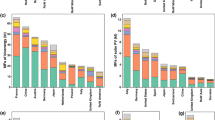
The potential constraints on metal supply related to reserve depletion can be examined by considering the variation in metal reserves over time compared to metal production. The ratio of reserves to production should decrease if reserves are becoming depleted over time. As mentioned above, the USGS provides the only annual source of global reserves estimates for most minerals over historical time periods27 (including the former U.S. Bureau of Mines or USBoM prior to the USGS completing this work28,29; see the Supplementary Information for details of data sources and approach). Global reserves data are available almost continually from 1956 to 2018 (excluding the period 1979 to 1986 when only “reserves base” estimates were published, which are effectively the same as resources). In Fig. 2, we plot the ratio of reserves to production using the available USGS data for 19 individual commodities and the combined group of six platinum group elements (PGE). This group of commodities, including key bulk and ferrous minerals and base, precious, and minor metals, have long-term trends (Fig. 2) that do not indicate the gradual, steady decrease in reserves to production ratios (equivalent to apparent years of remaining production at a given point in time) as expected from progressive reserve depletion. Descriptive statistics evaluating the variation of the ratios over time for these minerals and metals as well as other selected commodities (Table 1) also document either minimal changes or a small decrease in these values.
Bulk and ferrous commodities (Fig. 2a) appear to have overall reserve to production ratio trends that are generally flat or decrease slightly (<1% per year) after 1987 (with the exception of chromium as discussed below), indicating that known reserves for these commodities have increased more or less coincident with increasing production. Gold and silver ratio trends are similarly flat, whereas the PGE ratio increased sharply prior to 1987 and decreased gently after this date (Fig. 2b). With the exception of erratic changes before 1979 for nickel, the reserve/production ratio trends are relatively flat for copper, lead, nickel, tin and zinc over time (Fig. 2c). In contrast, the minor metals show more erratic reserve/production ratio trends, especially for cobalt and lithium over the last 30 years (Fig. 2d). Overall, the consistency of most of the reserve/production ratios over the past ~60 years independent of the type of commodity being considered confirms that a simple reserve depletion over time model does not apply to global metal supply. Indeed, the reserve to production data between 1956 and 2018 (or closest available year for some metals), for a wide range of commodities confirm that reserve to production ratio values change little compared to the rapid increase in both production and reserves over this time period (Supplementary Table 1).
Another important variable in metal markets is price. Metal prices are compared to production, reserves, and reserve to production ratios over time for the major commodities copper and zinc and the minor commodities cobalt and molybdenum in Fig. 3. Copper and zinc are typically primary products whereas cobalt and molybdenum are typically co/by-products. These data indicate steady to dramatic (cobalt) increases in production for all four metals matched by modest continuous increases in reserves, yielding reserve to production ratios that show almost no overall change over the period in spite of considerable short term variations. None of these metrics correlate closely with price (normalised to 1998) despite moderate to large price variations. Some short term changes in the reserve to production ratio appear to correlate with price changes, particularly for copper and zinc, possibly reflecting decreasing exploration and reserve delineation during low price periods. However these correlations are short lived, meaning that overall these data combined with the data presented in the Supplementary Information suggest that metal price does not influence medium-term to long-term metal production for at least the majority of metals that are currently being produced. The lack of a price influence on production is important as this indicates that any apparent reserve or resource depletion cannot simply be attributed to a decrease in price and a reversion of reserves to resources as a result of a lowering in confidence. This in turn indicates that any change in reserve data (barring any profound and long term change in pricing) is likely to reflect changes in the known amount of economically extractable material.
The data presented herein show that the mining industry is meeting growing demand for metals with increasing production matched by increasing reserves more or less at the same rate over the long timescales considered here (i.e., ~50 years). There are minor rapid variations in reserve to production ratios (Figs. 2 and 3), but there is no evidence to suggest that any of the metals are approaching peak supply or reserve depletion despite factors such as declining ore grades (and resulting increased energy costs for extraction9). The influence of declining ore grades on the future of the minerals industry remains unclear despite present-day mining requiring more energy per given unit of metal production than mining in the past. This increased energy demand may well be offset by an increase in the uptake of renewable energy, where larger energy costs may not result in increased amounts of greenhouse gas production. Even those metals exhibiting decreases or erratic short term changes in reserve to production ratios have returned to relative stability at a new value (e.g., phosphate, Fig. 2a; nickel, Fig. 2c). Rapid variations in reserve to production ratios (e.g., chromium, Fig. 2a; PGE, Fig. 2b) can be explained by revisions of reserve data or by improved data quality, or lack of complete data (e.g., chromium data for 2008 was restricted to four jurisdictions27). Furthermore, metals such as molybdenum, which underwent a large price drop from 2008–2015, have not undergone matching changes in production (which increased by 119% over the same period) or their reserve to production ratios (Fig. 3d).
Our assessment of reserve to production ratios suggests a gradual conversion of resources to reserves over time. In spite of increasing overall demand and hence production, there is little economic incentive for individual long life mines to extend reserves beyond about 20 years of production. This reflects the low present-day value of investments (i.e., drilling and reserve delineation) that will only provide returns after 20 or more years. Mining companies are also reluctant to book reserves well in advance of production given the risk of taking an asset write-down in the event of significant drop in metal prices.
Discussion
The economic potential of mineralised rocks is assessed on technical and economic bases through drilling, chemical and physical analysis and the resulting definition of resources and reserves. ESG factors, however, may impact production and have become an increasing source of resource conflict35. Appropriate evaluation of these factors includes a wide range of environmental and other sciences, in part mandated by regulatory processes, legal permit and other applications, and engagement with local communities and broader stakeholders using social science principals to understand needs and concerns. The mining industry has embraced increasing efforts and standards to address ESG factors, such as the policies of the International Council on Mining and Metals or requirements from the World Bank or other financiers and investors, but ultimately these still pose risks to eventual production.
A recent evaluation of 12 risks related to 308 undeveloped copper projects36 noted that 96% of the potential future supply from these projects involve risks predominantly classified as ESG. As such, a simple increase of copper price that might improve the economics of these deposits, and therefore possible conversion of resources to reserves, may not be sufficient to overcome these challenges. An expansion of this to iron, bauxite and copper projects with established resources and reserves suggested that 47% of the iron projects, 88% of the bauxite projects and 63% of the copper projects considered by this study face four or more medium to high ESG risks that may limit or prohibit production and future supply37. Similar conclusions have also been reached for the PGE14, with these risks exacerbated by the concentration of PGE production in a few jurisdictions, most of which exhibit significant ESG concerns (e.g., South Africa, Zimbabwe and Russia). This previous research argues that the classification of PGE as critical, given supply constraints, is clearly justified14, as has been also suggested by others38. These studies indicate that although resources and reserves may be defined using geological and other technical criteria, increased ESG risks may negate the reserve-based economic value for some of these projects, hence potentially restricting supply at least in the short to mid-term.
Consideration of ESG risks suggests that while resource figures are relatively robust, the use of reserves to indicate that projects are mineable may be misleading. As an alternative to the global assessment of projects with ESG risks, it is informative to look at specific projects that have faced a variety of ESG challenges (see the Supplementary Information for more details). The majority of these projects have gone through an extended process of delineation, economic analysis, jurisdictional or governance review, environmental assessment, and community and public engagement. Several were delayed, their status and ownership changed, and to some degree, all have an uncertain future. Some of these projects (e.g., Pebble, Resolution) have never reported reserves, while others reported reserves presumably in the belief that the contained metal could be recovered economically. In several cases reported reserves have been reduced or converted back to resources (i.e., reduced confidence in development following delays, cancellation of permits, or entrenched opposition; see the Supplementary Information for more details). In at least one case (Quellaveco), reserves were maintained for an extended period in spite of ESG challenges, but these challenges have finally been resolved and development is in progress. These examples confirm the ESG risks involved in individual projects implied by the studies mentioned above36,37. Furthermore, the history of these projects illustrates that there is no uniform or codified method to define reserves that includes a realistic assessment of ESG risks.
The principal reasons for the definition of resources and reserves for a potential mining project is to assess economic viability and the investment needed to build a mine. The investment decision may be internal to a mining company, or may involve institutional or other entities. In some cases, the project may be acquired by another company who wishes to develop the project. Investment or acquisition decisions require extensive due diligence to examine the technical and economic merits of the project, and increasingly to determine the level of ESG risks and their potential impact. The economic importance of ESG risks is therefore recognised by the financial community (for e.g.35) in spite of the fact that the regulatory process for reserve definition does not quantify ESG risks and the probability these risks may impede production. Improved transparent reporting of probabilities related to resource and reserve definition based on technical, economic and ESG factors may therefore be a desirable improvement to current reporting mechanisms.
Resources and reserves provide an initial estimate of the availability of the metals and minerals needed by society in the short to mid-term. ESG factors pose an additional level of risk above the typically considered economic, technical and legal considerations inherent in these estimates, particularly for some of the minor metals with limited production and concentration in a few mines or jurisdictions. Current metal resources can sustain production over several decades for most metals and, along with the potential increases through expansion and new discoveries, the ultimate availability of many metals and minerals appears to be assured for the foreseeable future. However, translating this availability into supply may result in a number of challenges38,39. Increasing the emphasis on ESG risks as well as developing responsible and innovative ways to mitigate these risks is clearly important to ensure secure supplies of metals into the future. This increased consideration of ESG risks is doubly important to ensure future metal supply can meet increasing demand for a range of commodities. Without this, it may not be possible to produce the metals and minerals that are required for addressing a number of challenges. These challenges include those surrounding climate change40 as well as maintaining basic standards of living and other demands as outlined by the UN Sustainable Development Goals. This study strongly suggests that current known reserves and resources are likely to satisfy anticipated future demand as has been the case for the last ~65 years, indicating that the mining industry has successfully met the challenges of the largest increase in demand for metals that humanity has ever experienced. The lack of a significant drop in the ratio of reserves to production over time suggests that known reserves are being “renewed” coincident with production by the delineation of new areas for exploitation as mining progresses. There is no evidence to suggest that these production/reserve balances will change in the short to mid-term since they reflect the way reserve and resource estimation operates within the mining industry. However, improved predictions of both future metal demand and our ability to meet these increased demands will be required to ensure long term viability and a secure supply of metal long into the future. Improved predictions of this type requires better assessment of global metal and mineral reserves and resources, as well as clear use of these terms to avoid confusion and unnecessarily pessimistic predictions. There are also key knowledge gaps, including a significant number of metals and minerals that have very uncertain or unknown global resources and reserves, hindering estimates of future supply. Transparent reporting of probabilities is needed to improve resource and reserve classification, and increased reporting of minor metal contents is necessary given that these go largely unreported even when produced as by-products. Overall, the minerals industry has demonstrated that it can “renew” inherently non-renewable mineral and metal reserves. This lack of a decrease in reserves for the vast majority of metals over time relative to production indicates that reserve data are not a useful guide to long-term metal and mineral production.
Data availability
Reserve and production data are taken from the USGS Mineral Commodity Summaries (https://www.usgs.gov/centres/nmic/mineral-commodity-summaries) along with additional data from USGS historic compilations (https://www.usgs.gov/centres/nmic/historical-global-statistics-mineral-and-material-commodities) and data from the former US Bureau of Mines (archived documents available at the National Technical Information Service, https://ntrl.ntis.gov/NTRL/dashboard/searchResults.xhtml). Older data were taken from the USGS Minerals Yearbook publications, with archived data available here: https://uwdc.library.wisc.edu/collections/econatres/mineralsyearbk/. Additional data were previously published by the USGS and are available directly from https://www.usgs.gov/centres/nmic (details of the various sources are outlined in the references and in the Supplementary Information).
References
National Research Council. Minerals, Critical Minerals, and the US Economy (National Academies Press, Washington D.C., 2008).
Graedel, T. E., Harper, E. M., Nassar, N. T., Nuss, P. & Reck, B. K. Criticality of metals and metalloids. Proc. Natl Acad. Sci. 112, 4257–4262 (2015).
Von Quadt, A. et al. Zircon crystallization and the lifetimes of ore-forming magmatic-hydrothermal systems. Geology 39, 731–734 (2011).
Mercer, C. N., Reed, M. H. & Mercer, C. M. Time scales of porphyry Cu deposit formation: Insights from titanium diffusion in quartz. Econ. Geol. 110, 587–602 (2015).
Gordon, R. B., Bertram, M. & Graedel, T. E. Metal stocks and sustainability. Proc. Natl Acad. Sci. 103, 1209–1214 (2006).
Cohen, D. Earth audit. New Sci. 2605, 34–41 (2007).
Moyer, M. How much is left? Sci. Am. 303, 74–81 (2010).
Kerr, R. A. The coming copper peak. Science 343, 722–724 (2014).
Northey, S., Mohr, S., Mudd, G. M., Weng, Z. & Giurco, D. Modelling future copper ore grade decline based on a detailed assessment of copper resources and mining. Resour. Conserv. Recycl. 83, 190–201 (2014).
Ragnarsdottir, K. V. & Sverdrup, H. U. Limits to growth revisited: Geoscientist 25, 10–15 (2015).
Sverdrup, H. U., Ragnarsdottir, K. V. & Koca, D. On modelling the global copper mining rates, market supply, copper price and the end of copper reserves. Resour. Conserv. Recycl. 87, 158–174 (2014).
Sverdrup, H. U., Olafsdottir, A. H. & Ragnarsdottir, K. V. On the long-term sustainability of copper, zinc and lead supply, using a system dynamics model. Resour. Conserv. Recycl. X 4, 100007 (2019).
Mudd, G. M. & Jowitt, S. M. 2018. Growing global copper resources, reserves and production: Discovery is not the only control on supply. Econ. Geol. 113, 1235–1267 (2018).
Mudd, G. M., Jowitt, S. M. & Werner, T. T. Global platinum group element resources, reserves and mining—a critical assessment. Sci. Total Environ. 622, 614–625 (2018).
Hubbert, M. K. Drilling and Production Practice 1–44(American Petroleum Institute, New York, 1956).
Bentley, R. W. Global oil & gas depletion: an overview. Energy Policy 30, 189–205 (2002).
Feng, L., Li, J. & Pang, X. China’s oil reserve forecast and analysis based on peak oil models. Energy Policy 36, 4149–4153 (2008).
Sorrell, S., Speirs, J., Bentley, R., Brandt, A. & Miller, R. Global oil depletion: a review of the evidence. Energy Policy 38, 5290–5295 (2010).
Tilton, J. E. Exhaustible resources and sustainable development: two different paradigms. Resour. Policy 22, 91–97 (1996).
Jowitt, S. M., Mudd, G. M. & Weng, Z. Hidden mineral deposits in Cu-dominated porphyry-skarn systems: how resource reporting can occlude important mineralization types within mining camps. Econ. Geol. 108, 1185–1193 (2013).
Meinert, L. D., Robinson, G. R., & Nassar, N. T. Mineral resources: reserves, peak production and the future. Resources https://doi.org/10.3390/resources5010014 (2016).
Meadows, D. H., Meadows, D. L., Randers, J. & Behrens, W. The Limits to Growth (Universe Books, New York, 1972).
Arndt, N. T. & Ganino, C. Metals and Society: An Introduction to Economic Geology (Springer, Berlin, 2012).
Prior, T., Giurco, D., Mudd, G. M. & Mason, L. Resource depletion, peak minerals and the implications for sustainable resource management. Global Environ. Change 22, 577–587 (2012).
Rustad, J. R. Peak nothing: recent trends in mineral resource production. Environ. Sci. Technol. 46, 1903–1906 (2012).
Arndt, N. T. et al. Future global mineral resources. Geochem. Perspect 6, 1–171 (2017).
USGS Mineral Commodity Summaries 1996–2019: https://www.usgs.gov/centers/nmic/mineral-commodity-summaries (2019).
USBoM 1957-1977: Commodity Data Summaries 1957 to 1977 (U.S. Bureau of Mines, Washington).
USBoM 1987-1995. Mineral Commodity Summaries 1978 to 1995 (U.S. Bureau of Mines, Washington).
CRIRSCO 2012. CRIRSCO Standard Definitions, http://www.crirsco.com/news_items/CRIRSCO_standard_definitions_oct2012.pdf (2012).
Mudd, G. M., Weng, Z. & Jowitt, S. M. A detailed assessment of global Cu resource trends and endowments. Econ. Geol. 108, 1163–1183 (2013).
Mudd, G. M. & Jowitt, S. M. A detailed assessment of global nickel resource trends and endowments. Econ. Geol. 109, 1813–1841 (2014).
Weng, Z., Jowitt, S. M., Mudd, G. M. & Haque, N. A detailed assessment of global rare earth element resources: opportunities and challenges. Econ. Geol. 110, 1925–1952 (2015).
Werner, T. T., Mudd, G. M. & Jowitt, S. M. The world’s by-product and critical metal resources part III: a global assessment of indium. Ore Geol. Rev. 86, 939–956 (2017).
Franks, D. M. et al. Conflict translates environmental and social risk into business costs. Proc. Natl Acad. Sci. 111, 7576–7581 (2014).
Valenta, R. K., Kemp, D., Owen, J. R., Corder, G. D. & Lèbre, É. Re-thinking complex orebodies: consequences for the future world supply of copper. J. Clean. Prod. 220, 816–826 (2019).
Lèbre, É. et al. Source risks as constraints to future metal supply. Environ. Sci. Technol. 53, 10571–10579 (2019).
Northey, S. A. et al. The exposure of global base metal resources to water criticality, scarcity and climate change. Global Environ. Change 44, 109–124 (2017).
Jowitt, S. M. et al. In Metals, Minerals, and Society Vol. 21 (eds. Arribas, A. M. & Mauk, J. L.) 25–38 (Society of Economic Geologists Special Publication, 2018).
Arrobas, D. L. P., Hund, K. L., McCormick, M. S., Jagabanta, N. & Drexhage, J. R. The Growing Role of Minerals and Metals for a Low Carbon Future (World Bank Group, Washington D.C., 2017).
Acknowledgements
A number of researchers and organisations have been working diligently to quantify the availability of metals and minerals with added urgency following increased demand related to climate change and the energy transition. Similarly, jurisdictional and ESG issues have been shown to represent major risks for critical minerals and metals. This research was inspired by these important efforts. We also acknowledge Dr. Nedal Nassar at the USGS for the provision of digital access to historical USGS and USBoM publications that were used for this research. Open access publication fees for this article were partially supported by the UNLV University Libraries Open Article Fund.
Author information
Authors and Affiliations
Contributions
S.M.J. conceived of the original idea for the paper after discussions with both of the other authors, G.M.M. and S.M.J. compiled data and produced figures, and J.F.H.T. contributed discussion relating to ESG concepts. All three authors contributed to data interpretation and the writing of the manuscript.
Corresponding author
Ethics declarations
Competing interests
The authors declare no competing interests.
Additional information
Publisher’s note Springer Nature remains neutral with regard to jurisdictional claims in published maps and institutional affiliations.
Supplementary information
Rights and permissions
Open Access This article is licensed under a Creative Commons Attribution 4.0 International License, which permits use, sharing, adaptation, distribution and reproduction in any medium or format, as long as you give appropriate credit to the original author(s) and the source, provide a link to the Creative Commons license, and indicate if changes were made. The images or other third party material in this article are included in the article’s Creative Commons license, unless indicated otherwise in a credit line to the material. If material is not included in the article’s Creative Commons license and your intended use is not permitted by statutory regulation or exceeds the permitted use, you will need to obtain permission directly from the copyright holder. To view a copy of this license, visit http://creativecommons.org/licenses/by/4.0/.
About this article
Cite this article
Jowitt, S.M., Mudd, G.M. & Thompson, J.F.H. Future availability of non-renewable metal resources and the influence of environmental, social, and governance conflicts on metal production. Commun Earth Environ 1, 13 (2020). https://doi.org/10.1038/s43247-020-0011-0
Received:
Accepted:
Published:
Version of record:
DOI: https://doi.org/10.1038/s43247-020-0011-0
This article is cited by
-
Actions for sustainably scalable multi-terawatt photovoltaics
Nature Reviews Clean Technology (2026)
-
Sustainable rare earth extraction from phytomining by rapid electrothermal calcination
Communications Materials (2026)
-
A combination of measures limits demand for critical materials in Sweden’s electric car transition
Communications Earth & Environment (2025)
-
A dataset on metal-related production activities and their socio-environmental impacts in Canada
Scientific Data (2025)
-
Sustainable Metallurgical Ecosystems: Key Enablers and Lessons Learned
Journal of Sustainable Metallurgy (2025)





