Abstract
Microalgae play an essential role in maintaining the balance of the marine ecosystem, but they are often more vulnerable to global change and environmental pollution. In this study, we assessed the effects of heat stress (HS) and polystyrene nanoplastics (NPs) with different surface modifications (PS, PS-NH2, and PS-COOH) on the growth of microalgae Skeletonema costatum (S. costatum). The results indicate that elevated temperature stimulated growth in S. costatum, but NPs impaired their thermal acclimatization. Transcriptome analysis showed that NPs significantly influence the transcriptome of S. costatum under HS in a surface group-dependent manner. The microalgae support growth under elevated temperature by increasing energy production. However, NPs altered these responses, particularly in the HS + (PS-NH2) group. The study provides new insights into how microalgae respond to dual stressors of elevated temperature and NPs, highlighting the need for further research on long-term stress effects to understand microalgal adaptation mechanisms under climate change scenarios.
Similar content being viewed by others
Introduction
Microplastics (MPs, particle size <5 mm) have emerged as a critical global environmental issue due to their potential toxicity to marine organisms. Nanoplastics (NPs, with a diameter <1 µm)1, with smaller particle size and larger specific surface area, exhibit enhanced bioavailability and greater toxicity than the MPs2. NPs have been shown to induce a spectrum of adverse effects, including increased mortality, reduced feeding3, induced oxidative stress4, and behavioral abnormalities5 in marine organisms across various trophic levels. Moreover, the presence of NPs has been observed to disrupt the structure and function of ecosystems6. However, NPs are not the sole stressor impacting marine ecosystems. According to the Intergovernmental Panel on Climate Change (IPCC) Sixth Assessment Report (AR6), the global sea surface temperatures are projected to rise by approximately 4 °C by 2100 under the high-emission scenario (SSP5-8.5, assumes continued fossil-fuel-intensive development and CO2 emissions exceeding 1200 ppm by 2100)7. In recent years, heat stress (HS) has been pointed to pose a global threat to marine ecosystems. Hence, the combined impacts of NPs and HS on marine ecosystems are inevitable and are anticipated to escalate in the forthcoming decades8. The synergistic stress of NPs and HS on microalgae holds significant environmental implications compared to a single stressor. Nonetheless, the effects of these dual stressors on marine microalgae remain largely unexplored.
Microalgae, as primary producers in marine ecosystems, are essential for maintaining ecological balance and the carbon cycle9,10. Studies have shown that micro- and nano- plastics can impact microalgae by affecting their growth, photosynthesis, nutrient acquisition, inducing oxidative damage, and disrupting cell walls. These impacts, in turn, influence physiological and molecular pathways11,12,13,14. The particle size of micro- and nano- plastics affects their toxicity to microalgae. Generally, smaller-sized micro- and nano- plastics exhibit greater toxicity. For example, Zhang et al.15 demostrated that small-sized polyvinylchloride microplastics were more toxic to Skeletonema costatum. Jin et al.16 found that the negative effects of the particle size of micro- and nano- plastics on microalgae were also dependent on the exposed concentrations. At an environmentally relevant concentration of microplastics, there was no difference between the effects of small and large microplastics on microalgae, and neither significantly affected microalgae growth17. Moreover, the toxicity of micro- and nano- plastics is also related to the polymer type. For instance, polystyrene was found to be more toxic than polymethyl methacrylate in studies on Gymnodinium aeruginosum and Skeletonema costatum18,19. Additionally, the toxicity of micro- and nano- plastics has been correlated with surface modifications. Positively charged amino-modified nanoplastics were found to exhibit more detrimental effects on microalgae due to their increased affinity for negatively charged microalgal cells19,20. Temperature is a significant factor affecting microalgal metabolism, comparable to the impact of nutrients and light21. Research has demonstrated that temperature changes can alter various physiological processes in microalgae, including cell size, elemental composition, pigment content, photosynthesis, enzyme activity, growth rate, carbon fixation, and nitrogen assimilation10,22,23. For instance, the growth of Coolia malayensis was enhanced as the temperature increased from 20 °C to 24 °C24, and the pigment contents of Alexandrium pacificum increased with temperature elevated from 21 °C to 25 °C25. Microalgae can adapt to environmental changes by modulating metabolic pathways within their cells26. While studies on the effects of single HS or MPs on microalgae are increasing, research on the combined effects of HS and MPs is limited, particularly the combined effects of HS and NPs10,23,27,28. Investigating the combined impacts of HS and NPs on microalgae is crucial for predicting the response of marine microalgae to these combined stressors and understanding the implications for future marine ecosystems.
Diatoms, a significant group of phytoplankton, contribute up to 40% of the ocean’s primary productivity and form the foundation of the marine food web29,30. Skeletonema costatum (S. costatum), a coastal diatom species, plays an essential role in maintaining marine ecosystem balance31. In this study, we examined the physiological and transcriptomic responses of S. costatum under the dual stressors of HS and NPs with various surface modifications (PS, PS-NH2, and PS-COOH), elucidating the molecular mechanisms by which S. costatum responds to these dual stressors. Physiological parameters, including growth, chlorophyll a (Chl-a), and antioxidant enzyme (SOD and CAT) activities, were measured to assess the physiological responses to HS and different surface-modified NPs. Transcriptome sequencing was also employed to investigate the molecular-level impacts of combined HS and different surface-modified NPs exposure on S. costatum.
Results
Growth response of S. costatum under heat stress and nanoplastics
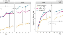
The growth of S. costatum under heat stress and nanoplastics with different surface modifications is depicted in Fig. 1a. The cell counts in the HS group (26 °C) were significantly higher than that in the control group (22 °C) at 24, 48, 72, and 96 h (p < 0.05), which indicated that elevated temperature significantly stimulated the growth of S. costatum. As the exposure period progressed, the growth promotion by elevated temperature increased, reaching a maximum of 29.57% at 96 h (Fig. 1b), reflecting the microalgae’s adaptation to heat stress. After 24 h of exposure, the cell counts in the HS + (PS-NH2) and HS + (PS-COOH) treatment groups were significantly higher than in the single PS-NH2 and PS-COOH groups, respectively (p < 0.05), but significantly lower than in the control group (22 °C) (p < 0.05). The cell counts after 48 h of exposure were significantly higher in the HS + PS, HS + (PS-NH2), and HS + (PS-COOH) groups compared to the PS, PS-NH2, and PS-COOH groups, respectively (p < 0.05). Furthermore, the cell counts in the HS + PS and HS + (PS-COOH) groups were higher than that of the control group after 48 h and 72 h, respectively, especially higher in HS + PS group after 96 h (p < 0.05). However, algae growth was inhibited after exposure to HS+NPs (-plain, -NH2, and -COOH) compared to HS alone, and nanoplastics with surface modifications can significantly inhibit the microalgae growth throughout the exposure period (p < 0.05).
As shown in Fig. 1b, the growth of microalgae was consistently inhibited by different surface-modified nanoplastics at ambient temperature (22 °C) (p < 0.05). PS-NH2 nanoplastics demonstrated the most pronounced inhibitory effect on microalgae, consistent with our previous study19. The growth inhibition by PS and PS-COOH nanoplastics decreased with increasing exposure time under HS condition. Moreover, the inhibition rate of PS-COOH was found to be higher than that of PS. At elevated temperature (26 °C), the PS and PS-COOH nanoplastics exposure groups exhibited growth promotion at 48 h and 72 h, respectively. PS-COOH nanoplastics demonstrated modest promotion of microalgae growth, reaching a maximum of 6.86% at 72 h, while PS nanoplastics exhibited pronounced promotion of microalgae growth, reaching a maximum of 20.38% at 96 h. In contrast, PS-NH2 nanoplastics consistently inhibited the growth of microalgae, with the greatest inhibition observed at 72 h, reaching a maximum of 25.67%.
Chlorophyll a content of S. costatum under heat stress and nanoplastics
Mirroring the growth trends of S. costatum (Fig. 1a), Chl-a content was significantly elevated in the HS group compared to the control group after 24 h of exposure (p < 0.05), peaking at 96 h with a 1.53-fold over the control group (Fig. 1d). This suggests that heat stress markedly enhanced the synthesis of Chl-a in microalgae. The Chl-a content in the HS + PS, HS + (PS-NH2), and HS + (PS-COOH) groups was significantly higher than in the PS, PS-NH2, and PS-COOH groups, respectively, and also higher than the control group after 48 h of exposure (p < 0.05) (Fig. 1d). This indicates that nanoplastics with different surface modifications significantly promoted the synthesis of Chl-a in microalgae under heat stress. However, exposure to HS+NPs (-plain, -NH2, -COOH) significantly reduced the microalgae Chl-a content compared to HS alone at 24 h (p < 0.05) (Fig. 1d), suggesting that different surface-modified nanoplastics negatively affect Chl-a synthesis in microalgae under heat stress during the early exposure period. This negative effect diminished over time, with the inhibitory impacts of different surface-modified nanoplastics on Chl-a synthesis gradually decreasing as exposure time increased.
It is noteworthy that the Chl-a content of microalgae exposed to PS-NH2 nanoplastics and the other two nanoplastics (PS and PS-COOH) under ambient temperature showed significant differences at 72 h and 96 h (p < 0.05). In contrast, the Chl-a content of microalgae exposed to different surface-modified nanoplastics did not exhibit significant differences under heat stress (Fig. 1d).
Oxidative stress and morphological changes of S. costatum under heat stress and nanoplastics
To assess the oxidative stress in S. costatum under heat stress and nanoplastics, we measured MDA content and the enzymatic activities of SOD and CAT after 96 h of exposures (Fig. 2a–c). The MDA was higher in the HS group than in the control group (Fig. 2a). Moreover, the MDA was significantly higher in nanoplastics exposure groups (p < 0.05) compared to the control group, regardless of temperature variation (Fig. 2a), suggesting that nanoplastics with different surface modifications induced oxidative damage in microalgae at varying temperatures. The HS + PS group did not differ significantly from the PS group in MDA levels. However, the HS + (PS-NH2) group had significantly lower MDA than the PS-NH2 group (p < 0.05), while the HS + (PS-COOH) group exhibited significantly higher MDA than the PS-COOH group (p < 0.05) (Fig. 2a). This indicates that the impacts of heat stress on oxidative damage induced by nanoplastics in microalgae were surface group-dependent. The MDA of the HS+NPs (-plain, -NH2, -COOH) groups was elevated compared to the HS group, particularly in the HS + (PS-NH2) and HS + (PS-COOH) groups (p < 0.05) (Fig. 2a). The oxidative damage induced by surface-modified nanoplastics was more pronounced under heat stress, with the PS-NH2 group showing the highest level of damage, showing a 1.40-fold higher than that of the HS group (Fig. 2a).
The SOD activities of the nanoplastics exposure groups (PS, PS-NH2, PS-COOH) were significantly higher than the control group under heat stress (p < 0.05) (Fig. 2b). The SOD activity was markedly elevated in the HS + (PS-NH2) and HS + (PS-COOH) groups compared to the HS group, with the PS-NH2 group showing the highest SOD activity, 1.72-fold greater than that of the HS group (p < 0.05). Moreover, the SOD activity was markedly elevated in the HS + (PS-NH2) and HS + (PS-COOH) groups compared to the PS-NH2 and PS-COOH groups, respectively (p < 0.05). The CAT activity in the HS + (PS-COOH) group was significantly higher than that observed in the control and HS groups, as well as significantly higher than that observed in the PS-COOH group (p < 0.05) (Fig. 2c). No significant differences were identified in any of the remaining groups (p > 0.05). The results demonstrate that simultaneous exposure of microalgae to heat stress and nanoplastics led to an enhancement in the antioxidant enzyme activities of the microalgae, particularly SOD activity. Surface-modified nanoplastics resulted in a notable elevation in enzyme activities of microalgae, indicating that microalgae responded to oxidative stress induced by surface-modified nanoplastics under heat stress by enhancing SOD activity.
The morphological observations of S. costatum exposed to control, HS, and HS + (PS-NH2) nanoplastics are presented in Fig. 2d. S. costatum in the control and HS groups exhibited smooth and rounded surfaces. In contrast, S. costatum in the HS + (PS-NH2) group displayed substantial accumulation of nanoplastics on the cell surface (Fig. 2d, red arrows), accompanied by notable deformation of the algae cells. This suggests that heat stress did not inflict significantly morphological damage to S. costatum. However, combined exposures with heat stress and PS-NH2 nanoplastics resulted in deformation of S. costatum, which aligns with the observed changes in MDA levels (Fig. 2a).
Illumina sequencing, de novo assembly, and annotation analysis
To decipher the molecular responses of S. costatum under heat stress and nanoplastics exposures, we conducted transcriptome analyses at the exposure endpoints. The transcriptome sequencing data are presented in the supplementary materials (Supplementary Table 1). The quality and reliability of the sequencing data were evaluated using Q20, Q30, and error rate metrics. All samples exhibited high sequencing quality, with Q20 and Q30 values ranging from 98.51% to 98.69% and from 95.11% to 95.70%, respectively. Additionally, the error rates were minimal, from 0.0122% to 0.0125%, indicating that the data are suitable for further analysis. The results of de novo assembly of high-quality sequencing data and the mapping of sequencing data to the de novo assembly are provided in the supplementary materials (Supplementary Tables 2 and 3), with over 89% of clean reads for each sample aligned to the Trinity-assembled reference sequences. Furthermore, the results of the de novo assembled unigenes annotations and the distributions of species, E-value, and similarity of S. costatum transcripts identified with the NR database are provided in the supplementary materials (Supplementary Figs. 1 and 2).
Transcriptomic response of S. costatum under heat stress and nanoplastics
The principal component analyses (PCA) results demonstrated that both HS and HS+NPs significantly impacted the transcriptome of S. costatum (Fig. 3a). A total of 2426, 1541, 650, and 1695 DEGs were identified in the comparisons of HS vs. Control, HS + PS vs. Control, HS + (PS-NH2) vs. Control, and HS + (PS-COOH) vs. Control, respectively (Fig. 3b and Supplementary Fig. 3). However, HS + PS vs. Control, HS + (PS-NH2) vs. Control, and HS + (PS-COOH) vs. Control shared only 32.4%, 9.6%, and 24.2% DEGs with HS vs. Control, respectively. This finding indicates that nanoplastics with different surface modifications exert a substantial influence on the impact of heat stress on the microalgae transcriptome, with PS-NH2 nanoplastics exhibiting the most pronounced effect. HS + PS vs. HS, HS + (PS-NH2) vs. HS, and HS + (PS-COOH) vs. HS shared 773 DEGs (Fig. 3c). However, the expression of these genes exhibited variability across the different surface-modified nanoplastics groups under heat stress (Fig. 3d). Hierarchical clustering showed that HS + PS and HS + (PS-COOH) had more similar transcriptome responses, suggesting that the effects of nanoplastics on microalgae transcripts under heat stress were surface group-dependent. When these common shared DEGs were analyzed by KEGG enrichment analysis, pyruvate metabolism was the most highly enriched pathway (Supplementary Fig. 4). The ppdK and AKR1A1 genes, which are annotated to function in the pyruvate metabolism pathway, exhibited significantly increased expression following the application of heat stress compared to the control group (p < 0.01) (Fig. 3e). However, the combination of heat stress and nanoplastics treatment resulted in a significant reduction in the expression of the ppdK and AKR1A1 genes, when compared to the effects of heat stress alone (p < 0.01) (Fig. 3e).
a PCA analysis. b Venn analysis. c Venn analysis. d Heatmap of differentially expressed genes clustering. e Expression of genes associated with pyruvate metabolism. f Expression of genes associated with heat shock proteins. g Schematic representation of the adverse effects. “*” indicates p < 0.05, “**” indicates p < 0.01, “***” indicates p < 0.001.
The expression of genes HSP20, dnaJ, and DNAJC25 encoding heat shock proteins (HSPs) was up-regulated under heat stress, with HSP20 and DNAJC25 exhibiting significantly up-regulated expressions (p < 0.01). However, exposure to HS+NPs (-plain, -NH2, -COOH) resulted in a notable reduction in the expression of these three genes compared to heat stress alone (p < 0.05), and surface-modified nanoplastics had lower expression compared to nanoplastics without modification under heat stress (Fig. 3f).
Transcriptomic regulation of porphyrin metabolism in S. costatum
KEGG enrichment analysis revealed significant enrichment of porphyrin metabolism in both HS and HS+NPs groups (Fig. 4a–d). Eight genes in porphyrin metabolism related to chlorophyll a synthesis were down-regulated in both the HS and HS+NPs groups (Fig. 4e–f). Notably, the gene chlH, encoding magnesium chelatase, a key enzyme in chlorophyll synthesis that catalyzes the chelation of protoporphyrin IX with magnesium ion (Mg2+) to form magnesium protoporphyrin IX32, was significantly down-regulated in HS and HS+NPs groups (p < 0.05) (Fig. 4f). Additionally, the genes hemL, hemE, por, and chlG, which code for glutamate-1-semialdehyde aminotransferase, uroporphyrinogen decarboxylase, protochlorophyllide reductase, and chlorophyll synthase, respectively, were also significantly down-regulated in the HS, HS + PS, and HS + (PS-COOH) groups (p < 0.05) (Fig. 4f). Furthermore, the closest expression of these eight genes to the HS group was the HS + PS group, followed by the HS + (PS-COOH) group, whereas the expression of these eight genes was largely up-regulated in the HS + (PS-NH2) group with respect to the HS group (Fig. 4e), suggesting that the effects of nanoplastics with different modifications on the expression of genes related to the synthesis of chlorophyll a in microalgae varied under heat stress, with PS-NH2 nanoplastics having the greatest effect.
Molecular mechanisms of S. costatum response to heat stress and nanoplastics
Microalgae exhibited a marked up-regulation of pyruvate metabolism, the TCA cycle, and nitrogen metabolism under heat stress (Fig. 5 and Supplementary Table 8). The PC, PEPCK, ppdK, and ppsA genes involved in pyruvate metabolism were significantly up-regulated under heat stress (p <0.05) (Fig. 5 and Supplementary Table 8). In the TCA cycle, the IDH1 gene, which encodes isocitrate dehydrogenase, was also significantly up-regulated under heat stress (p <0.05) (Fig. 5 and Supplementary Table 8). Moreover, in the nitrogen metabolism, the gene NRT2, which codes the nitrate/nitrite transporter, and NR and nirB, which are key enzymes of nitrogen assimilation coding nitrate reductase and nitrite reductase, respectively, were significantly up-regulated under heat stress (p <0.05) (Fig. 5 and Supplementary Table 8). The gene CPS1 coding carbamoyl-phosphate synthase and gene gabD coding succinate-semialdehyde dehydrogenase exhibited opposing patterns of regulation, with a down-regulation of CPS1 and an up-regulation of gabD (p <0.05) (Fig. 5 and Supplementary Table 8).
Microalgae exhibited distinct responses to different surface-modified nanoplastics under heat stress. In particular, pyruvate metabolism, nitrogen metabolism, and fatty acid degradation were up-regulated in the HS + PS group; nitrogen metabolism and fatty acid degradation were up-regulated in the HS + (PS-NH2) group; pyruvate metabolism and fatty acid degradation were up-regulated in the HS + (PS-COOH) group (Fig. 5). Notably, all the surface-modified nanoplastics resulted in the up-regulation of the fatty acid degradation pathway in microalgae under heat stress (Fig. 5 and Supplementary Tables 9–11). The genes encoding the key enzymes involved in fatty acid degradation, HADHA, HADH, HADHB and ACAT, were found to be significantly up-regulated. Specifically, the gene HADHB was significantly up-regulated in the HS + PS group (p <0.05) (Fig. 5 and Supplementary Table 9), the genes HADHA, HADH, and HADHB were significantly up-regulated in the HS + (PS-NH2) group (Fig. 5 and Supplementary Table 10), and the genes HADHA, HADHB, and ACAT were significantly up-regulated in the HS + (PS-COOH) group (p <0.05) (Fig. 5 and Supplementary Table 11). In contrast to the other two groups, pyruvate metabolism and TCA cycle were not up-regulated in the HS + (PS-NH2) group (Fig. 5).
Discussion
Elevated temperature significantly stimulated the growth of S. costatum. which is consistent with the results reported by Zeng et al. 10. This may be attributed to the fact that elevated temperatures reduce microalgal cell size, leading to a larger specific surface area and a thinner diffusion boundary layer, which facilitates more efficient nutrient uptake and utilization, thus promoting cell growth10,33. Heat stress can significantly mitigate the growth inhibitory effects of PS-NH2 and PS-COOH nanoplastics on microalgae in the early stages of exposure. Consistent results were also found by Zhang et al. 28 on the combined effects of elevated temperatures and PS microplastics on microalgae Prorocentrum donghaiense. Moreover, elevated temperature can promote the growth of microalgae under exposure to nanoplastics with different surface modifications, aligning with Yang et al. 34 and Sun et al. 23. However, in this study nanoplastics with different surface modifications exert a detrimental impact on the thermal acclimatization of S. costatum, with nanoplastics bearing surface modifications exhibiting a more pronounced effect. Zeng et al. 10 also illustrated that microplastics had a negative effect on the thermal acclimatization of microalgae Synechococcus sp. Our finding showed that the toxicity of nanoplastics with different surface modifications to microalgae varied under heat stress. PS-NH2 retained its status as the most toxic nanoplastics, while PS exhibited the lowest toxicity. Heat stress did not alter the toxicity strength of the three surface-modified nanoplastics towards microalgae. The impact of nanoplastics on microalgae growth under heat stress remained surface group-dependent.
As with the growth of S. costatum, heat stress significantly increased Chl-a synthesis in microalgae. This is potentially because that temperature significantly affects the metabolism and resource allocation of eukaryotic phytoplankton, allocating more resources to photosynthesis at higher temperatures21. The results on the differences of Chl-a content of S. costatum under ambient temperature and heat stress by nanoplastics with different surface modifications showed that temperature played a crucial role in the effect of different surface-modified nanoplastics on Chl-a content of microalgae. In contrast to the growth of S. costatum, the impact of nanoplastics on Chl-a content was not surface group-dependent under heat stress.
Reactive oxygen species (ROS) are continuously produced and accumulated in microalgae when exposed to environmental stress, leading to oxidative damage13,35. MDA serves as an indicator of cellular oxidative stress36. Heat stress increased the MDA of microalgae (Fig. 2a), as higher temperatures enhanced photosynthesis and respiration in microalgae, producing more ROS and leading to higher MDA23,37,38. Under HS condition, different surface modified nanoplastics had different effects on the oxidative damage of microalgae, with PS-NH2 nanoplastics having the greatest effect, which was consistent with the physical damage to S. costatum observed in the scanning electron microscope in the HS + (PS-NH2) treatment group (Fig. 2d). The surface group dependence of nanoplastics in inducing oxidative damage in microalgae persists under heat stress. Microalgae can activate their antioxidant system in response to oxidative stress39. SOD and CAT are key antioxidant enzymes that play a crucial role in response to oxidative stress40,41. Measurements of the SOD and CAT showed that S. costatum can respond to oxidative stress caused by heat stress and different surface modified nanoplastics by activating SOD and CAT, particularly SOD activity. The previous studies also demonstrated that exposure to microplastics activated the activities of SOD and CAT enzymes in microalgae13,18. This is a defense mechanism of microalgae against external environmental stress42.
Transcriptome analyses results showed that heat stress can significantly upregulate the pyruvate metabolism pathway. However, nanoplastics with different surface modifications exert an inhibitory effect on the up-regulation of the pyruvate metabolism pathway in microalgae by heat stress, thereby inhibiting energy metabolism (Fig. 3g). Energy metabolism is intimately associated with the growth of microalgae. Consequently, the inhibition of microalgae energy metabolism under heat stress and nanoplastics co-exposures represents a key factor contributing to the diminished promotion of microalgae growth observed under heat stress and nanoplastics co-exposures, compared to that observed under heat stress alone (Fig. 1a).
Heat shock proteins (HSPs) are capable of responding to heat stress and are responsible for protecting organisms under such conditions43,44,45. In this study, S. costatum exhibited thermos protective ability under heat stress. Nevertheless, exposure to different surface-modified nanoplastics weakened or even destroyed the thermos protective ability of S. costatum under heat stress, and nanoplastics with surface-modified had stronger destructive ability (Fig. 3g). Previous studies have shown similar results, such as down-regulation of genes coding HSPs due to microplastics exposure under heat stress observed in diatoms (Chaetoceros gracilis) and Cyanobacterium (Synechococcus sp.)10,27.
Porphyrin metabolism is intimately associated with photosynthesis46. KEGG enrichment analysis results revealed heat stress alone or in combination with nanoplastics exposure significantly influenced porphyrin metabolism in S. costatum, thereby affecting the synthesis of chlorophyll a13. The down-regulation of eight genes related to chlorophyll a synthesis in porphyrin metabolism in the HS and HS+NPs groups showed opposite results to the increase in chlorophyll a content in these treatment groups, indicating that S. costatum exhibit transcriptomic plasticity and do not induce excessive photosynthesis under heat stress alone or in combination with nanoplastics exposures (Fig. 4g). Moreover, the down-regulation of chlorophyll a synthesis-related genes is mitigated in response to growth inhibition of microalgae by PS-NH2 nanoplastics under heat stress (Fig. 1a and Fig. 4g).
Diatoms can optimize their growth through the carbon skeletons provided by the tricarboxylic acid cycle (TCA cycle) and the assimilation of nitrogen into proteins in nitrogen metabolism47. Pyruvate plays a crucial role as a metabolic intermediate in numerous pathways, providing essential substrates for energy production in microalgae48. TCA cycle is one of the canonical energy production pathways in organisms, linking respiration, amino acid biosynthesis, and nitrogen metabolism49. In this study, genes associated with pyruvate metabolism were significantly upregulated under heat stress, promoting pyruvate metabolism in S. costatum. Meanwhile, the up-regulation of IDH1 gene encoding isocitrate dehydrogenase promoted the oxidative decarboxylation of isocitrate to 2-oxoglutarate, strengthening the link between carbon and nitrogen metabolism in diatoms23,48. The up-regulation of pyruvate metabolism and TCA cycle enhanced the energy production capacity of microalgae under heat stress. Nitrogen uptake, transport, and metabolism are fundamental biological processes in organisms, including phytoplankton, and are closely related to the biosynthesis of nitrogenous organic compounds such as pigments and proteins50,51. The results of the expression analysis of genes related to nitrogen metabolism showed that the microalgae exhibit enhanced nitrogen assimilation under heat stress, with a concomitant strengthening of the link to carbon metabolism. Therefore, microalgae through enhancing energy production to facilitate growth under heat stress.
Microalgae respond to nanoplastics with different surface modifications under heat stress by up-regulating different pathways, including pyruvate metabolism, nitrogen metabolism, and fatty acid degradation. With the exception of the PS-NH2 nanoplastics group, the pyruvate metabolism pathway, which is closely related to energy production, was significantly up-regulated in both the PS and PS-COOH nanoplastics groups under heat stress. Therefore, one of the reasons for the weakest growth of S. costatum in PS-NH2 nanoplastics exposure under heat stress is that the pyruvate metabolism and the TCA cycle pathways were not up-regulated. A consistent response across all different surface-modified nanoplastics is the up-regulation of the fatty acid degradation pathway, which is classified as lipid metabolism. It has been demonstrated in previous study that the regulation of lipid metabolism represents a common adaptive strategy employed by phytoplankton in response to environmental stressors52. Therefore, the up-regulation of fatty acid degradation is a strategy employed by S. costatum to cope with nanoplastics under heat stress. Our study offers new insights into the response mechanisms of microalgae under the dual stressors of heat stress and nanoplastics with different surface modifications. However, only one species of microalgae was selected to be exposed to polystyrene nanoplastics in this study. It is also limited by the fact that only short-term stresses were applied to microalgae. Future studies should investigate the effects of different polymer types of nanoplastics and heat stress on various microalgae species to gain a better understanding of the environmental pollution and climate changes on the phytoplankton at the base of marine ecosystem, as well as investigate the long-term stresses of warming and nanoplastics on microalgae to fully elucidate the adaptation or adjustment mechanisms of microalgae in response to nanoplastics under future climate change scenarios.
Methods
Characterization of nanoplastics
Polystyrene (PS) is one of the most abundant polymer types detected in the marine environment53,54. Its ubiquity has made it a standard material in ecotoxicological studies18. Therefore, PS nanoplastics were selected as the model plastic type in this study. PS nanoplastics with a diameter of 50 nm and varying surface modifications (PS, PS-NH2, and PS-COOH) were purchased from Biotyscience Co., Ltd., Beijing, China. These nanoplastics were suspended in deionized water at a concentration of 5% (w/v) and stored at 4 °C in a dark refrigerator. The morphology of the different surface-modified PS nanoplastics was examined using Scanning Electron Microscopy (SEM, ZEISS Sigma 500, Germany) (Supplementary Figs. 5a–c). Fourier Transform Infrared Spectroscopy (FTIR, Nicolet iS50, Thermo Fisher Scientific Inc., USA) was utilized to analyze the chemical composition of PS-NPs (Supplementary Fig. 5d). The zeta potential and hydrodynamic diameter of the nanoplastics in both pure water and seawater were measured using Dynamic Light Scattering (DLS, Zetasizer Nano ZS90, Malvern Panalytical Ltd., UK) (Supplementary Figs. 6 and 7).
Microalgae culture
S. costatum was obtained from Guangyu Biological Technology Co., Ltd., Shanghai, China. Glassware was acid-washed with 10% hydrochloric acid (HCl) for 24 h, rinsed with ultrapure water, and sterilized in an autoclave (GI54, ZEALWAY) before use. An f/2 culture medium was prepared with sterilized artificial seawater for culturing S. costatum (Supplementary Tables 12 and 13). The microalgae were cultured at 22 ± 1 °C under white neon light conditions (4000 lx light intensity) with a light/dark cycle (12 h/12 h) in a light incubator. The Erlenmeyer flasks containing microalgae were gently shaken twice a day to reduce aggregates of microalgae and nanoplastics. Cell density was determined using a hemocytometer under a microscope at 400x magnification (Olympus CX21, Japan).
Experimental design
The surface-modified (-plain, -NH2, and -COOH) PS nanoplastics were ultrasonicated for 15 minutes and dispersed in ultrapure water to prepare a stock solution of 2500 mg/L, which was stored at 4 °C. Exposure concentrations of 50 mg/L (7.42× 1014 particles/L) were selected for the different surface-modified nanoplastics, based on previous studies15,19,55 and environmental concentrations reported31. The ambient temperature of 22 °C was selected based on the previous studies56,57,58. The warming scenario of a 4 °C increase in sea surface temperature by 2100 under the high-emission scenario (SSP5-8.5) was considered7. The exposure experiments were conducted at two temperatures: 22 °C (ambient temperature) and 26 °C (heat stress). The experimental treatments included control (22 °C), HS (26 °C), PS (22 °C), PS-NH2 (22 °C), PS-COOH (22 °C), HS + PS, HS + (PS-NH2), and HS + (PS-COOH) (Supplementary Fig. 8). The exposure volume used for all sample groups is 100 mL of microalgae culture in 250 mL glass flasks. Each experiment was replicated three times, with an exposure duration of 96 h.
Measurement of microalgae growth
The cell density and chlorophyll a (Chl-a) content of S. costatum were measured after 0, 24, 48, 72, and 96 h of exposure times. Cell density was assessed using a hemocytometer under a microscope (Olympus CX21, Japan) at 400x magnification. The growth inhibition rate of S. costatum was calculated following the method described by Zhang et al. 15. The Chl-a content was determined by scanning the absorbance of the supernatant at 665 nm and 649 nm using a microplate reader (Synergy H1, USA). During the exposure period, 5 mL of algae solution was collected at 0, 24, 48, 72, and 96 h. Algae solution was pumped onto a 0.7 μm GF/F filter membrane (Whatman, 25 mm), and then stored at −20 °C. Before determination, 4 mL of anhydrous ethanol was added, and the solution was extracted at 4 °C for 24 h in the dark. The solution was subsequently centrifuged at 3000 rpm for 10 min, and the supernatant was collected for further analysis. The Chl-a content (μg/mL) was calculated using the Eq. (1)23:
Where, A665 and A649 represent the absorbances at 665 nm and 649 nm, respectively.
Analysis of oxidative stress and morphological characteristics
S. costatum samples were collected for oxidative stress analysis after 96 h of exposure to PS nanoplastics with different surface modifications (-plain, -NH2, and -COOH) under ambient and elevated temperatures, following our methodology19. The algae was centrifuged at 8000 rpm at 4 °C for 10 min, and the resulting cell pellets were resuspended in phosphate-buffered saline (PBS) and centrifuged again. The cell pellets were then disrupted using an ultrasonic cell crusher (JY92-IIDN, SCIENTZ, China) at 304 W for 5 s with a 10 s interval, and repeated eight times. The supernatant was collected after centrifugation for subsequent analysis. Oxidative stress biomarkers, including malondialdehyde (MDA), superoxide dismutase (SOD), and catalase (CAT), were quantified using commercial assay kits (Nanjing Jiancheng Bioengineering Institute, China). Morphological characteristics of S. costatum exposed to different surface-modified PS nanoplastics under ambient temperature were examined in our previous study19. The morphological characteristics of S. costatum in the control, HS, and HS + (PS-NH2) groups were observed using Scanning Electron Microscopy (HITACHI Regulus 8100, Japan) after 96 h of exposure. The algae cells were collected by centrifugation at 3000 rpm at 4 °C for 10 min. Then, 2.5% glutaraldehyde was added to fix the cell at 4 °C for 24 h. After fixation, the algae cells were rinsed three times with 0.1 M PBS (pH 7.0) for 15 min each time. Subsequently, the algae cells were post-fixed with a 1% osmic tetroxide solution at 4 °C for 2 h, and then rinsed again with 0.1 M PBS for 15 min each time. The algae cells were dehydrated using a graded series of ethanol concentrations (30%, 50%, 70%, 80%, 90%, and 95%) for 15 min at each step, and then treated twice with 100% for 20 min each time. After dehydration, the samples were treated with a mixture of ethanol and isoamyl acetate (volume ratio 1:1) for 30 min, following be treatment with pure isoamyl acetate for 1 h for critical point drying. The samples were then prepared for SEM observation.
Transcriptome analysis
Following exposure to PS nanoplastics with different surface modifications (-plain, -NH2, and -COOH) under heat stress, 50 mL of S. costatum was centrifuged and flash frozen in liquid nitrogen. Samples were stored at −80 °C until RNA extraction. Total RNA was extracted using the TRIzol® Reagent, and its quality and integrity were evaluated using a 5300 Bioanalyzer (Agilent Technology, USA) and a NanoDrop ND-2000 (Thermo Fisher Scientific, USA), respectively. The RNA-seq transcriptome library was prepared in accordance to the Illumina® Stranded mRNA Prep, Ligation from Illumina (San Diego, CA), using 1 μg of total RNA. Firstly, messenger RNA was isolated using the polyA selection method with oligo (dT) beads and then fragmented with fragmentation buffer. Secondly double-stranded cDNA was synthesized using a SuperScript double-stranded cDNA synthesis kit (Invitrogen, CA) with random hexamer primers (Illumina). Thirdly, the synthesized cDNA was subjected to end-repair, phosphorylation, and ‘A’ base addition following Illumina’ s library construction protocol. The cDNA target fragments were size-selected for a length of 300 bp on 2% Low Range Ultra Agarose, and then amplified by PCR for 15 cycles using Phusion DNA polymerase (NEB). Finally, the paired-end RNA-seq sequencing library was sequenced on a NovaSeq 6000 sequencer after quantification with a Qubit 4.0 fluorometer (Thermo Fisher Scientific, USA). The paired-end RNA-seq library was sequenced on the Illumina NovaSeq 6000 platform (Shanghai Majorbio Biopharm Biotechnology Co., Ltd., China).
Low-quality raw reads were filtered to obtain clean reads, which were assembled de novo using the Trinity software. All assembled sequences were filtered by CD-Hit and transrate to enhance the quality of the assembly. The assembled transcripts were searched against protein databases, including NCBI protein nonredundant (NR), COG, and KEGG databases, using Diamond to identify proteins with the highest sequence similarity to the given transcripts. This was done to retrieve their function annotations, with a typical cut-off E-values set at less than 1.0×10−5. The BLAST2GO program was employed to obtain GO annotations of the unique assembled transcripts, describing biological processes (BP), molecular functions (MF) and cellular components (CC).
Clean reads were mapped to reference sequences generated from Trinity assembly to determine the mapping ratio. Gene expression levels were quantified and normalized using the transcripts per million (TPM) method. Differentially expressed genes (DEGs) were identified using DESeq2 with a threshold of |log2-fold change|≥1 and a false discovery rate (FDR) < 0.05 for each comparison group.
Statistical analysis
Data were presented as mean values ± standard deviations (mean ± SD) of three replicates. One-way ANOVA followed by Tukey’s post hoc tests was used to analyze significant differences between treatments, with p < 0.05 considered statistically significant. Statistical analyses and figure generation were performed using GraphPad Prism 8.
Data availability
Data is provided within the supplementary information files.
References
Rochman, C. M. Microplastics research—from sink to source. Science 360, 28–29 (2018).
González-Pleiter, M. et al. Secondary nanoplastics released from a biodegradable microplastic severely impact freshwater environments. Environ. Sci.: Nano 6, 1382–1392 (2019).
Gu, H. X. et al. Nanoplastics impair the intestinal health of the juvenile large yellow croaker Larimichthys crocea. J. Hazard. Mater. 397, 122773 (2020).
Kang, H. M. et al. Different effects of nano- and microplastics on oxidative status and gut microbiota in the marine medaka Oryzias melastigma. J. Hazard. Mater. 405, 124207 (2021).
Silva, M. S. S. et al. Behavior and biochemical responses of the polychaeta Hediste diversicolor to polystyrene nanoplastics. Sci. Total Environ. 707, 134434 (2020).
Zhou, Y. F. et al. Nanoplastics alter ecosystem multifunctionality and may increase global warming potential. Glob. Chang Biol. 29, 3895–3909 (2023).
Pörtner, H. O. et al. Climate change 2022: impacts, adaptation and vulnerability. IPCC Sixth Assess (2022).
Reichert, J. et al. Interactive effects of microplastic pollution and heat stress on reef-building corals. Environ. Pollut. 290, 118010 (2021).
Prata, J. C., da Costa, J. P., Lopes, I., Duarte, A. C. & Rocha-Santos, T. Effects of microplastics on microalgae populations: A critical review. Sci. Total Environ. 665, 400–405 (2019).
Zeng, H., Hu, X. G., Ouyang, S. H. & Zhou, Q. X. Microplastics weaken the adaptability of Cyanobacterium Synechococcus sp. to Ocean Warming. Environ. Sci. Technol. 57, 9005–9017 (2023).
Liu, G., Jiang, R. F., You, J., Muir, D. C. G. & Zeng, E. Y. Microplastic impacts on microalgae growth: effects of size and humic acid. Environ. Sci. Technol. 54, 1782–1789 (2020).
Li, X. et al. Role of heteroaggregation and internalization in the toxicity of differently sized and charged plastic nanoparticles to freshwater microalgae. Environ. Pollut. 316, 120517 (2023).
Zheng, X. W. et al. Toxicity mechanism of Nylon microplastics on Microcystis aeruginosa through three pathways: Photosynthesis, oxidative stress and energy metabolism. J. Hazard. Mater. 426, 128094 (2022).
Zhao, T., Tan, L. J., Zhu, X. L., Huang, W. Q. & Wang, J. T. Size-dependent oxidative stress effect of nano/micro-scaled polystyrene on Karenia mikimotoi. Mar. Pollut. Bull. 154, 111074 (2020).
Zhang, C., Chen, X. H., Wang, J. T. & Tan, L. J. Toxic effects of microplastic on marine microalgae Skeletonema costatum: Interactions between microplastic and algae. Environ. Pollut. 220, 1282–1288 (2017).
Jin, X. E. et al. Physiological responses of the microalga Isochrysis galbana exposed to polystyrene microplastics with different particle sizes. Mar. Environ. Res. 200, 106645 (2024).
Niu, Z. Y., Vandegehuchte, M. B., Catarino, A. I. & Everaert, G. Environmentally relevant concentrations and sizes of microplastic do not impede marine diatom growth. J. Hazard. Mater. 409, 124460 (2021).
Huang, W. Q. et al. The effects and mechanisms of polystyrene and polymethyl methacrylate with different sizes and concentrations on Gymnodinium aeruginosum. Environ. Pollut. 287, 117626 (2021).
Xu, T. T. et al. Unraveling the toxicity mechanisms of nanoplastics with various surface modifications on Skeletonema costatum: Cellular and molecular perspectives. Sci. Total Environ. 953, 176164 (2024).
Meng, F. M., Ni, Z. Q., Tan, L. J., Cai, P. N. & Wang, J. T. Oxidative stress and energy metabolic response of Isochrysis galbana induced by different types of pristine and aging microplastics and their leachates. Chemosphere 348, 140755 (2024).
Toseland, A. et al. The impact of temperature on marine phytoplankton resource allocation and metabolism. Nat. Clim. Change 3, 979–984 (2013).
Righetti, D., Vogt, M., Gruber, N., Psomas, A. & Zimmermann, N. E. Global pattern of phytoplankton diversity driven by temperature and environmental variability. Sci. Adv. 5, eaau6253 (2019).
Sun, S., Hu, X. G., Kang, W. L. & Yao, M. Q. Combined effects of microplastics and warming enhance algal carbon and nitrogen storage. Water Res. 233, 119815 (2023).
Li, X. et al. The effect of temperature on physiology, toxicity and toxin content of the benthic dinoflagellate Coolia malayensis from a seasonal tropical region. Water Res. 185, 116264 (2020).
Wang, B. L. et al. Tire microplastic particles and warming inhibit physiological functions of the toxic microalga Alexandrium pacificum. J. Hazard. Mater. 480, 136087 (2024).
Cheng, L. M. et al. Metabolic adaptation of a globally important diatom following 700 generations of selection under a warmer temperature. Environ. Sci. Technol. 56, 5247–5255 (2022).
Hou, X., Mu, L., Hu, X. G. & Guo, S. Q. Warming and microplastic pollution shape the carbon and nitrogen cycles of algae. J. Hazard. Mater. 447, 130775 (2023).
Zhang, J. Z. et al. Antagonistic and synergistic effects of warming and microplastics on microalgae: Case study of the red tide species Prorocentrum donghaiense. Environ. Pollut. 307, 119515 (2022).
Malviya, S. et al. Insights into global diatom distribution and diversity in the world’s ocean. PNAS 113, E1516–E1525 (2015).
Wu, Y. P., Campbell, D. A., Irwin, A. J., Suggett, D. J. & Finkel, Z. V. Ocean acidification enhances the growth rate of larger diatoms. Limnol. Oceanogr. 59, 1027–1034 (2014).
Li, X., Luo, J. W., Zeng, H., Zhu, L. & Lu, X. Q. Microplastics decrease the toxicity of sulfamethoxazole to marine algae (Skeletonema costatum) at the cellular and molecular levels. Sci. Total Environ. 824, 153855 (2022).
Zhang, D. et al. Molecular Characterization of Magnesium Chelatase in Soybean [Glycine max (L.) Merr. Front. Plant Sci. 9, 720 (2018).
Litchman, E., Klausmeier, C. A., Schofield, O. M. & Falkowski, P. G. The role of functional traits and trade-offs in structuring phytoplankton communities: scaling from cellular to ecosystem level. Ecol. Lett. 10, 1170–1181 (2007).
Yang, Y. M. et al. Biological responses to climate change and nanoplastics are altered in concert: full-factor screening reveals effects of multiple stressors on primary producers. Environ. Sci. Technol. 54, 2401–2410 (2020).
Liu, W. H., Au, D. W. T., Anderson, D. M., Lam, P. K. S. & Wu, R. S. S. Effects of nutrients, salinity, pH and light:dark cycle on the production of reactive oxygen species in the alga Chattonella marina. J. Exp. Mar. Biol. Ecol. 346, 76–86 (2007).
Yang, W. F. et al. The combined toxicity influence of microplastics and nonylphenol on microalgae Chlorella pyrenoidosa. Ecotoxicol. Environ. Saf. 195, 110484 (2020).
Latifi, A., Ruiz, M. & Zhang, C. C. Oxidative stress in cyanobacteria. FEMS Microbiol. Rev. 33, 258–278 (2008).
Li, P. et al. Opposite growth responses of Alexandrium minutum and Alexandrium catenella to photoperiods and temperatures. plants 10, 1056 (2021).
Zhao, Z. L. et al. Polystyrene microplastics enhanced the effect of PFOA on Chlorella sorokiniana: Perspective from the cellular and molecular levels. J. Hazard. Mater. 465, 133455 (2024).
Fan, G. D., Zhou, J. J., Zheng, X. M. & Chen, W. Growth inhibition of microcystis aeruginosa by copper-based MOFs: Performance and physiological effect on algal cells. Appl. Organomet. Chem. 32, e4600 (2018).
Torres, M. A. et al. Biochemical biomarkers in algae and marine pollution: A review. Ecotoxicol. Environ. Saf. 71, 1–15 (2008).
Zhang, C. Y. et al. Variations in growth, photosynthesis, oxidative stress and microcystin production in Microcystis aeruginosa caused by acute exposure to Benzalkonium Chloride and Benzalkonium Bromide. Process Saf. Environ. Prot. 182, 1110–1120 (2024).
Abassi, S., Wang, H., Ponmani, T. & Ki, J.-S. Small heat shock protein genes of the green algae Closterium ehrenbergii: Cloning and differential expression under heat and heavy metal stresses. Environ. Toxicol. 34, 1013–1024 (2019).
Lee, M. A., Guo, R. & Ki, J. S. Different transcriptional responses of heat shock protein 20 in the marine diatom Ditylum brightwellii exposed to metals and endocrine-disrupting chemicals. Environ. Toxicol. 29, 1379–1389 (2014).
Al-Whaibi, M. H. Plant heat-shock proteins: A mini review. J. King Saud. Univ. Sci. 23, 139–150 (2011).
Zhang, H. Y., Zeng, R. S., Chen, D. Y. & Liu, J. A pivotal role of vacuolar H(+)-ATPase in regulation of lipid production in Phaeodactylum tricornutum. Sci. Rep. 6, 31319 (2016).
Tréguer, P. et al. Influence of diatom diversity on the ocean biological carbon pump. Nat. Geosci. 11, 27–37 (2018).
Li, R. J. et al. Indole-3-acetic acid mediated removal of sludge toxicity by microalgae: Focus on the role of extracellular polymeric substances. Bioresour. Technol. 387, 129700 (2023).
Zhang, Y. J. et al. The extra-pathway interactome of the TCA cycle: expected and unexpected metabolic interactions. Plant Physiol. 177, 966–979 (2018).
Aranguren-Gassis, M., Kremer, C. T., Klausmeier, C. A. & Litchman, E. Nitrogen limitation inhibits marine diatom adaptation to high temperatures. Ecol. Lett. 22, 1860–1869 (2019).
Hong, T. et al. Transcriptomic and physiological responses of a model diatom (Phaeodactylum tricornutum) to heat shock and heat selection. Ecol. Indic. 153, 110420 (2023).
Feijão, E. et al. Marine heat waves alter gene expression of key enzymes of membrane and storage lipids metabolism in Phaeodactylum tricornutum. Plant Physiol. Biochem 156, 357–368 (2020).
MacLeod, M., Arp, H. P. H., Tekman, M. B. & Jahnke, A. The global threat from plastic pollution. Science 373, 61–65 (2021).
Yang, W. F. et al. Transcriptome analysis of the toxic mechanism of nanoplastics on growth, photosynthesis and oxidative stress of microalga Chlorella pyrenoidosa during chronic exposure. Environ. Pollut. 284, 117413 (2021).
Sendra, M. et al. Are the primary characteristics of polystyrene nanoplastics responsible for toxicity and ad/absorption in the marine diatom Phaeodactylum tricornutum? Environ. Pollut. 249, 610–619 (2019).
Li, X. et al. Preferential adsorption of medium molecular weight proteins in extracellular polymeric substance alleviates toxicity of small-sized microplastics to Skeletonema costatum. J. Hazard. Mater. 476, 135034 (2024).
Chen, X. X., Zhu, Y. X. & Zhang, Y. Effects of polystyrene microplastics on the extracellular and intracellular dissolved organic matter released by Skeletonema costatum using a novel in situ method. Environ. Pollut. 359, 124604 (2024).
Ma, Q. H. & Zhang, L. The influences of dissolved inorganic and organic phosphorus on arsenate toxicity in marine diatom Skeletonema costatum and dinoflagellate Amphidinium carterae. J. Hazard. Mater. 453, 131432 (2023).
Acknowledgements
This work was supported by the Hainan Province Science and Technology Special Fund (No. ZDYF2022SHFZ317), the National Natural Science Foundation of China (No. 42477397), Natural Science Foundation of Guangdong Province (No. 2024A1515011000), Special Fund of South China Sea Institute of Oceanology, Chinese Academy of Sciences (No. SCSIO2023QY04), Science and Technology Innovation Special Project of Sanya City (No. 2022KJCX74), and Science and Technology Planning Project of Guangdong Province, China (No. 2023B1212060047).
Author information
Authors and Affiliations
Contributions
TT Xu. Writing–review & editing, Writing – original draft, Visualization, Formal analysis, Data curation. ZL Li. Data curation. SS, Y. Data curation. R Hou. Validation, Supervision. S Liu. Validation, Supervision. L Lin. Validation, Supervision. XP Huang. Validation, Supervision. KF Yu. Validation, Supervision. HX Li. Writing–review & editing, Supervision, Funding acquisition, Data curation, Conceptualization. XR Xu. Supervision, Project administration, Funding acquisition, Conceptualization.
Corresponding authors
Ethics declarations
Competing interests
The authors declare no competing interests.
Additional information
Publisher’s note Springer Nature remains neutral with regard to jurisdictional claims in published maps and institutional affiliations.
Supplementary information
Rights and permissions
Open Access This article is licensed under a Creative Commons Attribution-NonCommercial-NoDerivatives 4.0 International License, which permits any non-commercial use, sharing, distribution and reproduction in any medium or format, as long as you give appropriate credit to the original author(s) and the source, provide a link to the Creative Commons licence, and indicate if you modified the licensed material. You do not have permission under this licence to share adapted material derived from this article or parts of it. The images or other third party material in this article are included in the article’s Creative Commons licence, unless indicated otherwise in a credit line to the material. If material is not included in the article’s Creative Commons licence and your intended use is not permitted by statutory regulation or exceeds the permitted use, you will need to obtain permission directly from the copyright holder. To view a copy of this licence, visit http://creativecommons.org/licenses/by-nc-nd/4.0/.
About this article
Cite this article
Xu, TT., Li, ZL., Yao, SS. et al. Different surface modified polystyrene nanoplastics can affect growth adaptability of Skeletonema costatum to heat stress. npj Emerg. Contam. 1, 6 (2025). https://doi.org/10.1038/s44454-025-00004-2
Received:
Accepted:
Published:
Version of record:
DOI: https://doi.org/10.1038/s44454-025-00004-2







