Abstract
We derive a sharp bound as the quantum speed limit (QSL) for the minimal evolution time of quantum open systems in the non-Markovian strong-coupling regime with initial mixed states by considering the effects of both renormalized Hamiltonian and dissipator. For a non-Markovian quantum open system, the possible evolution time between two arbitrary states is not unique, among the set of which we find that the minimal one and its QSL can decrease more steeply by adjusting the coupling strength of the dissipator, which thus provides potential improvements of efficiency in many quantum physics and quantum information areas.
Similar content being viewed by others
Introduction
As a fundamental bound for the evolution time of quantum systems, the quantum speed limit (QSL) (also referred to as quantum evolution time limit) plays an important role in tremendous areas of quantum physics and quantum information, such as quantum computation and communication1,2, quantum metrology3, cavity quantum electrodynamics4, quantum control5, etc. The derivation of QSL is most required for the purpose of simplification and/or optimization in theoretical analysis, since in most quantum-cases one only needs to derive a lower bound on the minimal time of evolution without solving the exact equation to see the dominant factors in evolution and/or optimize our demand. For closed quantum systems, two types of QSL have been derived at the start: the Mandelstam-Tamm (MT) bound
6 and the Margolus-Levitin (ML) bound
7. Since then, further investigations are launched into QSL8,9,10,11,12. As the energy of a closed system is conserved, the QSL of a closed system is decided by the variance of energy ΔE or the mean energy
, related only to the unitary Hamiltonian. Recently, the QSL for quantum open systems13 draws wide attention with several bounds14,15,16,17,18 being found. Because there is energy and/or coherence exchange between system and environment for quantum open systems, the evolution generator therein contains not only a time-dependent Hamiltonian Ht but also a dissipator
(a trace-preserving term referring to dissipation behaviors)13. In quantum open systems, non-Markovianity is valuable in practice and highly emphasized for its particular characteristics of memory effect, negative energy/population flow and singularity of the state evolution19,20. The latter two characteristics are commonly found in the strong-coupling regime, where the system and environment are strongly coupled and the non-Markovianity becomes a non-negligible strong effect21. Typically, a strong-coupling regime can be achieved and temporarily maintained in high-Q optical micro-cavities22 and quantum circuits23. In spite of recent breakthrough on measurement methods for non-Markovianity24,25,26,27,28, the strong-coupling regime still remains as an open question. Also, QSL issue becomes more complicated than it was considered16, since in such a regime the possible evolution time between two arbitrary states is not unique, while only the QSL for the minimal one does matter. In addition to non-Markovianity, the evolution of mixed states in quantum open systems also attracts concern. It is therefore of great significance to derive a sharp bound on evolution time for general conditions, i.e., for mixed states in different non-Markovian coupling regimes.
In this report, we study the non-Markovian problem by using geometric methods and derive a sharp bound for the minimal evolution time for quantum open systems with initial mixed states. We define the minimal evolution time
for non-Markovian quantum open systems as the minimal possible evolution time between two arbitrary states before we study its relevant QSL using new mathematical inequality tools. A steeper decrease of QSL than previous result16 caused by strong non-Markovianity is observed in the examples of two-level models, indicating that a much smaller evolution time can be achieved in the strong-coupling regime. It is implied that the evolution of quantum physical process and computation involving strong-coupling interactions can be more effective.
Results
Geometric fidelity
To quantify the geometric distance between two general quantum states, the Bures fidelity29
with the Bures angle
was usually used, where ρ is the density operator of a general quantum state. Here, however, we introduce the relative-purity fidelity
with
. This one derived from the so-called relative purity30 is more useful in studying QSL31. It is easy to prove that
, and, if ρ2 is a pure state, then one has
.
From the von Neumann trace inequality32,

Hence, we have
and
is valid. In addition, compared with another recently used fidelity18
,
can guarantee a perfect and simple linear relationship (as we shall see later) at the expense of good symmetry between ρ1 and ρ2.
Minimal evolution time
The minimal evolution time
of a quantum evolution is defined in the following: given a predefined quantum evolution
, then, a predetermined state ρτ, one has
, where
stands for the set of all the actual possible driving time τ that the evolution from ρ0 to ρτ may take. One should notice that τ is not unique, especially in the non-Markovian strong-coupling regime.
Quantum speed limit
In order to derive a lower bound as the QSL for driving time τ, the square of the relative-purity fidelity

is used, which is simply linear with ρt. The same linear relationship for
is not true unless ρ0 is a pure state. Taking time derivatives of
yields

The dynamical map of a general quantum system reads
13, where the renormalized Hamiltonian
contains a time-dependent Lamb shift term
. For a Markovian system, the super-operator
takes a Lindblad form and is time-independent, hence
, where
obeys the adjoint master equation15. However, this is invalid for a non-Markovian system13. To derive the lower bound for a non-Markovian case, we divide
into two parts using the triangle inequality

The absolute trace inequality32 reads
. Since
, one has

As Ht and ρt are both positive (by shifting the ground energy of Ht) and Hermitian operators, we take the commutator inequality33, i.e.,
, where
and N is the rank of the operator. For convenience, we denote
. It is worth noting that this inequality is sharp, e.g., if
and
, then
and
. Since
, for simplicity we have
. Substituting it into Eq. (1) and integrating t from 0 to τ then yield

where
. It is manifested that Eq. (2) is determined by both the renormalized Hamiltonian Ht (system) and the dissipator
(environment). Also, this bound can reduce to the previous result16 when ρ0 is a pure state and
.
Non-Markovianity
To investigate the minimal evolution time
in more detail, we use the damped Jaynes-Cummings model as an example, which describes the coupling between a two-level system and a single cavity mode with the background of cavity-QED13. Within a resonant Lorentzian spectral density of environment that
, the exact Hamiltonians read13

where ħω0 is the energy difference and
are Pauli operators. The exact dissipator reads

with
, in which λ is the spectral width, γ0 the coupling strength and
. When γ0 < λ/2, the system and environment are weakly coupled and evolve subexponentially; the degree of non-Markovianity
24. When γ0 > λ/2, D is real; the system and environment are strongly coupled with oscillatory characteristics13 and
(see Fig. 2). The initial environment is chosen to be a vacuum state and the initial system
fully excited to make the model simpler. Consequently, we only need to consider the dissipator
, for the exact solution13 implies ρt a diagonal operator so that
in Eq. (1). It is useful to introduce a special minimal evolution time
,
, i.e.,
is the minimal evolution time for the maximum of ΘR. It is worth noting that
depends strongly on different coupling regimes (see Fig. 1): in the weak-coupling regime, we have
, but in the strong-coupling case,
is finite, which is caused by the oscillatory characteristics of the population. Like
, it is worth noting for
itself that it will be smaller in the strong-coupling regime than that in the weak-coupling regime16. Although
is equal to the only possible driving time
when it is weakly coupled, it is not the case for the strong-coupling regime. From numerical solution of
we find that
has a first derivative singular point at
and a steep decrease in the strong-coupling regime, which cannot be implied from
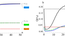
(see Fig. 2). A decrease of the QSL for
was also suggested in the previous result16, but the decreasing slope with γ0 deviates from the minimal evolution time as shown in Fig. 2.
Minimal evolution time (red solid line) of the same model and its different QSL bounds (black lines) as a function of γ0.
The bounds are derived from the previous result16 (dotted), Eq. (4) (solid) and Eq. (5) (dashed). Also indicated here is the degree of non-Markovianity24 (blue solid line). We set λ = 1 and τ = 10.
Solutions of the population of the damped Jaynes-Cummings model13 in the weak- (black line) and strong-coupling regime (red line), with γ0 = 0.4 and γ0 = 10, respectively and λ = 1 for both.
is when the maximum of geometric distance is reached (
).
As the energy of an open system is not conserved, the average of the dissipator
decreases with time and
; as a result, we have
since
.
depends on the short duration from 0 to
at most, so we can simply replace the time average by the maximum and eliminate the subscript
,

Substituting Eq. (3) into Eq. (2), the final bound for
yields

which is valid for general quantum systems, regardless of whether they are closed or open and how strong the coupling is. It is found that the QSL Eq. (4) in the strong-coupling regime has a fitting decreasing slope as shown in Fig. 2. However, this bound is not asymptotic when
. To derive a sharper QSL, we notice that Eq. (3) can take an approximation,

where the parameter β introduced as a metric of the time average rests upon specific models and the rough bound of Eq. (3) can also be treated as β = 1. For this case, we consider that in the strong-coupling regime when
,

The first-order approximation yields
, since
. The exact solution of
yields
. Here
is the chronological super-operator which orders the t′ arguments to increase from right to left34. Hence,

where
. Generally speaking, for a continuous evolution, strong coupling between the system and environment certainly involves a non-Markovian bidirectional flow of energy and/or coherence, which can always be characterized as oscillator(s). Therefore, a general form like Eq. (6) can provide a reasonable approximation of oscillation for other models.
It is found that the parameter β depends typically on the relation between
and
in the strong-coupling limit. With different
(when
), the time average in the left term of Eq. (5) will take a different time period and β thus changes in the range from 0 to 1. In this case of the damped Jaynes-Cummings model, we have
as
, suggesting that the time average in Eq. (5) should take nearly a π/2 period. Taking Eq. (6) into Eq. (5) immediately indicates β = 2/π then. From Fig. 2, it is clear that this bound is sharp, but is not valid when it comes into the weak-coupling regime since the approximation
is invalid there.
Renormalized Hamiltonian
To verify our result and manifest the influence of the renormalized Hamiltonian term in Eq. (2), we introduce another two-level system containing a two-band environment as the second example. This model can simulate the interaction between a spin and a single-particle quantum dot35,36, of which the total Hamiltonian is H = H0 + V where
with σz the Pauli operator. The lower energy band contains N1 levels and the upper N2 levels, with the same band width δε and the inter-bands distance ΔE in resonance with the spin. V represents the interaction that
, with λ the coupling coefficient and c(n1, n2) complex Gaussian random variables. At the beginning, we numerically solve the model concerning the minimal evolution time problem and identify the same singularity at λ ≈ 0.0072 and steep decrease when λ > 0.0072 like those shown in Fig. 2. To demonstrate the influence of renormalized Hamiltonian, first we set
with a driving time τ = 8.0, from which one derives ΘR ≈ 0.7707 and
(see Fig. 3(a,b)). As
, 
1 now35. It is recalculated from Eq. (5) that
. Further calculation shows that the previous QSL16
is too large, while Eqs. (3) and (5) indicate
and
. Both of them stay valid while the latter is sharp. Second, we set ΔE = 10ħ,
and τ = 8.0, from which one derives ΘR ≈ 0.7832 and
(see Fig. 3(c,d)). Since ρ0 is not diagonal,
and
should be considered. Further calculation shows that the previous QSL16
is too large, while
and
. The mere difference between
and
implies that the renormalized Hamiltonian Ht is dominant in Eq. (4). As
added,
becomes smaller, which apparently follows the time-energy uncertainty relation.
Numerical solution of the relative-purity fidelity (red lines) and the dissipator (blue lines) of the quantum dot model35.
λ = 0.02 which represents the strong-coupling regime, with N1 = N2 = 500 and δε = 0.5ħ. The initial states are (a), (b):
and (c), (d):
, respectively.
Discussion
Only Hamiltonian was considered in some of previous investigations6,7,8,9,10,11,12, while for an open system, the coupling strength of its dissipator also has an influence on QSL15,16. However, it is demonstrated in our study that in non-Markovian case such influence could be more significant than it was thought. Therefore, to achieve a high speed of evolution5, it is more probable that we only focus on improving the coupling interaction instead of increasing the energy. This implies that the power consumption can stay a low level for cavity-QED process while high efficiency can still be achieved. Previously it was always thought that a strong coupling with environment should be prevented due to its enhanced decoherence effect on qubits. However, as a trade-off, the operation time for transforming and/or erasing qubits for example can also be remarkably reduced in the strong-coupling regime. It is thus possible to make quantum computation more feasible and achievable by adjusting the coupling strength in a well-chosen pattern.
In summary, we derive a sharp bound as the quantum speed limit of open systems available for mixed initial states. Considering the non-Markovian feature, we find that the minimal evolution time of the two two-level examples considered here has singularity nearly at the cross-point of regimes and a steep decrease in the strong-coupling regime. This result may lead to high-efficiency quantum information research and engineering. As the time-energy uncertainty relation dictates, renormalized Hamiltonian will also contribute to the final quantum speed limit bound as manifested in the quantum dot model in detail. We expect our result to be used for quantum time analysis and optimal control, as well as in pertinent topics on general physics.
Methods
Norms of operators
A general Schatten p-norm of an operator A is
, where singular values
are the eigenvalues of
and
,
and
as the operator norm, trace norm and Hilbert-Schmidt norm of A, respectively37.
Approximation for the dissipator
of the damped Jaynes-Cummings model in the strong-coupling regime
With

given13, the exact solution of
yields

We have
in the strong-coupling regime. As a result,

which yields the result of Eq. (6). In this case, we also have
as γ0 increases, which implies that the time average in Eq. (5) takes nearly a π/2 period. Taking Eq. (6) into Eq. (5) then indicates β = 2/π.
Additional Information
How to cite this article: Meng, X. et al. Minimal evolution time and quantum speed limit of non-Markovian open systems. Sci. Rep. 5, 16357; doi: 10.1038/srep16357 (2015).
References
Lloyd, S. Ultimate physical limits to computation. Nature (London) 406, 1047–1054 (2000).
Bekenstein, J. D. Energy cost of information transfer. Phys. Rev. Lett. 46, 623–626 (1981).
Giovannetti, V., Lloyd, S. & Maccone, L. Advances in quantum metrology. Nat. Photonics 5, 222–229 (2011).
Haroche, S. & Kleppner, D. Cavity quantum electrodynamics. Phys. Today 42, 24–30 (1989).
Zhang, Y.-J., Han, W., Xia, Y.-J., Cao, J.-P. & Fan, H. Classical-driving-assisted quantum speed-up. Phys. Rev. A 91, 032112 (2015).
Mandelstam, L. & Tamm, I. The uncertainty relation between energy and time in nonrelativistic quantum mechanics. J. Phys. (USSR) 9, 249–254 (1945).
Margolus, N. & Levitin, L. B. The maximum speed of dynamical evolution. Physica D 120, 188–195 (1998).
Pfeifer, P. & Fröhlich, J. Generalized time-energy uncertainty relations and bounds on lifetimes of resonances. Rev. Mod. Phys. 67, 759–779 (1995).
Poggi, P. M., Lombardo, F. C. & Wisniacki, D. A. Quantum speed limit and optimal evolution time in a two-level system. Europhys. Lett. 104, 40005 (2013).
Vaidman, L. Minimum time for the evolution to an orthogonal quantum state. Am. J. Phys. 60, 182–183 (1992).
Bhattacharyya, K. Quantum decay and the Mandelstam-Tamm-energy inequality. J. Phys. A: Math. Gen. 16, 2993–2996 (1983).
Jones, P. J. & Kok, P. Geometric derivation of the quantum speed limit. Phys. Rev. A 82, 022107 (2010).
Breuer, H.-P. & Petruccione, F. The Theory of Open Quantum Systems (Oxford University Press, Oxford, 2002).
Taddei, M. M., Escher, B. M., Davidovich, L. & de Matos Filho, R. L. Quantum speed limit for physical processes. Phys. Rev. Lett. 110, 050402 (2013).
del Campo, A., Egusquiza, I. L., Plenio, M. B. & Huelga, S. F. Quantum speed limits in open system dynamics. Phys. Rev. Lett. 110, 050403 (2013).
Deffner, S. & Lutz, E. Quantum speed limit for non-Markovian dynamics. Phys. Rev. Lett. 111, 010402 (2013).
Zhang, Y.-J., Han, W., Xia, Y.-J., Cao, J.-P. & Fan, H. Quantum speed limit for arbitrary initial states. Sci. Rep. 4, 4890 (2014).
Sun, Z., Liu, J., Ma, J. & Wang, X. Quantum speed limits in open systems: Non-Markovian dynamics without rotating-wave approximation. Sci. Rep. 5, 7 (2015).
Strunz, W. T. & Yu, T. Convolutionless non-Markovian master equations and quantum trajectories: Brownian motion. Phys. Rev. A 69, 052115 (2004).
Zhao, X., Shi, W., Wu, L.-A. & Yu, T. Fermionic stochastic SchrÖdinger equation and master equation: An open-system model. Phys. Rev. A 86, 032116 (2012).
Li, Y., Zhou, J. & Guo, H. Effect of the dipole-dipole interaction for two atoms with different couplings in a non-Markovian environment. Phys. Rev. A 79, 012309 (2009).
Reithmaier, J. P. et al. Strong coupling in a single quantum dot-semiconductor microcavity system. Nature (London) 432, 197–200 (2004).
Politi, A., Cryan, M. J., Rarity, J. G., Yu, S. & O’Brien, J. L. Silica-on-silicon waveguide quantum circuits. Science 320, 646–649 (2008).
Breuer, H.-P., Laine, E.-M. & Piilo, J. Measure for the degree of non-Markovian behavior of quantum processes in open systems. Phys. Rev. Lett. 103, 210401 (2009).
Bylicka, B., Chruściński, D. & Maniscalco, S. Non-Markovianity and reservoir memory of quantum channels: A quantum information theory perspective. Sci. Rep. 4, 5720 (2014).
Wolf, M. M., Eisert, J., Cubitt, T. S. & Cirac, J. I. Assessing non-Markovian quantum dynamics. Phys. Rev. Lett. 101, 150402 (2008).
Rivas, Á., Huelga, S. F. & Plenio, M. B. Entanglement and non-Markovianity of quantum evolutions. Phys. Rev. Lett. 105, 050403 (2010).
Rivas, Á., Huelga, S. F. & Plenio, M. B. Quantum non-Markovianity: Characterization, quantification and detection. Rep. Prog. Phys. 77, 094001 (2014).
Jozsa, R. Fidelity for mixed quantum states. J. Mod. Opt. 41, 2315–2323 (1994).
Audenaert, K. M. R. Comparisons between quantum state distinguishability measures. Quantum Inf. Comput. 14, 31–38 (2014).
Levitin, L. B. & Toffoli, T. Fundamental limit on the rate of quantum dynamics: The unified bound is tight. Phys. Rev. Lett. 103, 160502 (2009).
von Neumann, J. Some matrix-inequalities and metrization of matric-space. Tomsk Univ. Rev. 1, 286–300 (1937).
Wang, Y.-Q. & Du, H.-K. Norms of commutators of self-adjoint operators. J. Math. Anal. Appl. 342, 747–751 (2008).
Alicki, R. & Lendi, K. Quantum Dynamical Semigroups and Applications (Springer, Berlin, 1987).
Gemmer, J. & Michel, M. Thermalization of quantum systems by finite baths. Europhys. Lett. 73, 1–7 (2006).
Wu, C., Li, Y., Zhu, M. & Guo, H. Non-Markovian dynamics without using a quantum trajectory. Phys. Rev. A 83, 052116 (2011).
Simon, B. Trace Ideals and Their Applications (American Mathematical Society, Providence, 2005).
Acknowledgements
We thank Jian-Wei Zhang, Yusui Chen, A. del Campo, Paul Berman and Yang Li for their valuable advice. This work is supported by the National Science Fund for Distinguished Young Scholars of China (Grant No. 61225003), National Natural Science Foundation of China (Grant No. 61101081) and the National Hi-Tech Research and Development (863) Program.
Author information
Authors and Affiliations
Contributions
X.M., C.W. and H.G. calculated and analyzed the results. X.M. and H.G. co-wrote the paper. All authors reviewed the manuscript and agreed with the submission.
Ethics declarations
Competing interests
The authors declare no competing financial interests.
Rights and permissions
This work is licensed under a Creative Commons Attribution 4.0 International License. The images or other third party material in this article are included in the article’s Creative Commons license, unless indicated otherwise in the credit line; if the material is not included under the Creative Commons license, users will need to obtain permission from the license holder to reproduce the material. To view a copy of this license, visit http://creativecommons.org/licenses/by/4.0/
About this article
Cite this article
Meng, X., Wu, C. & Guo, H. Minimal evolution time and quantum speed limit of non-Markovian open systems. Sci Rep 5, 16357 (2015). https://doi.org/10.1038/srep16357
Received:
Accepted:
Published:
DOI: https://doi.org/10.1038/srep16357
This article is cited by
-
Experimental investigation of geometric quantum speed limits in an open quantum system
Communications Physics (2024)
-
Quantum speed limit time for correlated quantum channel
Quantum Information Processing (2020)
-
The Effect of Homodyne-Based Feedback Control on Quantum Speed Limit Time
International Journal of Theoretical Physics (2020)
-
Quantum speedup of an atom coupled to a photonic-band-gap reservoir
Quantum Information Processing (2017)
-
Relationship between quantum speed limit time and memory time in a photonic-band-gap environment
Scientific Reports (2016)






of the damped Jaynes-Cummings model in the strong-coupling regime