Skip to main content

Thank you for visiting nature.com. You are using a browser version with limited support for CSS. To obtain the best experience, we recommend you use a more up to date browser (or turn off compatibility mode in Internet Explorer). In the meantime, to ensure continued support, we are displaying the site without styles and JavaScript.

Original Article in 2015

Filter By:

Article Type
Year
  • Many molecules of normal tricosane in the rotator phases belong to any one of three types of rows of molecules as shown in the figure. In the three stable conformations, they are making the translational motion along and the rotational oscillation around the molecular axes. The estimation of disorder parameters relevant to the thermal motions shows that the translational motion and the rotational oscillation are fairly restricted in the rotator phases.

    • Kazuo Kato
    Original Article
  • The C2-, C3-, and C8-linked star-shaped isobutyl-substituted caged silsesquioxane derivatives (3a, 3b and 3c) were prepared by the hydrosilylation of mono-vinyl-, allyl- and octenylisobutyl-T8-silsesquioxane, respectively, along with the synthesis of octadimethylsiloxy-Q8-silsesquioxane. 3a and 3b formed optically transparent films. However, 3c formed an opaque white film. Wide-angle X-ray scattering measurements suggested that 3a and 3b formed more tightly packed structures after melting. However, 3c formed a less dense structure after melting. The refractive index of the film of 3a was lower than that of 3b.

    • Yuta Yasumoto
    • Takahiro Yamanaka
    • Kensuke Naka
    Original Article
  • A casein–inorganic hybrid material was prepared by mixing casein, one of phosphoproteins, and a silane coupling reagent. This casein–inorganic hybrid material was stable in an aqueous solution owing to the electrostatic interactions between the phosphate group in casein and the amino group in the silane coupling reagent. The hybrid materials could selectively accumulate heavy and light metal ions and did not interact with the rare-earth metal ions. In addition, the metal ion-accumulated hybrid materials could be recycled by washing with an aqueous EDTA solution or hydrochloric acid.

    • Masanori Yamada
    • Mayuna Tsuruzumi
    Original Article
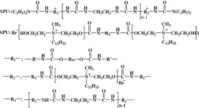
  • Block antibacterial polyurethane and terminated antibacterial polyurethane were prepared based on N-methyl-N-dodecyl-N,N-bis(2-hydroxyethyl) ammonium bromide. Their antibacterial properties were determined using qualitative and quantitative tests, and the physical performances of the antibacterial polyurethane (APU) were also investigated. The results indicate that the APUs display marked mechanical properties, water absorption and improved antibacterial properties against Escherichia coli, Staphylococcus aureus and Bacillus subtilis, with the most potency against E. coli.

    • Chun-Hua Wang
    • Gui-Ge Hou
    • Wen-Shuai Liu
    Original Article
  • When water is added to dilute MeOH solutions of a hydrophilically modified poly(dimethylsiloxane) (HPM-PDMS), molecularly dispersed HPM-PDMS chains associate to form colloidal droplets of the concentrated phase, which are charged spheres of uniform density with the radius of gyration less than 100 nm. Those droplets are remarkably different from those in solutions of HPM-PDMS directly dissolved in MeOH–water mixtures with⩾0.5 and including 0.1 m NaAc, which may contain the coexisting dilute phase.

    • Takashi Okuhara
    • Takahiro Sato
    Original Article
  • A composite gel composed of the C60 fullerene derivatives and poly(3,4-ethylenedioxythiophene)(PEDOT) was prepared using a low-temperature organic-solvent process. PEDOT was synthesized inside the C60-PEG gel and formed nanoscale junctions between C60 and PEDOT, which was beneficial for the movement of electrons and holes. The photocurrent was observed by irradiating the C60-PEG/PEDOT gel electrode with UV or simulated sunlight. Therefore, it is expected that the C60-PEG/PEDOT material is applicable for the photoelectric field, such as solar cells.

    • Zhang Huiqiu
    • Masaru Ichinose
    • Takeshi Yamauchi
    Original Article
  • A short-range-ordered, soft glassy colloidal array (SGCA) exhibits angle-independent and non-iridescent structural color. To control the angle-independent structural color by external stimuli, a thermosensitive SGCA composed of block copolymer (poly(benzyl methacrylate)-block-poly(methyl methacrylate), PBnMA-b-PMMA) grafted silica nanoparticles was prepared in an ionic liquid. The glassy arrays showed a blue shift of reflection peak at semidilute particle concentrations, but an opposite red shift at high particle concentrations with increasing temperature.

    • Kazuhide Ueno
    • Toshimichi Fukai
    • Masayoshi Watanabe
    Original Article
  • A one-step synthesis of a well-defined mid-chain functional macrophotoinitiator of polystyrene- poly(ɛ-caprolactone) diblock copolymer (PSt-PI-PCL) was successfully performed at 110 °C using a dual-functional photoinitiator via simultaneous ATRP and ROP. The new dual-functional photoinitiator (Br-PI-OH) possessing a bromine group on one end and a hydroxyl group on the other, was synthesized by reaction of Irgacure 2959 photoinitiator (HO-PI-OH) with 2-bromopropanoyl bromide. The two distinct polymerization reactions proceeded in a controlled manner without mutual interference. Elemental analysis and 1H-NMR, 13C-NMR and Fourier transform infrared spectroscopy (FT-IR) spectroscopy were used to characterize the chemical structure of Br-PI-OH. Characterization of the macrophotoinitiator PSt-PI-PCL was achieved using 1H-NMR, FT-IR, gel permeation chromatography, UV-vis and fluorescence spectroscopy.

    • Mustafa Degirmenci
    • Cafer Gokkaya
    • Mustafa Durgun
    Original Article
  • Thermal annealing-induced crystallization in semi-crystalline poly(l-lactic acid) (PLLA) ultrathin films (referred as nanosheets) was investigated in terms of interfacial interaction of PLLA with air and substrate. The X-ray diffraction studies of the PLLA nanosheets with different thickness showed that the crystalline contents steeply increased below ca. 200 nm. These results indicated that the crystallization was enhanced near the surface of the air side and restricted near that of the substrate side due to the different interfacial association of the polymer chains in the nanosheet.

    • Akihiro Udagawa
    • Toshinori Fujie
    • Toru Asahi
    Original Article
  • A β-sheet-forming peptide conjugated with a water-soluble moiety (polyethylene glycol (PEG) or a transactivator of transcription (TAT) sequence) forms rod-like aggregates in aqueous solution. We explored the detailed structures of the aggregates using Synchrotron X-ray scattering. We found that the β-sheet-forming peptide indeed formed stacked β-sheets, in a manner similar to that observed in the case of amyloid protofilaments. We also found that the resultant rod-like objects could be completely dispersed in water, as a result of the hydrophilicity of PEG or TAT.

    • Takuma Minami
    • Sakiko Matsumoto
    • Kazuo Sakurai
    Original Article
  • Photoinduced orientation of H-bonded composites of non-photoreactive polymethacrylate consisting of a benzoic acid (BA) moiety (pM6BA) and 4-methoxycinnamic acid (4MCA) is investigated. The pM6BA/4MCA composite films exhibit liquid crystal characteristics owing to H-bonds between BA and 4MCA as well as between the BA groups. Exposure to linearly polarized UV light gives rise to axis-selective photoreaction of the 4MCAs, while thermal treatment induces the molecular reorientation of the BA side groups accompanied by the sublimation of unreacted 4MCA.

    • Satoshi Minami
    • Mizuho Kondo
    • Nobuhiro Kawatsuki
    Original Article
  • The incorporation of SPAni within SPVdF, to form SPVdF/SPAni blend membranes, increased the %WU, the %SR, the IEC, the proton conductivity and the membrane selectivity of the base SPVdF membrane, whereas substantially decreased the %MUs and the methanol permeability values. The SPVdF/SPAni (80/20) blend membrane was found to produce the lowest methanol permeability values of 1.50 × 10−9 cm2 s−1 (at 2 m methanol) and 6.30 × 10−9 cm2 s−1 (at 8 m methanol) and the highest membrane selectivity values of 3.27 × 106 Ss cm−3 (at 2 m methanol) and 7.78 × 105 Ss cm−3 (at 8 m methanol).

    • Kingshuk Dutta
    • Suparna Das
    • Patit P Kundu
    Original Article
  • We studied the structure of polybutadiene rubber (BR) crosslinked with zinc diacrylate (ZDA) to elucidate the structure of the high crosslink density BR (HC-BR) using a contrast variation small-angle neutron scattering (CV-SANS) method. The careful analysis revealed the existence of a HC-BR layer around the ZDA aggregates. This is the first time quantitative structural analysis of the HC-BR layer in this rubber material has been performed. In addition, the network structure of the HC-BR layer in the rubber matrix is responsible for the high mechanical modulus of the rubber.

    • Ryo Mashita
    • Hiroyuki Kishimoto
    • Toshiji Kanaya
    Original Article
  • We develop a novel strategy to reinforce an epoxy resin using carbon nanotubes (CNTs) as the filler material, in which polybenzimidazole (PBI) was used as the glue to enable an effective adhesion between the epoxy matrix and CNT surfaces. As the PBI strongly interacts with the surfaces of the CNTs and reacts with epoxy matrices to form covalent bonding, the PBI-wrapped CNTs are a promising material to reinforce the mechanical toughness of epoxy-CNT composites.

    • Tsuyohiko Fujigaya
    • Yusuke Saegusa
    • Naotoshi Nakashima
    Original Article
  • A simple and versatile method for the visualization of swollen microgels was developed to apply water-soluble ionic liquids using the standard scanning electron microscopy. Au nanoparticles were synthesized within microgels as indicators of the expansion of the microgels, and then the hybrid microgels were observed by conventional (left) or our method (right). The Au nanoparticles were dispersed due to the swelling of microgels caused by the ionic liquids. This visualization method is useful to evaluate internal structure of metal composite gel materials.

    • Koji Horigome
    • Takeshi Ueki
    • Daisuke Suzuki
    Original Article
  • The effects of thermal curing reactivity on phase-separated structures of acrylic copolymer/epoxy thermosetting resin composites were investigated to clarify their phase separation behavior. These composites displayed a sea-island structure, for which the island size altered as the amount of accelerator. The island diameter distribution was represented as a lognormal plot. This phase separation is explained by the law of proportionate effect as observed during the last stage of phase separation via spinodal decomposition.

    • Isao Ichikawa
    • Toshio Sugizaki
    • Shigeo Asai
    Original Article
  • The laborious supercritical CO2 drying method limits the commercial availability of polymeric aerogels. Here we demonstrate a green and scalable method for the preparation of high-performance polyimide (PI) aerogels using low-boiling-point solvent mixture of tetrahydrofuran/methanol, and especially using sublimation drying instead of supercritical CO2 drying. Monolithic and powdery PI aerogels with nanofibrous morphology, low density and high thermal stability can be prepared facilely and thus facilitate their applications in many fields, especially high-temperature resistance, which are of essential importance.

    • Qi Wu
    • Lili Pan
    • Xikui Liu
    Original Article
  • The molecular dynamics simulations of the telomeric single-stranded DNA (ssDNA) and protection of telomere 1 (POT1) in the single and biding states have been performed for 100 ns to compare the structures of those and to calculate root-mean-deviation, gyration radii, root-mean-square fluctuation and the number of hydrogen bonds. We found that the structures of the telomeric ssDNA in the single and binding states are different, and that one guanine and Gln94 are important for the binding system.

    • Masaaki Kaburagi
    • Hironao Yamada
    • Mitsuru Uesaka
    Original ArticleOpen Access
  • A polymer brush with exchangeable alkoxyamine side chains was prepared by surface-initiated atom transfer radical polymerization on silica nanoparticles. Fluorinated and ionic polymers were grafted to the polymer brush and the grafted side chains could be detached from the surface of the nanoparticles via radical exchange reactions of alkoxyamine moieties. The chemical composition of the polymer brushes on nanoparticles before and after the exchange reactions was investigated by X-ray photoelectron spectroscopy. The dispersibility of the nanoparticles in solution could be changed by the reversible grafting reactions.

    • Tomoya Sato
    • Tomoyuki Ohishi
    • Hideyuki Otsuka
    Original Article
  • The functionalized polystyrene microspheres containing 3-(trimethoxysilyl) propyl-methacrylate (silane bridging agent) were prepared by dispersion copolymerization, and nickel layers were successfully introduced onto the surface of the microspheres by an electroless plating method. The silane bridging agent makes the nickel layer surface of PS microspheres more compact and uniform in distribution and seems to provide a stronger bond between the metal shell and the polymer core, as well as more adsorption area for Si-O-Ni.

    • Wen-Chang Liaw
    • Yu-Lin Cheng
    • Hou-Ren Lai
    Original Article

Search

Quick links