Filter By:

Journal Check one or more journals to show results from those journals only.

Choose more journals

Article type Check one or more article types to show results from those article types only.
Subject Check one or more subjects to show results from those subjects only.
Date Choose a date option to show results from those dates only.

Custom date range

Clear all filters
Sort by:
Showing 1–27 of 27 results
Advanced filters: Author: Anatoly I. Frenkel Clear advanced filters
  • Neuromorphic computing has shown the capability of low-power real-time parallel computations, however, implementing the backpropagation algorithm entirely on a neuromorphic chip has remained challenging. The authors propose a spiking neural network implementation of the exact backpropagation algorithm fully on-chip without a computer in the loop.

    • Alpha Renner
    • Forrest Sheldon
    • Andrew Sornborger
    ResearchOpen Access
    Nature Communications
    Volume: 15, P: 1-14
  • The catalytic performance of dilute Pd-in-Au alloys depends on the Pd ensemble size on the bimetallic nanoparticle surface. Here the authors reveal how Pd ensemble formation on Au nanoparticles depends on the deposition sequence and nanoparticle–support wetting interactions, consequently affecting reactivity.

    • Kang Rui Garrick Lim
    • Cameron J. Owen
    • Joanna Aizenberg
    ResearchOpen Access
    Nature Communications
    Volume: 16, P: 1-12
  • Rational catalyst design is crucial toward achieving more energy-efficient and sustainable catalytic processes. Here the authors report a data-driven approach for understanding catalytic reactions mechanisms in dilute bimetallic catalysts by combining X-ray absorption spectroscopy with activity studies and kinetic modeling.

    • Nicholas Marcella
    • Jin Soo Lim
    • Anatoly I. Frenkel
    ResearchOpen Access
    Nature Communications
    Volume: 13, P: 1-9
  • Electrostrictors are materials that develop mechanical strain proportional to the square of the applied electric field. Here authors report. Zr-doped-Ceria as a new lead-free electrostrictive material with a similar electrostriction coefficient to the best electrostrictor material currently in use.

    • Maxim Varenik
    • Boyuan Xu
    • Igor Lubomirsky
    ResearchOpen Access
    Nature Communications
    Volume: 14, P: 1-9
  • Developing high-productive and energy-saving systems in formate electrosynthesis is attractive but challenging. Here, the authors report an efficient Rh-dispersed In2O3 catalyst for CO2 reduction, benefiting the ampere-level formate coproduction when pairing with anodic aldehyde oxidative dehydrogenation.

    • Zhengyuan Li
    • Peng Wang
    • Jingjie Wu
    ResearchOpen Access
    Nature Communications
    Volume: 16, P: 1-9
  • Studying a catalyst during reaction (operando conditions) can give significant insights into the changes a catalyst undergoes. Here, the authors use an operandoapproach to correlate X-ray spectroscopy and electron based imaging techniques to measure the dynamic changes in Pt nanoparticles during the catalytic hydrogenation of ethylene.

    • Y. Li
    • D. Zakharov
    • A.I. Frenkel
    ResearchOpen Access
    Nature Communications
    Volume: 6, P: 1-6
  • It is challenging to maintain the CO selectivity under high current densities in CO2 electro-reduction process. Here the authors report the synergistic interface between redox active CO2 organic sorbents and defective Ag catalysts that can enable an ampere level CO2-to-CO conversion.

    • Zhengyuan Li
    • Xing Li
    • Yayuan Liu
    ResearchOpen Access
    Nature Communications
    Volume: 16, P: 1-12
  • Highly effective and selective noble metal-free catalysts continue to attract significant attention but require reaction specific tuning. Here, the authors fabricate a single-atom iron catalyst at low loading, which shows excellent transfer hydrogenation performance even at low reaction temperatures.

    • Zhidong An
    • Piaoping Yang
    • Dionisios G. Vlachos
    ResearchOpen Access
    Nature Communications
    Volume: 14, P: 1-12
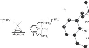
  • Terminal oxo complexes of transition metals are important in biological and chemical processes, for example, the catalytic oxidation of organic molecules and the activation of dioxygen on metal surfaces are thought to involve oxo complexes. This paper explored the reactivity of a d6 Pt(IV) complex, a dn (n > 5) terminal oxo complex that is not stabilized by an electron withdrawing ligand framework. The complex exhibits reactivity as an inter- and intra-molecular oxygen donor and as an electrophile.

    • Elena Poverenov
    • Irena Efremenko
    • David Milstein
    Research
    Nature
    Volume: 455, P: 1093-1096
  • Platinum dispersed on metal oxide supports is widely used for industrially important catalysis such as the reverse water gas shift reaction, but active site migration and subsequent alterations in catalytic performance are still not fully understood. Here, the use of platinum on ceria nanodomes shows the detrimental effect of migration of platinum nanoparticles to titania supports at elevated temperatures.

    • Haodong Wang
    • Ryuichi Shimogawa
    • Anatoly I. Frenkel
    ResearchOpen Access
    Communications Chemistry
    Volume: 6, P: 1-7
  • Steering the selectivity-determining steps is as important as the C–C coupling steps in CO2 electroreduction. Here the authors highlight that single-site noble metal dopants on the Cu surface can influence C–O bond dissociation and direct the post-C–C coupling pathways to ethylene versus ethanol.

    • Zhengyuan Li
    • Peng Wang
    • Jingjie Wu
    Research
    Nature Chemical Engineering
    Volume: 1, P: 159-169
  • Understanding how pores evolve in metals submerged in molten salts is important for nanofabrication technology and molten salt corrosion in nuclear and solar power plants. Here, the authors present an in situ X-ray 3D imaging to directly visualize and quantify the process.

    • Xiaoyang Liu
    • Arthur Ronne
    • Yu-chen Karen Chen-Wiegart
    ResearchOpen Access
    Nature Communications
    Volume: 12, P: 1-12
  • Singly dispersed bimetallic catalysts should exhibit different behaviour and activity to bulk bimetallic species. Here, the authors fabricate isolated Rh1Co3bimetallic catalytic sites and demonstrate their high activity and selectivity for nitric oxide reduction.

    • Shiran Zhang
    • Luan Nguyen
    • Franklin Tao
    Research
    Nature Communications
    Volume: 6, P: 1-10
  • Revealing the structure and dynamics of active sites is essential to understand catalytic mechanisms. Here the authors demonstrate the dynamic nature of perimeter Pt0−O vacancy−Ce3+ sites in Pt/CeO2 and the key effects of their dynamics on the mechanism of the water gas shift reaction.

    • Yuanyuan Li
    • Matthew Kottwitz
    • Anatoly I. Frenkel
    ResearchOpen Access
    Nature Communications
    Volume: 12, P: 1-9
  • Determining active species in non-precious metal catalysts for the oxygen reduction reaction remains a challenge due to catalyst heterogeneity. Here the authors perform gas-phase treatments on an iron-based catalyst to allow the identification of carbon-encapsulated iron nanoparticles as the active species.

    • Jason A. Varnell
    • Edmund C. M. Tse
    • Andrew A. Gewirth
    ResearchOpen Access
    Nature Communications
    Volume: 7, P: 1-9
  • Structure insensitivity in catalysis has been empirically observed, but no satisfactory theoretical explanation could be given. By studying different nanoparticle sizes under dynamic catalytic conditions reaction-dependent particle size dependent restructuring was linked to the aforementioned.

    • Charlotte Vogt
    • Florian Meirer
    • Bert M. Weckhuysen
    ResearchOpen Access
    Nature Communications
    Volume: 12, P: 1-10
  • Metal–metal oxide inverse catalysts are an intriguing class of materials, although the understanding of their structure–activity properties remains elusive. Here, Vlachos and colleagues unravel the complex dynamic interplay between Brønsted acid and redox sites at the surface of a PtWOx/C inverse catalyst, offering a strategy to tune its acid-catalysed dehydration reactivity.

    • Jiayi Fu
    • Shizhong Liu
    • Dionisios G. Vlachos
    Research
    Nature Catalysis
    Volume: 5, P: 144-153
  • Metal–organic frameworks have been shown to adsorb and decompose chemical warfare agents, but their mechanism of action is not completely understood. Here the authors quantitatively track the binding and decomposition product structures of nerve-agent simulant dimethyl methylphosphonate in host UiO-67 through in situ X-ray total scattering measurements, pair distribution function analysis, and density functional theory calculations.

    • Maxwell W. Terban
    • Sanjit K. Ghose
    • Anatoly I. Frenkel
    ResearchOpen Access
    Communications Chemistry
    Volume: 4, P: 1-10
  • Dilute alloy nanoparticles are a promising class of heterogeneous catalysts, but how their composition and structure affects performance is imperfectly understood. Here dilute PdAu catalysts are shown to be highly dynamic, which enables systematic tuning of their structure and composition to maintain an active state.

    • Mathilde Luneau
    • Erjia Guan
    • Cynthia M. Friend
    ResearchOpen Access
    Communications Chemistry
    Volume: 3, P: 1-9