Abstract
Objectives:
To investigate the relationship between the angiotensin I-converting enzyme 1 (ACE) I/D polymorphism and adiposity-related phenotypes in a large cohort of toddlers and preschoolers.
Methods:
Body composition measurements and DNA samples were obtained from 2102 Greek children aged 1–6 years, as part of a large-scale epidemiological study (GENESIS). All children were genotyped for the ACE I/D polymorphism and gender- and age-stratified statistical analyses were performed.
Results:
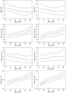
In girls aged 4–6 years, the D-allele was associated with higher measurements of body mass index (BMI) (P=0.018), waist (P=0.001) and upper arm (P=0.013) circumferences, genotype accounting for 2.5, 4 and 3% of the phenotypic variance, respectively. In boys, the D-allele showed strong associations with lower BMI (P=0.001) at the age of 1–2 years that explained 17% of the phenotypic variance and with larger suprailiac skinfold (P=0.008) at 3–4 years old that explained 2% of the variance. No other significant associations between the ACE I/D polymorphism and adiposity-related phenotypes were found. In girls, the age at which significant associations were revealed coincided with the age at which BMI was observed to increase after its developmental nadir, but this feature of the association was not observed in boys.
Conclusions:
The ACE I/D polymorphism is associated with developmental and physiological changes in adiposity-related traits during early childhood in a gender- and age-specific manner.
This is a preview of subscription content, access via your institution
Access options
Subscribe to this journal
Receive 12 print issues and online access
$259.00 per year
only $21.58 per issue
Buy this article
- Purchase on SpringerLink
- Instant access to the full article PDF.
USD 39.95
Prices may be subject to local taxes which are calculated during checkout


References
Lissau I . Overweight and obesity epidemic among children. Answer from European countries. Int J Obes Relat Metab Disord 2004; 28: S10–S15.
Nicklas TA, Baranowski T, Cullen KW, Berenson G . Eating patterns, dietary quality and obesity. J Am Coll Nutr 2001; 20: 599–608.
Ebbeling CB, Pawlak DB, Ludwig DS . Childhood obesity: public-health crisis, common sense cure. Lancet 2002; 360: 473–482.
Hill JO, Wyatt HR, Reed GW, Peters JC . Obesity and the environment: where do we go from here? Science 2003; 299: 853–855.
Koivisto HUK . Factors influencing children's food choice. Ann Med 1999; 31: 26–32.
Meirhaeghe A, Helbecque N, Cottel D, Amouyel P . Beta 2-adrenoceptor gene polymorphisms, body weight, and physical activity. Lancet 1999; 353: 896.
Maes HHM, Neale MC, Eaves LJ . Genetic and environmental factors in relative body weight and human adiposity. Behav Genet 1997; 27: 325–351.
Manios Y . Design and descriptive results of the ‘Growth, Exercise and Nutrition Epidemiological Survey In preschoolers’: the GENESIS Study. BMC Public Health 2006; 6: 32–40.
Rankinen T, Zuberi A, Chagnon YC, Weisnagel SJ, Argyropoulos G, Walts B et al. The human obesity map: The 2005 update. Obesity (Silver Spring) 2006; 14: 529–644.
Bernstein KE, Martin BM, Edwards AS, Bernstein EA . Mouse angiotensin-converting enzyme is a protein composed of two homologous domains. J Biol Chem 1989; 264: 11945–11951.
Hooper NM, Turner AJ . An ACE structure. Nature Struc Biol 2003; 10: 155–157.
Engeli S, Gorzelniak K, Kreutz R, Runkel N, Distler A, Sharma AM . Co-expression of rennin-angiotensin system genes in human adipose tissue. J Hypertens 1999; 17: 555–560.
Jones BH, Stanfridge MK, Moustaid N . Angiotensin II increases lipogenesis in 3T3-L1 and human adipose cells. Endocrinology 1997; 138: 1512–1519.
Rigat B, Hubert C, Alhens-Gelas F, Cambien F, Corvol P, Soubrier F . An insertion/deletion polymorphism in the angiotensin I-converting enzyme gene accounting for half the variance of serum enzyme levels. J Clin Invest 1990; 86: 1343–1346.
Zhu X, McKenzie CA, Forrester T, Nickerson DA, Broeckel U, Schunkert H et al. Localization of a small genomic region associated with elevated ACE. Am J Hum Genet 2000; 67: 1144–1153.
Cox R, Bouzekri N, Martin S, Southam L, Hugill A, Golamaully M et al. Angiotensin-1-converting enzyme (ACE) plasma concentration is influenced by multiple ACE-linked quantitative trait nucleotides. Hum Mol Genet 2002; 11: 2969–2977.
Soubrier F, Martin S, Alonso A, Visvikis S, Tiret L et al. High-resolution genetic mapping of the ACE-linked QTL influencing circulating ACE activity. Eur J Hum Genet 2002; 10: 553–561.
Moran CN, Vassilopoulos C, Tsiokanos A, Jamurtas AZ, Bailey MES, Wilson RH et al. Effects of interaction between angiotensin I-converting enzyme polymorphisms and lifestyle on adiposity in adolescent Greeks. Obes Res 2005; 13: 1499–1504.
Garrow JS, Webster J . Quelete's index (W/H2) as a measure of fatness. Int J Obes Relat Metab Disord 1985; 9: 147–153.
Moreno LA, Rodriquez G, Guillen J, Rabanaque MJ, Leon JF, Arino A . Anthropometric measurements in both sides of the body in the assessement of nutritional status in prepubertal children. Eur J Clin Nutr 2002; 56: 1208–1215.
O'Donnell CJ, Lindpaintner K, Larson MG, Rao VS, Ordovas JM, Schaefer EJ et al. Evidence for association and genetic linkage of the angiotensin-converting enzyme locus with hypertension and blood pressure in men but not women in the Framingham Heart Study. Circulation 1998; 97: 1766–1772.
Fomon SJ, Haschke F, Ziegler EE, Nelson SE . Body composition of reference children from birth to age 10 years. Am J Clin Nutr 1982; 35: 1169–1175.
Ryan, TA, Joiner BL . Normal Probability Plots and Tests for Normality, 1976. Technical Report, Statistics Department, The Pennsylvania State University.
Box GEP, Cox DR . An analysis of transformations. J R Stat Soc, Series B 1964; 26: 211–252.
Uitenbroek DG . SISA Binomial. In: Uitenbroek DG (ed). Southampton, 1997, http://home.clara.net/sisa/binomial.htm Accessed February 1, 2006.
Strazzullo P, Lacone R, Lacoviello L, Russo O, Barba G, Russo P et al. Genetic variation in the renin-angiotensin system and abdominal adiposity in men: The Olivetti Prospective Heart Study. Ann Intern Med 2003; 138: 17–23.
Riera-Fortuny C, Real JT, Chaves FJ, Morales-Suarez-Varela M, Martinez-Triquero ML, Morillas-Arino C et al. The relation between obesity, abdominal fat deposit and the angiotensin-converting enzyme gene I/D polymorphism and its association with coronary heart disease. Int J Obes Relat Metab Disord 2005; 29: 78–84.
Viswanathan M, Selby DM, Ray PE . Expression of renal and vascular angiotensin II receptor subtypes in children. Pediatr Nephrol 2000; 14: 1030–1036.
Frederich Jr RC, Kahn BB, Peach MJ, Flier JS . Tissue-specific nutritional regulation of angiotensinogen in adipose tissue. Hypertension 1992; 19: 339–344.
Salmon J, Campbell KJ, Crawford DA . Television viewing habits associated with obesity risk factors: a survey of Melbourne schoolchildren. MJA 2006; 184: 64–67.
Jackson DM, Reilly JJ, Kelly LA, Montgomery C, Grant S, Panton JY . Objectively measured physical activity in a representative sample of 3- to 4-year-old children. Obes Res 2003; 11: 420–425.
Giacchetti G, Faloia E, Mariniello B, Sardu C, Gatti C, Camilloni MA et al. Overexpression of the renin-angiotensin system in human visceral adipose tissue in normal and overweight subjects. AJH 2002; 15: 381–388.
Goossens GH, Blaak EE, Saris WHM, Van Baak MA . Angiotensin II-Induced effects on adipose and skeletal muscle tissue blood flow and lipolysis in normal-weight and obese subjects. J Clin Endocr Metabol 2004; 89: 2690–2696.
Acknowledgements
This research was supported in part by Grant 17/D17566 from the Medical Research Council/Biotechnology and Biological Sciences Research Council associate program in human nutrition research and a grant from Friesland Food Hellas. Yannis Manios also works as a scientific consultant for Friesland Food Hellas. None of the other authors had any conflict of interest to declare. The sponsors had no role in the study design, collection, analysis or interpretation of the data, the writing of the manuscript, the submission and revision of the paper. The cooperation of all schools and subjects is greatly appreciated.
Author information
Authors and Affiliations
Corresponding author
Additional information
Supplementary Information accompanies the paper on International Journal of Obesity website (http://www.nature.com/ijo)
Supplementary information
Rights and permissions
About this article
Cite this article
Lagou, V., Manios, Y., Moran, C. et al. Developmental changes in adiposity in toddlers and preschoolers in the GENESIS study and associations with the ACE I/D polymorphism. Int J Obes 31, 1052–1060 (2007). https://doi.org/10.1038/sj.ijo.0803605
Received:
Revised:
Accepted:
Published:
Issue date:
DOI: https://doi.org/10.1038/sj.ijo.0803605
Keywords
This article is cited by
-
Angiotensin-converting enzyme gene insertion/deletion polymorphism in nutritional disorders in children
European Journal of Nutrition (2015)
-
Effect of ID ACE gene polymorphism on dietary composition and obesity-related anthropometric parameters in the Czech adult population
Genes & Nutrition (2009)
-
Impact of Peroxisome Proliferator–activated Receptors γ and δ on Adiposity in Toddlers and Preschoolers in the GENESIS Study
Obesity (2008)
-
Impact of Peroxisome Proliferator–activated Receptors γ and δ on Adiposity in Toddlers and Preschoolers in the GENESIS Study
Obesity (2008)
-
Adiposity Gain During Childhood, ACE I/D Polymorphisms and Metabolic Outcomes
Obesity (2008)