Abstract
Objective: Protein restriction delays the progression of non-diabetic and type 1 diabetic renal disorders. This study assessed whether protein restriction delays the onset or early progression of renal disorders in type 2 diabetes.
Design: Randomized controlled trial. Outcomes were albuminuria (mg/24 h) and, as an estimate of the glomerular filtration rate, cimetidine-influenced creatinine clearance.
Setting: Primary care.
Subjects: Patients with type 2 diabetes and microalbuminuria or at least detectable albuminuria, or a diabetes duration >5 y.
Interventions: The experimental group received dietary counselling on protein restriction (n=63); a control group (n=68) received the usual dietary advice. The duration of intervention and follow-up was 28±7 months.
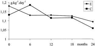
Results: After 6 months, protein intake differed only by 0.08 g/kg/day between the study groups. Subsequently, this difference decreased and eventually disappeared. An initial effect of protein restriction on albuminuria in favor of the experimental group was not sustained, and the glomerular filtration rate decreased in the experimental group at a 1.6±2.2 ml/min/1.73 m2 y lower rate than in the control group (P=0.5). Comparison of patients in the experimental group with a decrease in protein intake of at least 0.20 g/kg/day, with controls with no decrease, indicated a similarly small and insignificant effect on glomerular filtration rate.
Conclusions: It is concluded that, in the longer term prevention or delay of renal damage in patients with type 2 diabetes, protein restriction is neither feasible nor efficacious.
Sponsorship: Financial support for this study was provided by the Dutch Organization for Scientific Research (NWO, The Hague, grant number 904-58-051) and the Health Research and Development Council (ZON, The Hague, grant number 28-2298). Smithkline & Beecham provided cimetidine (Tagemet®).
This is a preview of subscription content, access via your institution
Access options
Subscribe to this journal
Receive 12 print issues and online access
$259.00 per year
only $21.58 per issue
Buy this article
- Purchase on SpringerLink
- Instant access to the full article PDF.
USD 39.95
Prices may be subject to local taxes which are calculated during checkout



Similar content being viewed by others
References
Apperloo AJ, De Zeeuw D, De Jong PE . 1997 A short-term antihypertensive treatment-induced fall in glomerular filtration rate predicts long-term stability of renal function Kidney Int. 51: 793–797
Cockcroft DW, Gault MH . 1976 Prediction of creatinine clearance from serum creatinine Nephron 16: 31–41
DNSG. 2000 Diabetes and Nutrition Study Group of the European Association for the Study of Diabetes Recommendations for the nutritional management of patients with diabetes mellitus Eur. J. Clin. Nutr. 54: 353–355
Dullaart RPF, Beusekamp BJ, Meijer S, Van Doormaal JJ, Sluiter WJ . 1993 Long-term effects of protein-restricted diet on albuminuria and renal function in IDDM patients without clinical nephro-pathy and hypertension Diabetes Care 16: 483–492
Fouque D, Laville M, Boissel JP, Chifflet R, Labeeuw M, Zech PY . 1992 Controlled low protein diets in chronic renal insufficiency: meta-analysis Br. Med. J. 304: 216–220
Hoogeveen EK, Kostense PJ, Jager A et al. 1998 Serum homocysteine level and protein intake are related to the risk of microalbuminuria. The Hoorn Study Kidney Int 54: 203–209
Humphrey LL, Ballard DJ, Frohnert PP, Chu C-P, O'Fallon M, Palumbo PJ . 1989 Chronic renal failure in non-insulin-dependent diabetes mellitus. A population-based study in Rochester, Minnesota Ann. Intern. Med. 111: 788–796
Jameel N, Pugh JA, Mitchell BD, Stern MP . 1992 Dietary protein is not correlated with clinical proteinuria in NIDDM Diabetes Care 15: 178–183
Kalk WJ, Osler C, Constable J, Kruger M, Panz V . 1992 Influence of dietary protein on glomerular filtration and urinary albumin excretion in insulin-dependent diabetes Am. J. Clin. Nutr. 56: 169–173
Kasiske BL, Lakatua JDA, Ma JZ, Louis TA . 1998 A meta-analysis of the effects of dietary protein restriction on the rate of decline in renal function Am. J. Kidney Dis. 31: 954–961
Klahr S . 1997 Prevention of progression of nephropathy Nephrol. Dial. Transplant. 12: (Suppl 2): 63–66
Kleinbaum DG, Kupper LL, Muller KE . 1988 Applied Regression Analysis and other Multivariable Methods. Chapter 5, pp 41–79 Belmont, CA: Duxbury Press
Levey AS, Beck GJ, Bosch JP et al for the Modification of Diet in Renal Disease Study Group. 1996a Short-term effects of protein intake, blood pressure, and antihypertensive therapy on glomerular filtration rate in the Modification of Diet in Renal Disease Study J. Am. Soc. Nephrol. 7: 2097–2109
Levey AS, Adler S, Caggiula AW et al for the Modification of Diet in Renal Disease Study Group. 1996b Effects of dietary protein restriction on the progression of advanced renal disease in the Modification of Diet in Renal Disease Study Am. J. Kidney Dis. 27: 652–663
Maroni BJ, Steinman TI, Mitch WE . 1985 A method for estimating nitrogen intake of patients with chronic renal failure Kidney Int. 27: 58–65
Maschio G . 1995 Low-protein diet and progression of renal disease: an endless story Nephrol. Dial. Transplant. 10: 1797–1800
Maschio G, Oldrizzi L, Rugiu C . 1991 Is there a ‘point of no return’ in progressive renal disease? J. Am. Soc. Nephrol. 2: 832–840
Nelson RG, Bennett PH, Beck GJ et al for the Diabetic Renal Disease Study Group. 1996 Development and progression of renal disease in Pima Indians with non-insulin-dependent diabetes mellitus New Engl. J. Med. 335: 1636–1642
Nielsen S, Schmitz A, Rehling M, Mogensen CE . 1997 The clinical course of renal function in NIDDM patients with normo- and microalbuminuria J. Intern. Med. 241: 133–134
Niskanen LK, Parviainen M, Penttila I, Uusitupa MIJ . 1996 Evolution, risk factors, and prognostic implications of albuminuria in NIDDM Diabetes Care 19: 486–493
Nowack R, Raum E, Blum W, Ritz E . 1992 Renal hemodynamics in recent-onset type II diabetes Am. J. Kidney Dis. 10: 342–347
Parving H-H . 1996 Initiation and progression of diabetic nephropathy New Engl. J. Med. 335: 1682–1683
Parving H-H . 1998 Renoprotection in diabetes: genetic and non-genetic risk factors and treatment Diabetologia 41: 745–749
Parving H-H, Osterby R, Anderson PW, Hsuch WA . 1996 Diabetic nephropathy In: The Kidney 5th edn, ed. BM Brenner, Vol. 2, pp 1864–1892 Philadelphia, PA: WB Saunders
Pedrini MT, Levey AS, Lau J, Chalmers TC, Wang PH . 1996 The effect of dietary protein restriction on the progression of diabetic and nondiabetic renal diseases: a meta-analysis Ann. Intern. Med. 124: 627–632
Pijls LTJ, De Vries H, Donker AJM, Van Eijk JThM . 1999 The effect of protein restriction on albuminuria in patients with type 2 diabetes; a randomized trial Nephrol. Dial. Transplant. 14: 1445–1453
Pijls LTJ, de Vries H, van Eijk JTM, Donker AJM . 2000 Adherence to protein restriction in patients with type 2 diabetes mellitus: a randomized trial Eur. J. Clin. Nutr. 54: 347–352
Pijls LTJ, de Vries H, van Eijk JTM, Donker AJM . 2001 Determinants of albuminuria in people with type 2 diabetes mellitus Diabetes Res. Clin. Pract. 52: 133–143
Position Statement. 1996 Nutrition recommendations and principles for people with diabetes mellitus Diabetes Care 19: S16–S19
Pugh JA, Medina RA, Cornell JC, Basu S . 1995 NIDDM is the major cause of diabetic end-stage renal disease. More evidence from a tri-ethnic community Diabetes 44: 1375–1380
Raine AEG . The rising tide of diabetic nephropathy—the warning before the flood? Nephrol. Dial. Transplant. 10: 460–461
Richter JM, Colditz GA, Huse DM, Delea TE, Oster G . 1989 Cimetidine and adverse reactions: a meta-analysis of randomized clinical trials of short-term therapy Am. J. Med. 87: 278–284
Riley MD, Dwyer T . 1998 Microalbuminuria is positively associated with usual dietary saturated fat intake and negatively associated with usual dietary protein intake in people with insulin-dependent diabetes mellitus Am. J. Clin. Nutr. 67: 50–57
Ritz E, Stefanski A . 1996 Diabetic nephropathy in type II diabetes Am. J. Kidney Dis. 27: 167–194
Smulders YM, Rakic M, Stehouwer CDA, Weijers RNM, Slaats EH, Silberbusch J . 1997 Determinants of progression of microalbuminuria in patients with NIDDM Diabetes Care 20: 999–1005
US Renal Data System. 1994 US Renal Data System 1994 Annual Report Bethesda, MD: National Institutes of Health, National Institute of Diabetes and Digestive and Kidney Diseases, Division of Kidney, Urologic, and Hematologic Diseases
Van Acker BAC, Koomen GCM, Koopman MG, De Waart DR, Arisz L . 1992 Creatinine clearance with cimetidine for measurement of GFR Lancet 341: 1326–1329
Van Guldener C, Donker AJM . 1997 Lisinopril and albumin excretion in diabetes. (Letter.) Lancet 350: 662–663
Watts GF, Gregory L, Naoumova R, Kubal C, Shaw KM . 1988 Nutrient intake in insulin-dependent diabetic patients with incipient nephropathy Eur. J. Clin. Nutr. 42: 697–702
Waugh NR, Robertson AM . 1997 Protein restriction in diabetic renal disease In: ed. R Williams, A Nicolucci, HMJ Krans & G Ramirez Diabetes Module of the Cochrane Database of Systematic Reviews (updated 1 September 1997) The Cochrane Library. The Cochrane Collaboration, Issue 4 Oxford: Update Software
WHO. 1985 Diabetes mellitus WHO Technical Report Series 727 Geneva: WHO
Acknowledgements
We are grateful to the dieticians Martine de Clercq, José Drijvers, Anneke Droop, Elles Grobbe and Irene Havekes-Kleyweg, who provided dietary counselling for the patients.
Author information
Authors and Affiliations
Corresponding author
Rights and permissions
About this article
Cite this article
Pijls, L., de Vries, H., van Eijk, J. et al. Protein restriction, glomerular filtration rate and albuminuria in patients with type 2 diabetes mellitus: a randomized trial. Eur J Clin Nutr 56, 1200–1207 (2002). https://doi.org/10.1038/sj.ejcn.1601474
Received:
Revised:
Accepted:
Published:
Issue date:
DOI: https://doi.org/10.1038/sj.ejcn.1601474
Keywords
This article is cited by
-
Dietary protein sources and risk of diabetic nephropathy in women: A case-control study
BMC Endocrine Disorders (2021)
-
Diabetic Kidney Disease Benefits from Intensive Low-Protein Diet: Updated Systematic Review and Meta-analysis
Diabetes Therapy (2021)
-
Efficacy of low-protein diet in diabetic nephropathy: a meta-analysis of randomized controlled trials
Lipids in Health and Disease (2019)
-
Efficacy of low-protein diet for diabetic nephropathy: a systematic review of randomized controlled trials
Lipids in Health and Disease (2018)
-
Impact of Lifestyle Modification on Diabetic Kidney Disease
Current Diabetes Reports (2015)


