Abstract
Objective: HIV-infection and antiretroviral therapies are associated with energy dysfunction and lipid metabolism in adults. Our aim was to detect a possible carnitine deficiency in HIV-infected children on antiretroviral treatments. We analysed the relation among serum carnitine, its amino-acid precursors (methionine and lysine), clinical evaluation and antiretroviral therapy.
Design and setting: Cross-sectional study performed in a tertiary care hospital.
Subjects: A total of 79 HIV-infected children on antiretroviral therapy, monitored prospectively in our hospital.
Interventions: Antiretroviral therapy included nucleoside analogues plus protease inhibitors and/or non-nucleoside analogues. Carnitine was analysed by an enzymatic–spectrometric procedure, and amino acids by ion exchange chromatography. Reference values of carnitine and amino acids were established in apparently healthy children who underwent presurgical analysis for minor surgery.
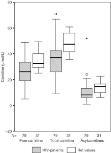
Results: Serum free and total carnitine, acylcarnitines, methionine and lysine were significantly lower in HIV-infected children compared with our reference values for similar ages (P<0.0001; Student's t-test). Low carnitine values were observed in 37% of our HIV-infected children. A significantly positive correlation was observed between serum total carnitine and methionine or lysine (P<0.0001 and P=0.005, respectively; Pearson test). No relation was observed between serum carnitine and clinical stage of HIV infection, immunological or nutritional status or lipodystrophy. Free and total carnitine were significantly lower (P=0.002 and 0.033, respectively) in HIV-infected patients on protease inhibitors (N=56) compared with those on other treatments (N=23).
Conclusions: Low serum carnitine concentration was observed in 37% of our HIV-infected children on antiretroviral therapy. Malabsorption or defective synthesis may also account for the low serum carnitine values detected in these patients.
Sponsorship: Grant FIS 99/1270.
This is a preview of subscription content, access via your institution
Access options
Subscribe to this journal
Receive 12 print issues and online access
$259.00 per year
only $21.58 per issue
Buy this article
- Purchase on SpringerLink
- Instant access to the full article PDF.
USD 39.95
Prices may be subject to local taxes which are calculated during checkout

Similar content being viewed by others
References
Arnaudo E, Dalakas M, Shanke S, Moraes CT, DiMauro S & Schon EA (1991): Depletion of muscle mitochondrial DNA in AIDS patients with zidovudine-induced myopathy. Lancet 337, 508–510.
Artuch R, Quintana M, Moyano D, Moreno J, Puig R & Vilaseca MA (1997): Determinación de carnitina en plasma por un procedimiento espectrométrico. Valores de referencia para una población pediátrica. Química Clín. 16, 397–400.
Bogden JD, Baker H, Frank O, Perez G, Kemp F, Bruening K & Louria D (1990): Micronutrient status and human immunodeficiency virus (HIV) infection. Ann. NY Acad. Sci. 587, 189–195.
Brinkman K, Hofsteder HJM, Burger DM, Smeitink JAM & Koopmans PP (1998): Adverse effect of reverse transcriptase inhibitors: mitochondrial toxicity as common pathway. AIDS 12, 1735–1744.
Brinkman K, Smeitink JA, Romijn JA & Reiss P (1999): Mitochondrial toxicity induced by nucleoside-analogue reverse-transcriptase inhibitors is a key factor in the pathogenesis of antiretroviral-therapy-related lipodystrophy. Lancet 354, 1112–1115.
Campos Y & Arenas J (1994): Muscle carnitine deficiency associated with zidivudine-induced mitochondrial myopathy. Ann. Neurol. 36, 680–681.
Carr A, Miller J, Law M & Cooper DA (2000): A syndrome of lipoatrophy, lactic acidaemia and liver dysfunction associated with HIV nucleoside analogue therapy: contribution to protease inhibitor-related lipodystrophy syndrome. AIDS 14, F25–F32.
Carr A, Smaras K, Burton S, Law M, Freund J, Chisholm DJ & Cooper DA (1998a): A syndrome of peripheral lipodystrophy, hyperlipidaemia and insulin-resistance in patients receiving HIV protease inhibitors. AIDS 12, F51–F58.
Carr A, Samaras K, Chisholm DJ & Cooper DA (1998b): Pathogenesis of HIV-1protease inhibitor-associated peripheral lipodystrophy, hyperlipidaemia, and insulin-resistance. Lancet 351, 1881–1883.
Carter AL, Abney TO & Lapp DF (1995): Biosynthesis and metabolism of carnitine. J. Child Neurol. 10(Suppl), 2S3–2S7.
Cifone MG, Alesse E, Di Marzio L, Ruggeri B, Zazzeroni F, Moretti S, Famularo G, Steinberg SM, Vullo E & De Simone C (1997): Effect of L-carnitine treatment in vivo on apoptosis and ceramide generation in peripheral blood lymphocytes from AIDS patients. Proc. Assoc. Am. Physicians 109, 146–153.
Claessens YE, Cariou A, Chiche JD, Dauriat G & Dhainaut JF (2000): L-carnitine as a treatment of life-threatening lactic acidosis induced by nucleoside analogues. AIDS 14, 472–473.
Dalakas M, Illa I, Pezeshkpour GH, Laikaitis JP, Cohen B & Griffin JL (1990): Mitochondrial myopathy caused by long-term zidovudine therapy. N. Eng. J. Med. 322, 1098–1105.
Dalakas MC, Leon-Monzon M, Bernardini I, Gahl WA & Jay CA (1994): Zidovudine-induced mitochondrial myopathy is associated with muscle carnitine deficiency and lipid storage. Ann. Neurol. 35, 482–487.
Davis HJ, Miene LJ, van der Westhuizen N, et al (1998): L-carnitine and magnesium as a supportive supplement with antiviral drugs. Int. Conf. AIDS 12, 851.
De Simone C, Famularo G, Tzantzoglou S, Trinchieri V, Moretti S & Sorice F (1994): Carnitine depletion in peripheral blood mononuclear cells from patients with AIDS: effect of oral L-carnitine. AIDS 8, 655–660.
De Simone C, Tzantzoglou S, Famularo G, Moretti S, Paoletti F, Vullo V & Delia S (1993): High dose L-carnitine improves immunologic and metabolic parameters in AIDS patients. Immunopharmacol. Immunotoxicol. 15, 1–12.
De Simone C, Tzantzoglou S, Jirillo E, et al (1992): Carnitine deficiency in AIDS. AIDS 6, 203–205.
Famularo G, De Simone C & Cifone G (1999): Carnitine stands on its own in HIV infection treatment. Arch. Intern. Med. 159, 1143–1144.
Famularo G, Moretti S, Marcellini S, Trinchieri V, Tzantzoglou S, Santini G, Longo A & De Simone C (1997): Acetyl-carnitine deficiency in AIDS patients with neurotoxicity on treatment with antiretroviral nucleoside analogues. AIDS 11, 185–190.
Kotler DP (1998): Human immunodeficiency virus-related wasting: malabsorption syndromes. Semin. Oncol. 25, Suppl 6), 70–75.
Lenzo NP, Garas BA & French MA (1997): Hepatic steatosis and lactic acidosis associated with stavudine treatment in an HIV patient: a case report. AIDS 11, 1294–1296.
Megarbane B, Brivet F, Guerin JM & Baud FJ (1999): Lactic acidosis and multi-organ failure secondary to anti-retroviral therapy in HIV-infected patients. Presse Med. 28, 2257–2264.
Melegh B, Pap M, Bock I & Rebouche CJ (1993): Relationship of carnitine and carnitine precursors lysine, N-trimethyllysine, and γ-butyrobetaine in drug-induced carnitine depletion. Pediatr. Res. 34, 460–464.
Mintz M (1995): Carnitine in human immunodeficiency virus type 1 infection/acquired immune deficiency syndrome. J. Child Neurol. 10(Suppl), 2S40–2S44.
Moretti S, Alesse E, Di Marzio L, Zazzeroni F, Ruggeri B, Marcellini S, Famularo G, Steinberg SM, Boschini A, Cifone MG & De Simone C (1998): Effect of L-carnitine on human immunodeficiency virus-1 infection-associated apoptosis: a pilot study. Blood 91, 3817–3824.
Moyano D, Vilaseca MA, Artuch R & Lambruschini N (1998): Plasma amino acids in anorexia nervosa. Eur. J. Clin. Nutr. 52, 684–689.
Mutomba MC, Yuan H, Konyavko M, Adachi S, Yokoyama CB, Esser V, McGarry JD, Babior BM & Gottlieb RA (2000): Regulation of the activity of caspases by L-carnitine and palmitoylcarnitine. FEBS Lett. 478(1–2), 19–25.
Periquet BA, Jammes NM, Lambert WE, Tricoire J, Moussa MM, Garcia J, Ghisolfi J & Thouvenot J (1995): Micronutrient levels in HIV-1-infected children. AIDS 9, 887–893.
Pons R & De Vivo DC (1995): Primary and secondary carnitine deficiency syndromes. J. Child Neurol. 10(Suppl): 2S8–2S24.
Revell P, O'Doherty MJ, Tang A & Savidge GF (1991): Folic acid absorption in patients infected with the human immunodeficiency virus. J. Intern. Med. 230, 227–231.
Semino-Mora MC, Leon-Monzon ME & Dalakas MC (1994): The effect of L-carnitine on the AZT-induced destruction of human myotubes. Part II: treatment with L-carnitine improves the AZT-induced changes and prevents further destruction. Lab. Invest. 71, 773–781.
Simpson DM (1992): Neuromuscular complications of human immunodeficiency virus infection. Semin. Neurol. 12, 34–42.
Sundar K (1997): Zidovudine-induced fatal lactic acidosis and hepatic failure in patients with acquired immunodeficiency syndrome: report of two patients and review of the literature. Crit. Care Med. 8, 1425–1430.
Vilaseca MA, Briones P, Ferrer I, Campistol J, Riverola A, Castillo P & Ramon F (1993): Controlled diet in Phenylketonuria may cause serum carnitine deficiency. J. Inher. Metab. Dis. 16, 101–104.
Vilaseca MA, Sierra C, Colomé C, Artuch R, Valls C, Muñoz MC, López-Vilches MA & Fortuny C (2001): Hyperhomocysteinemia and folate deficiency in HIV-infected children on antiretroviral treatment. Eur. J. Clin. Invest. 31, 992–998.
Walter EB, Drucker RP, McKinney RE & Wilfert CM (1991): Myopathy in human immunodeficiency virus-infected children receiving long-term zidovudine therapy. J. Pediatr. 119, 152–155.
Acknowledgements
This study was sponsored by Grant FIS 99/1270. We are very grateful to Rosa Puig for her skilful technical assistance.
Author information
Authors and Affiliations
Contributions
Guarantor: MA Vilaseca.
Contributors: MAV, CS and CF designed the study. MAV, CS and RA created the databases, performed the statistical analysis, and wrote the paper. JP carried out the carnitine determinations and CM-A the viral load quantification. MAL-V collected the clinical data. CF was in charge of the paediatric evaluation of HIV patients and critically reviewed the contents of the manuscript.
Corresponding author
Rights and permissions
About this article
Cite this article
Vilaseca, M., Artuch, R., Sierra, C. et al. Low serum carnitine in HIV-infected children on antiretroviral treatment. Eur J Clin Nutr 57, 1317–1322 (2003). https://doi.org/10.1038/sj.ejcn.1601694
Received:
Revised:
Accepted:
Published:
Issue date:
DOI: https://doi.org/10.1038/sj.ejcn.1601694


