Abstract
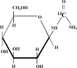
Objective: In the present study, cellobiose-[13C]ureide and glucose-[13C]ureide were synthesized and tested as alternative substrates for noninvasive evaluation of the orocaecal transit time (OCTT).
Design: Experimental study.
Interventions: In total, 1 g cellobiose-[13C]ureide was administered together with a continental breakfast either without or after predosing of 5 × 1 g unlabelled cellobiose ureide on the day prior to study commencement. After 2 weeks, the same subjects ingested glucose-[13C]ureide (dosage: 0.57 g) either without or after predosing of the respective unlabelled ureide under identical conditions. Expired air samples were taken over 10 h. 13CO2-enrichment was measured by isotope ratio mass spectrometry (PDZ Europa, Sandbach, UK). The OCTT was calculated from the interval between 13C-ureide administration and the detection of a significant and sustained 13C-rise of 2 delta over baseline in breath.
Setting: University of Rostock, Children's Hospital, Research Laboratory.
Subjects: Eight healthy adults aged 22–55 y.
Results: After application of cellobiose-[13C]ureide and glucose-[13C]ureide OCTTs of 401 and 415 min, respectively, were measured. The predosing resulted in higher and steeper 13C-enrichments and caused a significant shortening of OCTTs of 265 and 287 min, respectively (P=0.012 and 0.017).
Conclusions: The onset of 13CO2-enrichment reflected the degradation of glycosyl-[13C]ureides by glucose ureide hydrolase. The predosing with unlabelled ureides prior to pulse labelling with cellobiose-[13C]ureide and glucose-[13C]ureide (the latter is the key substance of the enzymatic sugar-ureide degradation) led to an induction of enzyme activity and resulted in a more precise and similar estimation of the OCTT when using both 13C-labelled ureides.
This is a preview of subscription content, access via your institution
Access options
Subscribe to this journal
Receive 12 print issues and online access
$259.00 per year
only $21.58 per issue
Buy this article
- Purchase on SpringerLink
- Instant access to the full article PDF.
USD 39.95
Prices may be subject to local taxes which are calculated during checkout






Similar content being viewed by others
References
Barrie A, Davies JE, Park AJ & Workmann CT (1989): Continuous-flow stable isotope analysis for biologists. Spectroscopy 4, 42–52.
Brösicke H (1987): Bestimmung der Fettsäureoxidation Frühgeborener mit dem 13CO2 Atemtest während kontinuierlicher 13C-Triolein-Infusion. In Klinische Ernährung, eds FW Ahnefeld, W Hartig, E Holm & G Kleinberger, pp 4–17. München, Bern, Wien, San Francisco: Zuckschwerdt.
Christian M, Morrison D, Dodson B, Preston T, Amarri S, Franchini F, Edwards C & Weaver L (2002): Measurement of oro-cecal transit time in young children using lactose [13C] ureide requires further validation. J. Pediatr. Gastroenterol. Nutr. 34, 570–571.
Geypens B, Bennink R, Peeters M, Evenepoel P, Mortelmans L, Maes B, Ghoos Y & Rutgeerts P (1999): Validation of the lactose-[13C]ureide breath test for determination of orocecal transit time by scintigraphy. J. Nucl. Med. 40, 1451–1455.
Heine WE, Berthold HK & Klein PD (1995): A novel stable isotope breath test: 13C-labelled glycosyl ureides used as noninvasive markers of intestinal transit time. Am. J. Gastroenterol. 90, 93–98.
Jackson AA, Bundy R, Hounslow A, Murphy JL & Wootton SA (1999): Metabolism of lactose-[13C]ureide and lactose-[15N,15N]ureide in normal adults consuming a diet marginally adequate in protein. Clin. Sci. 97, 547–555.
Leitzmann P, Heine W, Wutzke KD, von Bismarck P, Dorlöchter L, Miera O, Bührlen M, Corneließen BW & Höcker C (1998): Blood glucose, gastric emptying, and oro-coecal transit time after a conventional breakfast vs. a Kollath breakfast. Z. Ernährungswiss. 37, 31–37.
King CE & Toskes PP (1986): Comparison of the 1-gram [14C]xylose, 10-gram lactulose-H2, and 80-gram glucose-H2 breath test in patients with small intestine bacterial overgrowth. Gastroenterology 91, 1447–1451.
Mohr C, Heine WE & Wutzke KD (1999): Clostridium innocuum: a glucose ureide splitting inhabitant of the human microbial flora. Biochim. Biophys. Acta 1472, 550–554.
Morrison DJ, Zavoshy R, Edwards CA, Dodson B, Preston T & Weaver LT (1998): Lactose [13C]ureide as a marker for colonic fermentation and the deconvolution of a complex 13CO2 breath test curve. Biochem. Soc. Trans. 26, 184.
Morrison DJ, Dodson B & Preston T (1999): Measurement of urinary total 13C and 13C urea by isotope ratio mass spectrometry after administration of lactose [13C]-ureide. Rapid Commun. Mass Spectrom. 13, 1252–1256.
Radke M, Heine W, Wutzke KD, Leitzmann P & Walther F (1995): Tracer kinetic studies on a methionine-supplemented soy-based infant formula using 1-13C- and 15N-methionine as tracers. J. Pediatr. Gastroenterol. Nutr. 21, 209–214.
Ruemmele FM, Heine WE, Keller KM & Lentze MJ (1997): Metabolism of glycosyl ureides by human intestinal brush border enzymes. Biochim. Biophys. Acta. 1336, 275–280.
Rumessen JJ, Hamberg O & Gudmand-Hoyer E (1990): Interval sampling of end-expiratory hydrogen (H2) concentrations to quantify carbohydrate malabsorption by means of lactulose standards. Gut 31, 37–42.
Sarno S, Erasmus LP, Haslbeck M & Holzl R (1993): Orocaecal transit-time by the H2 method: effects of definitions of caecal entry and test meal. Ital. J. Gastroenterol. 25, 55–64.
Schoeller DA, Klein PD, Watkins JB, Heim T & MacLean Jr WC (1980): 13C abundances of nutrients and the effect of variations in 13C isotopic abundances of test meals formulated for 13CO2 breath tests. Am. J. Clin. Nutr. 33, 2375–2385.
Van den Driessche M, Van Malderen N, Geypens B, Ghoos Y & Veereman-Wauters G (2000): Lactose-[13C]ureide breath test: a new, noninvasive technique to determine orocecal transit time in children. J. Pediatr. Gastroenterol. Nutr. 31, 433–488.
Vantrappen GR, Rutgeerts PJ, Ghoos YF & Hiele MI (1989): Mixed triglyceride breath test: a noninvasive test of pancreatic lipase activity in the duodenum. Gastroenterology 96, 1126–1134.
Wilberg S, Pieramico O & Malfertheiner P (1990): Der H2-Lactulose-Atemtest in der Diagnostik der intestinalen Transitzeit. Leber Magen Darm 20, 129–137.
Wutzke KD, Heine W, Plath C, Müller M & Uhlemann M (1992): Whole-body protein parameters in premature infants: a comparison of different 15N tracer substances and different methods. Pediatr. Res. 31, 95–101.
Wutzke KD, Heine WE, Plath C, Leitzmann P, Radke M, Mohr C, Richter I, Gülzow HU & Hobusch D (1997): Evaluation of oro-coecal transit time: a comparison of the lactose-[13C, 15N]ureide 13CO2- and the lactulose H2- breath test. Eur. J. Clin. Nutr. 51, 11–19.
Wutzke KD, Radke M, Breuel K, Gurk S, Lafrenz JD & Heine WE (1999): Triglyceride oxidation in cystic fibrosis: a comparison between different 13C-labeled tracer substances. J. Pediatr. Gastroenterol. Nutr. 29, 148–154.
Author information
Authors and Affiliations
Contributions
Guarantor: KD Wutzke.
Contributor: BG was the principal investigator and doctoral candidate of KDW.
Corresponding author
Rights and permissions
About this article
Cite this article
Wutzke, K., Glasenapp, B. The use of 13C-labelled glycosyl ureides for evaluation of orocaecal transit time. Eur J Clin Nutr 58, 568–572 (2004). https://doi.org/10.1038/sj.ejcn.1601846
Received:
Revised:
Accepted:
Published:
Issue date:
DOI: https://doi.org/10.1038/sj.ejcn.1601846
Keywords
This article is cited by
-
The metabolic fate of doubly labelled lactose-[13C, 15N]ureide after pre-dosing with different ureides
European Journal of Clinical Nutrition (2010)
-
The effect of pre- and probiotics on the colonic ammonia metabolism in humans as measured by lactose-[15N2]ureide
European Journal of Clinical Nutrition (2010)
-
The duration of enzyme induction in orocaecal transit time measurements
European Journal of Clinical Nutrition (2007)
-
15N-excretion of heat-killed Lactobacillus casei in humans
European Journal of Clinical Nutrition (2006)
-
13C- and 15N-incorporation of doubly stable isotope labelled Lactobacillus johnsonii in humans
European Journal of Clinical Nutrition (2005)

