Abstract
Objective: Assessment of postprandial glycaemic response to four nutritional feeds with different macronutrient and fibre composition.
Design: A randomized, double-blind, crossover study.
Setting: University of Maastricht, the Netherlands.
Subjects: A total of 10 healthy volunteers and 10 patients with type II diabetes.
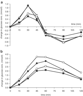
Interventions: Subjects received 200 kcal of four enteral nutrition products (two standard products and two diabetes-specific products). Fasting and postprandial plasma glucose were measured for 2 h. Peak glucose level and area under the curve were calculated.
Results: In healthy volunteers and diabetic patients, the feed with a low carbohydrate (CHO), high monounsaturated fatty acid (MUFA) and high fibre content significantly decreased peak glucose concentration and area under the curve compared to the feeds with standard composition.
Conclusions: Special feeds with a low CHO, high MUFA and high fibre content improve glycaemic balance and therefore should be considered in diabetic patients who are in need of nutritional support.
Sponsorship: Numico Research BV, The Netherlands.
This is a preview of subscription content, access via your institution
Access options
Subscribe to this journal
Receive 12 print issues and online access
$259.00 per year
only $21.58 per issue
Buy this article
- Purchase on SpringerLink
- Instant access to the full article PDF.
USD 39.95
Prices may be subject to local taxes which are calculated during checkout

Similar content being viewed by others
References
Allison DB, Paultre F, Maggio C, Mezzitis N & Pi-Sunyer FX (1995): The use of areas under curves in diabetes research. Diabetes Care 18, 245–250.
American Diabetes Association (2002): Evidence-based nutrition principles and recommendations for the treatment and prevention of diabetes and related complications. Position statement. Diabetes care 25, 202–212.
Campbell LV, Marmot PE, Dyer JA, Borkman M & Storlien LH (1994): The high-monounsaturated fat diet as a practical alternative for NIDDM. Diabetes Care 17, 177–182.
Carmen Crespillo M del, Olveira G, de Adana MS, Rojo Martinez G, Garcia-Aleman J, Olvera P, Soriguer P & Munoz A (2003): Metabolic effects of an enteral nutrition formula for diabetes: comparison with standard formulas in patients with type 1 diabetes. Clin. Nutr. 22, 483–487.
Chandalia M, Garg A, Lutjohann D, von Bergmann K, Grundy SM & Brinkley LJ (2000): Beneficial effects of high dietary fiber intake in patients with type 2 diabetes mellitus. N. Engl. J. Med. 342, 1392–1398.
Consensus Roundtable on Nutrition Support of Tube-Fed Patients with Diabetes (1998): Consensus statement. Clin. Nutr. 17, 63–65.
Craig LD, Nicholson S, Silverstone FA & Kennedy RD (1998): Use of a reduced-carbohydrate, modified-fat enteral formula for improving metabolic control and clinical outcomes in long-term care residents with type 2 diabetes: result of a pilot trial. Nutrition 14, 529–534.
Garg A, Bantle JP, Henry RR, Coulston AM, Griver KA, Raatz SK, Brinkley L, Chen YD, Grundy SM, Huet BA & Raeven GM (1994): Effects of varying carbohydrate content of diet in patients with non-insulin-dependent diabetes mellitus. JAMA 271, 1421–1428.
Hanefeld M & Temelkova Kurktschiev T (2002): Control of post-prandial hyperglycemia—an essential part of good diabetes treatment and prevention of cardiovascular complications. Nutr. Met. Cardiovasc. Dis. 12, 98–107.
Heine RJ, Balkau B, Ceriello A, Del Prato S, Horton ES & Taskinen MR (2004): What does postprandial hyperglycaemia mean? Diabetes Med. 21, 208–213.
Jenkins DJA, Kendall CWC, Augustin LSA, Franceschi S, Hamidi M, Marchie A, Jenkins AL & Axelsen M (2002): Glycemic index: overview of implications in health and disease. Am. J. Clin. Nutr. 76, 266S–273S.
Rayner CK, Samsom M, Jones KL & Horowitz M (2001): Relationships of upper gastrointestinal motor and sensory function with glycemic control. Diabetes Care 24, 371–381.
Sanz-Paris A, Calvo L, Guallard A, Salazar I & Albero R (1998): High-fat versus high-carbohydrate enteral formulae: effect on blood glucose, C-peptide, and ketones in patients with type 2 diabetes treated with insulin or sulfonylurea. Nutrition 14, 840–845.
Sinclair AJ, Gadsby R, Penfold S, Croxson SC & Bayer AJ (2001): Prevalence of diabetes in care home residents. Diabetes Care 24, 1066–1068.
Thefeld W (1999): Prevalence of diabetes mellitus in the adult German population. Gesundheitswesen 61, S85–S89.
Toeller M, Klischan A, Heitkamp G, Schumacher W, Milne R, Buyken A, Karamanos B & Gries FA (1996): Nutritional intake of 2868 IDDM patients from 30 centres in Europe. EURODIAB IDDM Complications Study Group. Diabetologia 39, 929–939.
United Kingdom Prospective Diabetes Study Group (1998): United Kingdom Prospective Diabetes Study 24: a 6-year, randomized, controlled trial comparing sulfonylurea, insulin, and metformin therapy in patients with newly diagnosed type 2 diabetes that could not be controlled with diet therapy. Ann. Intern. Med. 128, 165–175.
van den Berghe G, Wouters P, Weekers F, Verwaest C, Bruyninckx F, Schetz M, Vlasselaers D, Ferdinande P, Lauwers P & Bouillon R (2001): Intensive insulin therapy in the surgical intensive care unit. N. Engl. J. Med. 345, 1359–1367.
Acknowledgements
We thank all volunteers for their participation and G van Kranenburg for his technical assistance. Royal Numico NV sponsored the study and supplied the nutritional products.
Author information
Authors and Affiliations
Contributions
Guarantor: Z Hofman.
Contributors: Protocol design: ZH, JDEvD and HK, Data analysis: ZH and JDEvD. Manuscript preparation: ZH, JDEvD and HK. Subject inclusion: CdL and HK. Data collection: CdL and HK.
Corresponding author
Rights and permissions
About this article
Cite this article
Hofman, Z., van Drunen, J., de Later, C. et al. The effect of different nutritional feeds on the postprandial glucose response in healthy volunteers and patients with type II diabetes. Eur J Clin Nutr 58, 1553–1556 (2004). https://doi.org/10.1038/sj.ejcn.1602007
Received:
Revised:
Accepted:
Published:
Issue date:
DOI: https://doi.org/10.1038/sj.ejcn.1602007
Keywords
This article is cited by
-
Inpatient Enteral and Parental Nutrition for Patients with Diabetes
Current Diabetes Reports (2011)
-
Glycaemic control in type II diabetic tube-fed patients with a new enteral formula low in carbohydrates and high in monounsaturated fatty acids: a randomised controlled trial
European Journal of Clinical Nutrition (2005)


