Abstract
Objective: To examine maternal intake of a mildly alcoholic beverage (pulque) during pregnancy and lactation, and its potential effect on postpartum child growth and attained size.
Design: A prospective cohort study that followed mothers (during pregnancy and lactation) and their offspring (from birth to approximately 57 months of age).
Setting: Six villages in rural, central Mexico.
Subjects: Subjects are 58 mother–child pairs. Pulque intake was measured as part of a dietary assessment that was conducted for 2days/month during pregnancy and early lactation.
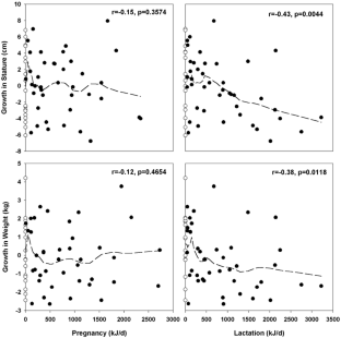
Results: Most mothers consumed pulque during pregnancy (69.0%) and lactation (72.4%). Among pulque drinkers, the average ethanol intake was 125.1 g/week during pregnancy and 113.8 g/week during lactation. Greater pulque intake during lactation, independent of intake during pregnancy, was associated with slower weight and linear growth from 1 to 57 months, and smaller attained size at 57 months. Low-to-moderate pulque intake during pregnancy, in comparison to either nonconsumption or heavy intake, was also associated with greater stature at 57 months.
Conclusions: Pulque intake during lactation may have adversely influenced postnatal growth in this population. Public health interventions are urgently needed in Mexico to reduce heavy intake of pulque by pregnant and lactating women, and to replace intake with foods that provide the vitamins and minerals present in the traditional alcoholic beverage.
This is a preview of subscription content, access via your institution
Access options
Subscribe to this journal
Receive 12 print issues and online access
$259.00 per year
only $21.58 per issue
Buy this article
- Purchase on SpringerLink
- Instant access to the full article PDF.
USD 39.95
Prices may be subject to local taxes which are calculated during checkout


Similar content being viewed by others
References
Allebeck P & Olsen J (1998): Alcohol and fetal damage. Alcohol Clin. Exp. Res. 22, 329S–332S.
Allen LH, Backstrand JR, Chávez A & Pelto GH (1992): Humans Cannot Live by Tortillas Alone: The Results of the Mexico Nutrition CRSP. Final report to USAID Storrs, CT: Department of Nutritional Sciences, The University of Connecticut.
Allen LH, Rosado JL, Casterline JE, López P, Muñoz E, Garcia OP & Martinez H (2000): Lack of hemoglobin response to iron supplementation in anemic Mexican preschoolers with multiple micronutrient deficiencies. Am. J. Clin. Nutr. 71, 1485–1494.
Backstrand JR (1990): Patterns of household food intake in rural, central Mexico Unpublished Ph.D. dissertation, The University of Connecticut, Storrs, CT.
Backstrand JR, Allen LH, Black AK, de Mata M & Pelto GH (2002): Diet and iron status of nonpregnant women in rural central Mexico. Am. J. Clin. Nutr. 76, 156–164.
Backstrand JR, Allen LH, Martinez E & Pelto GH (2001): Maternal consumption of pulque, a traditional central Mexican alcoholic beverage: relationships to infant growth and development. Public Health Nutr. 4, 883–891.
Backstrand JR, Allen LH, Pelto GH & Chávez A (1997): Examining the gender gap in nutrition: an example from rural Mexico. Soc. Sci. Med. 44, 1751–1759.
Backstrand JR, Pelto GH & Allen LH (1999): Maternal alcohol intake and child growth and development in rural Mexico. FASEB J. 13, A879 (abstract).
Bell GI & Lau K (1995): Perinatal and neonatal issues of substance abuse. Pediatr. Clin. North Am. 42, 268–281.
Calloway DH, Murphy SP, Beaton GH & Lein D (1993): Estimated vitamin intakes of toddlers: predicted prevalence of inadequacy in village populations in Egypt, Kenya, and Mexico. Am. J. Clin. Nutr. 58, 376–384.
Cohen RA (1999): An introduction to PROC LOESS for local regression. Paper 273 presented at SAS Users Group International 24th Annual Conference, Miami, FL.
Cravioto RO, Massieu G & Guzmán J (1951): Composicíon de alimentos mexicanos. Ciencia. 11, 126–155.
Day NL, Zuo Y, Richardson GA, Goldschmidt L, Larkby CA & Cornelius MD (1999): Prenatal alcohol use and offspring size at 10 years of age. Alcohol Clin. Exp. Res. 23, 863–869.
Dibley MJ, Goldsby JB, Staehling NY & Trowbridge FL (1987): Development of normalized curves for the international growth reference: historical and technical considerations. Am. J. Clin. Nutr. 46, 736–748.
Flores-Huerta S, Hernández-Montes H, Argote RM & Villalpando S (1992): Effects of ethanol consumption during pregnancy and lactation on the outcome and postnatal growth of the offspring. Ann. Nutr. Metab. 36, 121–128.
Kleinbaum DG, Kupper LL & Muller KE (1988): Applied regression analysis and other multivariate methods 2nd ed. Boston: PWS-Kent Publishing Co.
Larroque B & Kaminski M (1998): Prenatal alcohol exposure and development at preschool age: main results of a French study. Alcohol Clin. Exp. Res. 22, 295–303.
Little RE, Lambert MD, Worthington-Roberts B & Ervin CH (1994): Maternal smoking during lactation: relation to infant size at one year of age. Am. J. Epidemiol. 140, 544–554.
Medina-Mora E, Villatoro J, Caraveo J & Colmenares E (2000): Patterns of alcohol consumption and related problems in Mexico: results from two general population surveys. In Surveys of drinking patterns and problems in seven developing countries. Geneva: World Health Organization.
Mennella JA (2001): Regulation of milk intake after exposure to alcohol in mother's milk. Alcohol Clin. Exp. Res. 25, 590–593.
Mennella JA & Beauchamp GK (1991): The transfer of alcohol to human milk. Effects on flavor and the infant's behavior. N. Engl. J. Med. 325, 981–985.
Murillo-Fuentes L, Artillo R, Carreras O & Murillo L (2001): Effects of maternal chronic alcohol administration in the rat: lactation performance and pup's growth. Eur. J. Nutr. 40, 147–154.
Murphy SP, Beaton GH & Calloway DH (1993): Estimated mineral intakes of toddlers: predicted prevalence of inadequacy in village populations in Egypt, Kenya and Mexico. Am. J. Clin. Nutr. 56, 565–572.
Oyama LM, Couto RC, Couto GEC, Damaso AR & do Nascimento CMO (2000): Ethanol intake during lactation I. Effects on dam's metabolism and pup's body weight gain. Alcohol 21, 195–200.
Sampson PD, Bookstein FL, Barr HM & Streissguth AP (1994): Prenatal alcohol exposure, birthweight, and measures of child size from birth to age 14 years. Am. J. Public Health 84, 1421–1428.
Steinkraus KH (1996) (ed). Handbook of Fermented Foods, 2nd edn. New York: Marcel Dekker.
Subramanian MG (1997): Evaluation of lactational parameters after alcohol administration for four days during early or midlactation in the rat. Alcohol Clin. Exp. Res. 21, 799–803.
Super JC & Vargas LA (2000): The history and culture of food and drink in the Americas. In The Cambridge World History of Food (eds). Kiple KF, Ornelas EK Cambridge: Cambridge University Press. pp 248–254.
Villalpando S, Flores-Huerta S, Fajardo A & Hernandez-Beltran M (1993): Ethanol consumption during pregnancy and lactation. Changes in the nutritional status of predominantly breastfeeding mothers. Arch. Med. Res. 24, 333–338.
Acknowledgements
This study was supported in part by US Agency for International Development Grants DAN-1309-G-SS-1070 and DAN-1309-A-00-9090-00 and also NIH Grant R15 DEO9863.
Author information
Authors and Affiliations
Contributions
Guarantor: JR Backstrand.
Contributors: JRB conceived and prepared the manuscript, conducted all data analyses, participated in the instrument design, and supervised data management activities. The original Mexico NCRSP project was designed and supervised by LHA and GHP. The followup study was designed and supervised by AHG.
Disclaimers: None
Corresponding author
Rights and permissions
About this article
Cite this article
Backstrand, J., Goodman, A., Allen, L. et al. Pulque intake during pregnancy and lactation in rural Mexico: alcohol and child growth from 1 to 57 months. Eur J Clin Nutr 58, 1626–1634 (2004). https://doi.org/10.1038/sj.ejcn.1602019
Received:
Revised:
Accepted:
Published:
Issue date:
DOI: https://doi.org/10.1038/sj.ejcn.1602019
Keywords
This article is cited by
-
Genomic profiling of bacterial and fungal communities and their predictive functionality during pulque fermentation by whole-genome shotgun sequencing
Scientific Reports (2020)
-
Antibiotic resistance and tolerance to simulated gastrointestinal conditions of eight hemolytic Bacillus pumilus isolated from pulque, a traditional Mexican beverage
Food Science and Biotechnology (2017)


