Abstract
Objective:
To determine the prevalence of anemia and iron status as assessed by biochemical markers and to explore the associations between markers of iron status and iron intake.
Study area and population:
Five hundred healthy women of reproductive age from the Bhaktapur district of Nepal were included in the study.
Methods:
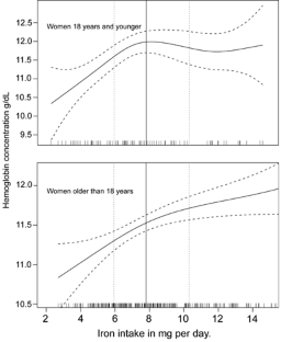
A cluster sampling procedure was applied for this cross-sectional study. Women without any ongoing infection aged 13–35 years were selected randomly from the population. We measured the plasma concentration of hemoglobin (Hb), ferritin and transferrin receptors. Dietary information was obtained by a food frequency questionnaire and two 24-h dietary recalls.
Results:
The prevalence of anemia (Hb concentration <12 g/dl) was 12% (n=58). The prevalence of depleted iron stores (plasma ferritin <15 μg/l) was 20% (n=98) whereas the prevalence of iron deficiency anemia (anemia, depleted iron stores with elevated transferrin receptor i.e. >1.54 mg/l) was 6% (n=30). Seven percent (n=35) of women were having iron-deficient erythropoiesis (depleted iron stores and elevated transferrin receptor but normal Hb). Out of the 58 anemic women, 41 (71%) and 31 (53%) were also having elevated plasma transferrin receptor and depleted iron stores, respectively. Fifty-four percent of the women ate less than the recommended average intake of iron. The main foods contributing to dietary iron were rice, wheat flour and green and dry vegetables.
Conclusions:
The prevalence of anemia in our study was substantially lower than the national figure for non-pregnant women. Only about half of the women with anemia were also having depleted iron stores, suggesting that other causes of anemia may be prevalent in this population.
Sponsorship:
Norwegian Universities Committee for Development, Research and Education (NUFU).
This is a preview of subscription content, access via your institution
Access options
Subscribe to this journal
Receive 12 print issues and online access
$259.00 per year
only $21.58 per issue
Buy this article
- Purchase on SpringerLink
- Instant access to the full article PDF.
USD 39.95
Prices may be subject to local taxes which are calculated during checkout



Similar content being viewed by others
References
Agarwal DK, Agarwal KN, Tripathi AM (1987). Nutritional status in rural pregnant women of Bihar and Uttar Pradesh. Ind Pediatr 24, 119–125.
Allen LH (2000). Anemia and iron deficiency: effects on pregnancy outcome. Am J Clin Nutr 71 (5 Suppl), 1280S–1284S.
Asobayire FS, Adou P, Davidsson L, Cook JD, Hurrell RF (2001). Prevalence of iron deficiency with and without concurrent anemia in population groups with high prevalences of malaria and other infections: a study in Cote d'Ivoire. Am J Clin Nutr 74, 776–782.
Belsey EM (1991). Menstrual bleeding patterns in untreated women and with long-acting methods of contraception. Task force on long-acting systemic agents for fertility regulation. Adv Contracept 7, 257–270.
Bondevik GT, Eskeland B, Ulvik RJ, Ulstein M, Lie RT, Schneede J et al. (2000). Anaemia in pregnancy: possible causes and risk factors in Nepali women. Eur J Clin Nutr 54, 3–8.
Bruner AB, Joffe A, Duggan AK, Casella JF, Brandt J (1996). Randomised study of cognitive effects of iron supplementation in non-anaemic iron-deficient adolescent girls. Lancet 348, 992–996.
CDC/MMWR (1998). Centers for Disease Control. CDC, USA. Criteria for anaemia in children and child bearing aged women. CDC MMWR 1998. http://www.cdc.gov/mmwr//PDF/rr/rr4703.pdf.
Cook JD, Finch CA, Smith NJ (1976). Evaluation of the iron status of a population. Blood 48, 449–455.
Dallman PR, Reeves JD, Driggers DA, Lo EY (1981). Diagnosis of iron deficiency: the limitations of laboratory tests in predicting response to iron treatment in 1-year-old infants. J Pediatr 99, 376–381.
DeMaeyer E, Adiels-Tegman M (1985). The prevalence of anaemia in the world. World Health Stat Q 38, 302–316.
Dreyfuss ML, Stoltzfus RJ, Shrestha JB, Pradhan EK, LeClerq SC, Khatry SK, et al. (2000). Hookworms, malaria and vitamin A deficiency contribute to anemia and iron deficiency among pregnant women in the plains of Nepal. J Nutr 130, 2527–2536.
Etlinge JL, Sribney WM (1996). Some basic concepts for design based analysis of complex survey data. Stata Tech Bull 31, 3–6.
Gibson R (1990). Principle of Nutritional Assessment. Oxford University Press: Oxford.
Hallberg L, Bengtsson C, Lapidus L, Lindstedt G, Lundberg P-A, Hulten L (1993). Screening for iron deficiency: an analysis based on bone-marrow examinations and serum ferritin determinations in a population sample of women. Br J Haematol 85, 787–798.
Hinton PS, Giordano C, Brownlie T, Haas JD (2000). Iron supplementation improves endurance after training in iron-depleted, nonanemic women. J Appl Physiol 88, 1103–1111.
HMG, Nepal (2001). His Majesty Government. National population census 2001, Central Bureau of Statistics HMG, Nepal.
Kapil U, Pathak P, Tandon M, Singh C, Pradhan R, Dwivedi SN (1999). Micronutrient deficiency disorders amongst pregnant women in three urban slum communities of Delhi. Indian Pediatr 36, 983–989.
Lozoff B, Jimenez E, Wolf AW (1991). Long-term developmental outcome of infants with iron deficiency. N Engl J Med 325, 687–694.
Milman N, Kirchhoff M, Jorgensen T (1992). Iron status markers, serum ferritin and hemoglobin in 1359 Danish women in relation to menstruation, hormonal contraception, parity, and postmenopausal hormone treatment. Ann Hematol 65, 96–102.
NAP (2003). Dietary References Intakes: Application in Dietary Planning. National Academy Press 2003.
NFHS (1996). Nepal Family Health Survey, 1996, His Majesty's Government of Nepal, Ministry of Health, Department of Health Service.
Punnonen K, Irjala K, Rajamaki A (1997). Serum transferrin receptor and its ratio to serum ferritin in the diagnosis of iron deficiency. Blood 89, 1052–1057.
Scholl TO, Hediger ML, Fischer RL, Shearer JW (1992). Anemia vs iron deficiency: increased risk of preterm delivery in a prospective study. Am J Clin Nutr 55, 985–988.
Shah BK, Gupta P (2002). Anemia in adolescent girls: a preliminary report from semi-urban Nepal. Indian Pediatr 39, 1126–1130.
Suharno D, West CE, Muhilal Logman MH, de Waart FG, Karyadi D, Hautvast JG (1992). Cross-sectional study on the iron and vitamin A status of pregnant women in West Java, Indonesia. Am J Clin Nutr 56, 988–993.
Tiwari K, Seshadri S (2000). The prevalence of anemia and morbidity profile among school going adolesecent girls of urban Kathmandu, Nepal. J Nepal Med Assoc 39, 319–325.
UNDP (1998). Task force for epidemiological research on reproductive health, UNDP, effects of contraceptives on hemoglobin and ferritin. Contraception 58, 262–273.
WHO (2000). Nutrition in South-East Asia. New Delhi, World Health Organization. Regional Office for South-East Asia: New Delhi.
WHO U (1998). World Health Organization, UNICEF & UNU Iron Deficiency: Indicators for Assessment and Strategies for Prevention 1998. World Health Organization: Geneva.
Wood S (2000). Modelling and Smoothing Parameter Estimation with Multiple Quadratic Penalties. J R Statist Soc B 62, 413–428.
Wordwood M (1980). Serum Ferritin. In: Jacob A, Wordwood M (eds) Iron in Biochemistry and Medicine, II. Academic Press: London.
WorldFood (1996). WorldFood Dietary Assessment System. A Computer Software Package. The Regents of the University of California: Berkeley, CA.
Acknowledgements
We thank all the women who participated in this study. We are also very grateful for the contribution of field, computer and administrative staff of the Child Health Research Project in the Pediatric Department, Institute of Medicine, Kathmandu. We thank the staff and the founder Shyam Sunder Dhaubhadel of the Siddhi Memorial Hospital in Bhaktapur for their cooperation. Finally, we thank the staff at the Laboratory for Clinical Biochemistry at Haukeland University Hospital, in particular Tone Minde and Hans Henriksen for their proficient processing of the plasma specimens.
Author information
Authors and Affiliations
Corresponding author
Additional information
Guarantor: TA Strand.
Contributors: All authors contributed to the study design and in preparation of the manuscript. The first draft of the manuscript was written by RKC. TAS was the principle investigator of the study and HS was the overall project coordinator. RKA and HD were the Nepalese coordinators. MU was the main study physician and supervised the fieldwork and data collection. RU supervised the laboratory analysis of iron parameters and its interpretation.
Rights and permissions
About this article
Cite this article
Chandyo, R., Strand, T., Ulvik, R. et al. Prevalence of iron deficiency and anemia among healthy women of reproductive age in Bhaktapur, Nepal. Eur J Clin Nutr 61, 262–269 (2007). https://doi.org/10.1038/sj.ejcn.1602508
Received:
Revised:
Accepted:
Published:
Issue date:
DOI: https://doi.org/10.1038/sj.ejcn.1602508
Keywords
This article is cited by
-
Prevalence and factors associated with anemia in women of reproductive age across low- and middle-income countries based on national data
Scientific Reports (2023)
-
Comprehensive Anaemia Programme and Personalized Therapies (CAPPT): protocol for a cluster-randomised controlled trial testing the effect women’s groups, home counselling and iron supplementation on haemoglobin in pregnancy in southern Nepal
Trials (2022)
-
Identifying risk factors in explaining women’s anaemia in limited resource areas: evidence from West Bengal of India and Bangladesh
BMC Public Health (2022)
-
The prevalence of anemia and iron deficiency is more common in breastfed infants than their mothers in Bhaktapur, Nepal
European Journal of Clinical Nutrition (2016)


