Abstract
Objective:
To investigate 24-h urinary thiamine as a potential biomarker for thiamine intake for use in validation studies to assess the validity of dietary intake data collected by self-reporting dietary methods.
Subjects:
Seven male and six female healthy participants living for 30 days in a metabolic suite under strictly controlled conditions consuming their usual diet as assessed beforehand from four consecutive 7-day food diaries kept at home. During the 30-day study, all 24-h urine specimens were collected, validated for their completeness and analysed for thiamine.
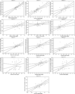
Results:
Thirty-day mean (±s.d.) calculated thiamine intake was 2.22±0.55 mg/day. Thirty-day mean (±s.d.) urinary excretion of thiamine was 526.5±193.0 μg/day (24.7±8.10% of intake). There was a highly significant correlation between individuals' 30-day means of thiamine intake and their mean excretion level (r=0.720; P=0.006), where 1 mg of thiamine intake predicted 268.2 μg of thiamine in urine. The correlations between intake and excretion remained significant when measurement from a single 24-h urine collection was used (r=0.56).
Conclusion:
Twenty-four-hour urinary thiamine can be used as a concentration biomarker for thiamine intake in dietary validation studies.
This is a preview of subscription content, access via your institution
Access options
Subscribe to this journal
Receive 12 print issues and online access
$259.00 per year
only $21.58 per issue
Buy this article
- Purchase on SpringerLink
- Instant access to the full article PDF.
USD 39.95
Prices may be subject to local taxes which are calculated during checkout


Similar content being viewed by others
References
Beaton GH, Milner J, McGuire V, Feather TE, Little JA (1983). Source of variance in 24-h dietary recall data: implications for nutrition study design and interpretation. Carbohydrate sources, vitamins, and minerals. Am J Clin Nutr 37, 986–995.
Bingham S, Cummings JH (1983). The use of 4-aminobenzoic acid as a marker to validate the completeness of 24 h urine collections in man. Clin Sci (Lond) 64, 629–635.
Bingham SA (2002). Biomarkers in nutritional epidemiology. Public Health Nutr 5, 821–827.
Bingham SA, Cummings JH (1985). Urine nitrogen as an independent validatory measure of dietary intake: a study of nitrogen balance in individuals consuming their normal diet. Am J Clin Nutr 42, 1276–1289.
Bingham SA, Gill C, Welch A, Cassidy A, Runswick SA, Oakes S et al. (1997). Validation of dietary assessment methods in the UK arm of EPIC using weighed records, and 24-h urinary nitrogen and potassium and serum vitamin C and carotenoids as biomarkers. Int J Epidemiol 26 (Suppl 1), S137–S151.
Bötticher B, Bötticher D (1986). Simple rapid determination of thiamin by a HPLC method in foods, body fluids, urine and faeces. Int J Vitam Nutr Res 56, 155–159.
Brody T (1999). Nutritional Biochemistry. Academic Press: London (Chap 9, p 607).
Brunner E, Stallone D, Juneja M, Bingham S, Marmot M (2001). Dietary assessment in Whitehall II: comparison of 7 d diet diary and food-frequency questionnaire and validity against biomarkers. Br J Nutr 86, 405–414.
Department of Health (1991). Dietary Reference Values for Food, Energy and Nutrients for the UK. HMSO: London (report on health and social subjects no. 41).
Diaz GA, Banikazemi M, Oishi K, Desnick RJ, Gelb BD (1999). Mutations in a new gene encoding a thiamine transporter cause thiamine-responsive megaloblastic anaemia syndrome. Nat Genet 22, 309–312.
Elmadfa I, Majchrzak D, Rust P, Genser D (2001). The thiamine status of adult humans depends on carbohydrate intake. Int J Vitam Nutr Res 71, 217–221.
Food Standards Agency (2002). McCance and Widdowson's The Composition of Foods Sixth Summary Edition. Royal Society of Chemistry: Cambridge.
Gauch R, Leuenberger U, Muller U (1992). Determination of water-soluble vitamins B1, B2, B6 and B12 in milk using HPLC]. Z Lebensm Unters Forsch 195, 312–315.
Henderson L, Gregory J, Irving K, Swan G (2003). The National Diet and Nutrition Survey: Adults Aged 19–64 years (Volume 2: Energy, Protein, Carbohydrate, Fat and Alcohol Intake). HMSO: London.
Hilker DM, Somogyi JC (1982). Antithiamins of plant origin: their chemical nature and mode of action. Ann NY Acad Sci 378, 137–145.
Hoyumpa Jr AM, Nichols SG, Wilson FA, Schenker S (1977). Effect of ethanol on intestinal (Na, K) ATPase and intestinal thiamine transport in rats. J Lab Clin Med 90, 1086–1095.
ICNND, International Committee on Nutrition for National Defence (1963). Manual for Nutrition Surveys. National Institute of Health: Bethesda, MD.
Kaaks R, Riboli E, Sinha R (1997). Biochemical markers of dietary intake. IARC Sci Publ 142, 103–126.
Kaaks RJ (1997). Biochemical markers as additional measurements in studies of the accuracy of dietary questionnaire measurements: conceptual issues. Am J Clin Nutr 65, 1232S–1239S.
Levy G, Hewitt RR (1971). Evidence in man for different specialized intestinal transport mechanisms for riboflavin and thiamin. Am J Clin Nutr 24, 401–404.
Manore MM (2000). Effect of physical activity on thiamine, riboflavin, and vitamin B-6 requirements. Am J Clin Nutr 72, 598S–606S.
Mason HL, Williams RD (1942). The urinary excretion of thiamine as an index of the nutritional level: assessment of the value of a test dose. J Clin Invest 21, 247–255.
McKeown NM, Day NE, Welch AA, Runswick SA, Luben RN, Mulligan AA et al. (2001). Use of biological markers to validate self-reported dietary intake in a random sample of the European Prospective Investigation into Cancer United Kingdom Norfolk cohort. Am J Clin Nutr 74, 188–196.
Mickelsen O, Caster WO, Keys A (1947). A statistical evaluation of the thiamine and pyramin excretions of normal young men on controlled intakes of thiamine. J Biol Chem 168, 415–431.
Murata K (1982). Actions of two types of thiaminase on thiamin and its analogues. Ann NY Acad Sci 378, 146–156.
Nelson M, Black AE, Morris JA, Cole TJ (1989). Between- and within-subject variation in nutrient intake from infancy to old age: estimating the number of days required to rank dietary intakes with desired precision. Am J Clin Nutr 50, 155–167.
Potischman N (2003). Biologic and methodologic issues for nutritional biomarkers. J Nutr 133 (Suppl 3), 875S–880S.
Sauberlich HE, Herman YF, Stevens CO, Herman RH (1979). Thiamine requirement of the adult human. Am J Clin Nutr 32, 2237–2248.
Schoeller DA, van Santen E (1982). Measurement of energy expenditure in humans by doubly labeled water method. J Appl Physiol 53, 955–959.
Singleton CK, Martin PR (2001). Molecular mechanisms of thiamine utilization. Curr Mol Med 1, 197–207.
Sjoberg A, Slinde F, Arvidsson D, Ellegard L, Gramatkovski E, Hallberg L et al. (2003). Energy intake in Swedish adolescents: validation of diet history with doubly labelled water. Eur J Clin Nutr 57, 1643–1652.
Slimani N, Bingham S, Runswick S, Ferrari P, Day NE, Welch AA et al. (2003). Group level validation of protein intakes estimated by 24-h diet recall and dietary questionnaires against 24-h urinary nitrogen in the European Prospective Investigation into Cancer and Nutrition (EPIC) calibration study. Cancer Epidemiol Biomarkers Prev 12, 784–795.
Subar AF, Kipnis V, Troiano RP, Midthune D, Schoeller DA, Bingham S et al. (2003). Using intake biomarkers to evaluate the extent of dietary misreporting in a large sample of adults: the OPEN study. Am J Epidemiol 158, 1–13.
Subramanian VS, Marchant JS, Said HM (2006). Targeting and trafficking of the human thiamine transporter-2 in epithelial cells. J Biol Chem 281, 5233–5245.
Tasevska N, Runswick SA, Bingham SA (2006). Urinary potassium is as reliable as urinary nitrogen for use as a recovery biomarker in dietary studies of free living individuals. J Nutr 136, 1334–1340.
Tasevska N, Runswick SA, McTaggart A, Bingham SA (2005). Urinary sucrose and fructose as biomarkers for sugar consumption. Cancer Epidemiol Biomarkers Prev 14, 1287–1294.
van 't Veer P, Kardinaal AF, Bausch-Goldbohm RA, Kok FJ (1993). Biomarkers for validation. Eur J Clin Nutr 47 (Suppl 2), S58–S63.
Wareham NJ, Jakes RW, Rennie KL, Schuit J, Mitchell J, Hennings S et al. (2003). Validity and repeatability of a simple index derived from the short physical activity questionnaire used in the European Prospective Investigation into Cancer and Nutrition (EPIC) study. Public Health Nutr 6, 407–413.
Welch AA, McTaggart A, Mulligan AA, Luben R, Walker N, Khaw KT et al. (2001). DINER (Data Into Nutrients for Epidemiological Research) – a new data-entry program for nutritional analysis in the EPIC-Norfolk cohort and the 7-day diary method. Public Health Nutr 4, 1253–1265.
Westwig PH, Freed AM, Hagg JR (1946). Antithiamine activity of plant materials. J Biol Chem 165, 737–738.
Willett W (1998). Nutritional Epidemiology. Oxford University Press: New York (Chap 3, pp 39–42).
Ziporin ZZ, Nunes WT, Powell RC, Waring PP, Sauberlich HE (1965). Excretion of thiamine and its metabolites in the urine of young adult males receiving restricted intakes of the vitamin. J Nutr 85, 287–296.
Acknowledgements
We thank all the volunteers who participated in the study, our diet technicians Judith Wills and Valerie Church for preparing the study diets and taking care of the volunteers, and Anna-Maria Bedford for doing some of the thiamine analyses in urine. This study was funded by grants from the World Cancer Research Fund and the UK Medical Research Council.
Author information
Authors and Affiliations
Corresponding author
Additional information
Contributors: NT was involved in the study design, processed the dietary data, did the statistical analysis, interpreted the data and drafted the manuscript. NT and SAR recruited the subjects and were responsible for data collection and urine analysis. SAR introduced the method for urinary thiamine analysis. AMT helped with processing of the dietary data. SAB obtained the funding, initiated and supervised the project, designed the study and revised the manuscript. SAR and AMT commented on the manuscript. None of the authors had a conflict of interest.
Rights and permissions
About this article
Cite this article
Tasevska, N., Runswick, S., McTaggart, A. et al. Twenty-four-hour urinary thiamine as a biomarker for the assessment of thiamine intake. Eur J Clin Nutr 62, 1139–1147 (2008). https://doi.org/10.1038/sj.ejcn.1602829
Received:
Revised:
Accepted:
Published:
Issue date:
DOI: https://doi.org/10.1038/sj.ejcn.1602829
Keywords
This article is cited by
-
Twenty-four-hour urinary water-soluble vitamin levels correlate with their intakes in free-living Japanese university students
European Journal of Clinical Nutrition (2010)


