Figure 2

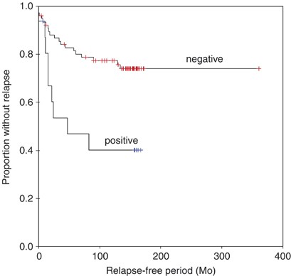
Kaplan–Meier curve demonstrating the relationship between protein expression of activated cytoplasmic JNK and relapse-free survival (P=0.003) for patients with superficial spreading melanoma.

Kaplan–Meier curve demonstrating the relationship between protein expression of activated cytoplasmic JNK and relapse-free survival (P=0.003) for patients with superficial spreading melanoma.