Abstract
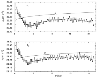
The atmosphere of Jupiter has a complex circulation which, until recently, has been observable only at the cloud tops1,2; the mechanisms driving the winds, and the nature of the interior circulation, remained unknown3. Recent analyses4,5,6 of the radio signal from the Galileo probe, obtained during its descent into the jovian atmosphere, have suggested a vigorous interior circulation below the 4-bar level. Here we report an independent measurement of the winds below the cloud tops, making use of the data obtained by the two accelerometers on the descending probe. We find evidence for two distinct wind regimes, in general agreement with the Doppler radio measurements: a region of wind shear between 1 and 4 bar, where the wind speed increases dramatically with depth; and then a region of constant high-velocity winds down to at least the 17-bar level.
This is a preview of subscription content, access via your institution
Access options
Subscribe to this journal
Receive 51 print issues and online access
$199.00 per year
only $3.90 per issue
Buy this article
- Purchase on SpringerLink
- Instant access to the full article PDF.
USD 39.95
Prices may be subject to local taxes which are calculated during checkout



Similar content being viewed by others
References
Limaye, S. et al. Jovian winds from Voyager 2, Part I: zonal mean circulation. J. Atmos. Sci. 39, 1413–1432 (1982).
Beebe, R. F., Simon, A. A. & Huber, L. F. Comparison of Galileo Probe and Earth-based translation rates of Jupiter's equatorial clouds. Science 272, 841 (1996).
Pollack, J. B., Atkinson, D. H., Seiff, A. & Anderson, J. D. Retrieval of a wind profile from the Galileo Probe telemetry signal. Space Sci. Rev. 60, 143–178 (1992).
Atkinson, D. P., Pollack, J. B. & Seiff, A. Galileo Doppler measurements of the deep zonal winds at Jupiter. Science 272, 842–843 (1996).
Atkinson, D. H., Ingersoll, A. P. & Seiff, A. Deep winds on Jupiter as measured by the Galileo probe. Nature 388, 649–650 (1997).
Folkner, W. M. Earth-based radio tracking of the Galileo Probe for Jupiter wind estimation. Science 275, 844–845 (1997).
Seiff, A. & Knight, T. C. D. K. The Galileo Probe atmosphere structure instrument. Space Sci. Rev. 60, 203–232 (1992).
Seiff, A. et al. Structure of the atmosphere of Jupiter: Galileo Probe measurements. Science 272, 844–845 (1996).
Ingersoll, A. P. & Cuzzi, J. N. Dynamics of Jupiter's cloud bands. J. Atmos. Sci. 26, 981–985 (1969).
Anderson, J. D. in Jupiter (ed. Gehrels, J.) 113–121 (Univ. Arizona Press, Tucson, 1976).
Acknowledgements
We thank the Galileo Project and NASA's Planetary Atmospheres Program. This work was supported by NASA.
Author information
Authors and Affiliations
Corresponding author
Rights and permissions
About this article
Cite this article
Seiff, A., Blanchard, R., Knight, T. et al. Wind speeds measured in the deep jovian atmosphere by the Galileo probe accelerometers. Nature 388, 650–652 (1997). https://doi.org/10.1038/41721
Received:
Accepted:
Issue date:
DOI: https://doi.org/10.1038/41721


