Abstract
The inheritance of domestication traits distinguishing pearl millet (Pennisetum glaucum) from its wild relatives (P. mollissimum) was assessed in F2 progenies derived from a cross between a typical landrace of pearl millet and a wild ecotype. Despite a high level of recombination between the two genomes, the existence of preferential associations between some characters was demonstrated, leading, in particular, to cultivated-like phenotypes. Traits determining spikelet structure showed simple Mendelian inheritance. Moreover, the genes encoding these traits mapped in a linkage group where quantitative trait loci for spike size and tillering habit were found. This linkage group could correspond to one of the two chromosome segments that have already been shown to be involved in the variation for spikelet structure in progenies from several cultivated×wild crosses. A synthetic map of these two regions is given. The evolutionary significance of this genomic organization in relation to the domestication process is discussed, as well as its potential use for pearl millet genetic resources enhancement.
Similar content being viewed by others
Introduction
Pearl millet, Pennisetum glaucum ssp. glaucum (L.) R. Br., is one of the principal cereal crops of the semiarid regions of Africa and India. In these areas, characterized by low or erratic rainfall, high temperature and low soil fertility, pearl millet gives stable grain yields (Gupta, 1995). The wild forms of pearl millet (the P. mollissimum and P. violaceum ecotypes of P. glaucum ssp. monodii) are only found in Africa, where they have been involved in the domestication of the crop for several thousand years (Brunken et al., 1977). Domestication has yielded genetic modifications of some original traits of the wild plants. These traits define the domestication syndrome (Harlan, 1975). As for many cereals, the most important transformations in pearl millet, compared with its wild relatives, are the suppression of spikelet shedding, the size reduction of bristles and bracts leading to uncoated seed, the increase in seed size and spikelet pedicel length and the loss of dormancy. Regarding plant architecture and phenology, drastic changes are evidenced by the tillering habit (low number of tillers and hierarchy in the flowering of tillers) and spike length (gigantism), both resulting from an increase in apical dominance (e.g. in maize: Doebley et al., 1997). On an evolutionary scale, domestication is a recent event that could have been facilitated by simple Mendelian inheritance of the major characters of the domestication syndrome (Ladizinsky, 1985). This has already been shown in maize (Doebley & Stec, 1993; Dorweiler et al., 1993), foxtail-millet (Darmency & Pernès, 1986), barley and wheat (Hillman & Davies, 1990) for the shedding ability. In pearl millet, Joly (1984) has shown that shedding is controlled by the presence of a functional abscission layer on the rachis of the wild forms. She demonstrated that both shedding and seed coating have an oligogenic inheritance and that the genes involved are closely linked. This could explain the high frequency of domesticated phenotypes for these traits in backcrosses and F2 progenies between wild and cultivated forms of pearl millet (e.g. Niangado, 1981).
Harlan (1971) has suggested that pearl millet domestication was a relatively fast process, repeated independently in several places in a so-called ‘noncentre’. This assumption is consistent with the regional rather than phenotypical (cultivated vs. wild type) observed structuring of the isozyme genetic diversity in West Africa (Pernès, 1985; Tostain & Marchais, 1989). Furthermore, pearl millet shows a wide variation for spike length, shape and weight, grain colour and plant architecture (Brunken et al., 1977; Ouendeba et al., 1995). The wild relatives of pearl millet are still found in sympatry with the cultivated form in some areas of the Sahelian regions of Africa. Both P. glaucum and P. mollissimum are diploid (2n=2x=14), mainly cross-pollinated, fully interfertile and have the same genome size (Martel et al., 1997). They therefore belong to the same primary gene pool (Harlan, 1975). Despite the occurrence of gene flow, as witnessed by intermediate phenotypes in traditional fields (Marchais, 1994), the main phenotypical differences are maintained. Although pollen competition has been shown to play a role, it could not explain this situation fully (Robert et al., 1992). Unravelling the inheritance of the main characters distinguishing wild and cultivated forms of pearl millet appears to be a fundamental topic for understanding the dynamics of the domestication process.
This peculiar situation in the pearl millet gene pool offers a remarkable framework for addressing evolutionary questions about the number of genes involved in the domestication process and their genomic organization. The above-mentioned studies have partially documented this topic. The two main objectives of this study are, first, to give a synthetic view of the inheritance of characters involved in the domestication syndrome at the spikelet level based on crosses involving morphologically differentiated cultivated forms and, secondly, to unravel the general inheritance trend for millet plant architecture traits. The genomic organization underlying the domestication syndrome at these two levels will be inferred using an F2 population derived from a cross between a landrace of pearl millet and a wild relative.
Materials and methods
Plant material
An F2 population derived from a cultivated×wild hybrid was studied. The wild parent, P. mollissimum (187–80(4)), referred to as ‘Molli’ in the paper, is an S4 line generated from a natural wild population collected near Gao in Mali. The cultivated parent, P. glaucum cv. Souna (5338(1)), is an early-flowering landrace from Mali, where sympatry with wild forms still occurs. The cultivated plant was used as the female parent. The F2 population (364–87) was obtained from a single F1 plant (272–86(1)). The wild and cultivated progenitors were also self-pollinated. All these crosses were carried out at Gif sur Yvette, and an F2 population of 250 plants was sown. Plants were grown at a 16-h photoperiod for the first 6 weeks and a 12-h photoperiod during the subsequent 3 weeks to induce flowering with a temperature of 28°C during the day and 24°C at night. The plants were then randomly planted in a greenhouse with a spacing of 70 cm between plants.
Variables
Table 1 lists the morphological traits analysed. Robert & Sarr (1992) reported that spike and spikelet morphology and plant architecture highly discriminate these cultivated and wild phenotypes. Flowering characteristics were also scored. The protogyny index, PI, evaluates the potential incidence of self-pollen on receptive stigmas: when PI<1, all the stigmas of the inflorescence emerge before anthesis; when PI≤1, self-pollen as well as cross-pollen can be present at the same time (Joly & Sarr, 1985).
The carboxylic esterase E gene (EC 3.1.1.1)
Linkage between the esterase E locus and a locus involved in the expression of the length of the pedicel (PL) has been detected previously by Pernès (1986). Therefore, the Est-E gene was studied, as described by Sandmeier et al. (1981). The β-esterase E has a dimeric structure coded by a Mendelian gene with seven alleles scored in pearl millet.
Statistical procedures
Mendelian segregation and linkage analysis
Variables with an obvious bimodal distribution in the F2 were transformed into discrete variables using the incomplete moment method (Pearson, 1915). Mendelian segregation (mono- or digenic models) was tested using a chi-squared test. Independence between traits was tested with a chi-squared test. The recombination rates were estimated by the maximum likelihood method (Allard, 1956).
Our data concerning these Mendelian traits were compared with previously published results (Joly, 1984) in order to build a tentative consensus map of these characters in pearl millet.
Phenotypical assessment of the F2 progenies
A multivariate analysis was carried out with all the quantitative variables following the methodology described in Sarr & Pernès (1988). A principal components analysis was performed on the initial variables to generate fewer independent synthetic ones. Then, a dynamic clustering based on Euclidean distance was carried out on these variables to establish a classification. The robustness of this classification was tested using a stepwise discriminant analysis. Individuals that were not classified after the dynamic clustering were assigned to each group on the basis of the Mahalanobis distances. This discriminant analysis was first computed for the whole F2 population, including both parents and F1 individuals as additional passive elements. Then, the phenotypic similarity between progenies and parents was studied through a discriminant analysis including the wild and cultivated parents as a priori groups.
Detection of quantitative trait loci (QTL)
A preliminary approach to the identification of QTL involved in the domestication syndrome was carried out using the Est-E locus and traits with Mendelian inheritance as markers. The association of a marker and a putative QTL was tested using one-way ANOVA. The proportion of the total phenotypic proportion explained by each marker/Mendelian trait associated with a QTL was calculated as a R2 (ratio of the sum of squares explained by the marker/Mendelian trait to the total sum of squares).
Results
Genetic analysis of the spikelet structure
Table 2 gives the segregations observed for seed coating (Ct), existence or not of a long bristle (PB) and functional abscission layer (AL) in the F2 population together with the tests for Mendelian segregations. AL followed the 3:1 ratio, indicating the segregation of one gene with dominance of the wild phenotype for AL. The Ct and PB segregations were both consistent with the hypothesis of two independent genes (9:7) with dominance of the wild phenotype, but at the limit of significance for PB. No segregation distortion was detected. In addition, the esterase marker was confirmed to have a monogenic inheritance with codominant alleles (1:2:1 ratio).
Both pedicel length (PL) and bristle length (BL) were characterized by distinctly multimodal distributions. BL distribution exhibited two distinct classes. After transformation into a discrete variable, it fitted a two-gene model (segregation 9:7). The PL distribution showed two main modes and a minor one. If the minor class was combined with the closer mode (cultivated phenotype), then the segregation could be adjusted to the one-gene model (3:1 segregation). Taking into account the presence of the minor class, this result could reflect the interaction of a major gene with modifiers. The wild phenotype was dominant for these two traits (Table 2). The major gene encoding PL is linked to other genes involved in spikelet architecture, as shown by the genetic map built from our results (Fig. 1).
Segregation of quantitative traits
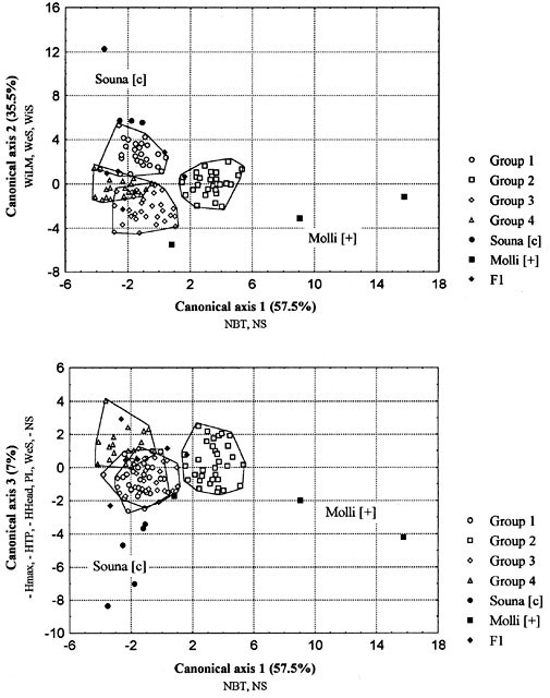
On the basis of the Kaiser criterion (eigenvalues greater than 1), the first six factors of the principal components analysis of the F2 were retained for the clustering analysis. They accounted for 75.7% of the total phenotypic variability. Four clusters of F2 individuals were obtained at the final step of the dynamic clustering procedure. Table 3 shows the level of discrimination between the four groups. The most discriminating characters were the number of basal tillers (NBT) and the total number of spikes (NS). Indeed, the first axis discriminated the groups on the basis of the general plant architecture: numbers of tillers, of spikes and, with a lesser contribution, number of nodes (NNPT), height (both HPT and HHead) and spike weight (WeS). It revealed a skewed distribution towards the cultivated type (Fig. 2). The position of the F1 progenies also suggested these general trends towards the dominance of the cultivated phenotype for plant architecture. However, on the second axis, F2s were continuously distributed between the two parents, and the F1 hybrids were located in the middle between the wild and cultivated groups. The traits that contributed the most to this function were related to the spike morphology (WeS, WiS, LoS), the size of the fourth leaf (WiLM, LLM) and, to a lesser extent, the spikelet characteristics (PL, GL, BL). All these characters concerned more particularly the domestication syndrome of the spike.
When the cultivated, wild and F1 groups were considered as a priori groups, the distribution of the F2 progenies included the two parental ones (Fig. 3). This indicated that recombination between the cultivated and wild genomes had occurred. In this regard, the most discriminating characters were the length of the pedicel (PL), the length of the spike (LoS) and the number of basal tillers (NBT). For most of the variables, a wide range of phenotypes was obtained, reflecting the polygenic inheritance of the traits measured. Transgressive F2 phenotypes were observed mainly within cluster 4. Indeed, the F1 population together with the F2s of cluster 4 were apart from both cultivated and wild individuals (Fig. 2, see also Table 4). These phenotypes could result from the association of favourable parental alleles at loci involved in traits highly correlated with the third axis (mainly Hmax, HPT, HHead).
Biological characteristics of the F2 groups
The first axis discriminated cluster 2 from the other three (Fig. 2). This group was composed of plants with a high number of tillers and spikes but with intermediate height and few nodes (Table 4). The highest proportion of plants (85%) with a functional abscission layer (AL) and the highest proportion of plants (75%) with seeds enclosed in long glumes (Ct) were found in group 2. These phenotypes characterized wild-like types. Moreover, when the cultivated, wild and F1 plants were considered as a priori groups in the discriminant analysis, group 2 individuals were located, on average, closer to the wild group than individuals from other F2 subgroups (Fig. 3). The second discriminant axis opposed groups 1 and 3 (Fig. 2). Group 3 encompassed plants with short, narrow leaves (LLM, WiLM) and short spikes (LoS). However, the percentages of plants with either a wild or a cultivated phenotype for the shedding ability and the enclosure of the seed were almost equal. Group 1 was characterized by individuals with large and long leaves at the maturity stage (WiLM and LLM), together with large spikes (WeS, LoS, WiS) and a long spikelet pedicel (PL). About 60% of the individuals of this group exhibited nonshedding seeds (AL) and 55% had seeds embedded in short glumes in a cultivated-like type (Ct). This was the closest group to the cultivated plants. Indeed, 35.6% of the individuals in group 1 were located closer to the cultivated group than to the wild or F1 groups (Table 5). Finally, group 4 encompassed mainly recombinant plants (Table 5). It could be distinguished by the maximum values of the plant heights (HPT, Hmax, HHead) and the shortest pedicels. It included 75% of plants with an abscission layer but also 70% of the plants with short glumes in a cultivated-like manner. Thus, wild- and cultivated-like types for Ct and AL could be found in each cluster, but their distribution within each group was highly different.
QTLs detected on the linkage group involved in the spikelet structure
Associations of the qualitative traits with some of the architectural traits were detected (Table 6). All the qualitative traits possessed at least one gene located in the same linkage group (Fig. 1). However, when the Ct (seed coating) and PB (presence of a longer bristle) traits were considered as factors for the ANOVA procedure, the effects observed could be attributed to either of the two loci involved in each of these traits. Thus, a QTL was unambiguously located in the linkage group when it was associated with the AL or Est-E gene. Because the markers were not genetically independent, the R2s estimated for each marker could not be combined to estimate the total phenotypic proportion explained by all markers. The QTL for LP detected at the AL locus was consistent with the presence of the major gene on this linkage group. QTLs were identified for the height (Hmax), the number of tillers (NS, NBT) and the weight of the spike (WeS). In particular, polymorphism for Est-E explained 4% of the variation of NBT, whereas a QTL for NS was linked to AL, which explained more than 11% of the phenotypic variation. Thus, a sizeable proportion of the phenotypic variation observed for these traits is explained by genetic factors on the linkage group also involved in the spikelet structure.
Discussion
Genetic basis of the domestication syndrome factors
Traits of the spikelet structure displayed a monogenic or digenic inheritance. These results are consistent with those already published using other crosses (Joly, 1984; Marchais & Tostain, 1985). Regarding the length of the pedicel of the floral involucre, Marchais & Tostain (1985) observed the segregation of a major gene epistatic to a minor gene. Our results also fit well with this model. For this trait, crosses involving the wild ecotype, P. mollissimum, and other cultivated forms from different geographical origins had always revealed a monogenic inheritance, whereas a cross between the line 23d2B and P. violaceum showed a digenic inheritance (Joly, 1984; Table 7). The presence of an abscission layer (AL) and the seed coating have a digenic inheritance in most cases. Using the order and distances between genes, Joly (1984) has hypothesized that two chromosome segments (segment I and segment II) were involved in the change in the spikelet architecture during the domestication process. The linkage group identified in the present Souna×P. mollissimum cross corresponds to the segment II. The map given in Fig. 4 integrates the data obtained by Joly (1984) and our data. The two chromosome segments could be the result of an ancient duplication, which might have been subjected to later modifications such as inversion. Different genetic organizations observed from crosses between different cultivated and wild accessions (Table 7) support well the hypothesis of several independent domestications of this crop in Africa. In the present study, residual variations between cultivated material could be the consequence of selection of other mutant genes in the different cultivated populations after the initial domestication event.
Synthetic map of segments I and II based on Joly (1984) and present work. Minimum and maximum values of the recombination rates are given in brackets.
The linkage map obtained in the present study (Fig. 1) encompasses genes involved in all the qualitative traits of the spikelet (PL, AL, BL, Ct, PB). Moreover, a QTL for the length of the glumes (GL) has also been detected on the segment II as well as QTLs for spike morphology (WeS) and tillering (NS, NBT). This is further evidence that this linkage group has contributed to a large extent to the genetic changes involved in the domestication syndrome of pearl millet. However, it should be noted that the length of the glumes is a component of seed coating. The statistical association between the Ct locus and a QTL for GL therefore suggests that the former corresponds to a gene controlling a large part of the variation in glume length.
The preferential association of characters revealed by the multivariate analysis can be the result of pleiotropic effects and/or linkage of genes with major effects. The observation of eight different wild×cultivated F2 segregations by Joly & Sarr (1985) revealed three groups of strongly correlated characters that are in accordance with the present study. The first group was composed of characters of plant architecture (tillering and height), the second was characterized by traits describing the form of the spike and the leaf and the third group by traits of the spikelet structure. These preferential associations thus appear to be a general feature that could be explained by a genetic linkage of major genes, as the co-localization of major QTLs associated with the tiller number and QTLs of height and weight of the spike was observed in our study.
Genomic organization and domestication process
In pearl millet, the control of spikelet traits of the domesticated phenotype by few genes associated with QTLs with large effects on the plant architecture is consistent with the hypothesis that adaptation to extreme environments, such as a cultivated field, could be achieved through few mutations with large phenotypic effects (adaptive peaks sensu stricto; Dobzhansky et al., 1977). It also seems that there is a high level of synteny and gene order conservation at the intraspecific level for genes involved in the spikelet structure. This characteristic has probably been subjected to intense selection during the domestication process. Mutations in closely linked genes that conferred nonshedding and uncoated seeds might have become fixed more quickly through reciprocal hitch-hiking than those occurring at independent loci. But further evidence is needed to validate this model. Pernès (1986) suggested that linkage of genes could be more crucial for a highly allogamous reproductive system, whereas associations among unlinked loci could be maintained by selfing. The results of Doebley & Stec (1993) and Dorweiler et al. (1993) are consistent with this hypothesis. Indeed, they showed that several of the morphological differences between maize and its wild ancestor, teosinte, were controlled by major genes and that few genomic regions were involved. In the case of pearl millet, the cultivated/wild spikelet structure alternative is mainly under the control of a unique (at most two) linkage group. However, the absence of correlation between juvenile traits (NL, NT, LS, DS, LL, WiL, TNL) and the traits at maturity (data not shown) suggests that different genes are responsible for the expression of these two kinds of characters and that large recombination occurs. In addition, the statistical association in the F2s between the shedding ability and seed coating on the one hand and the spike and plant architecture on the other hand is weak, despite the presence of QTLs for spike size and tillering habit in the linkage group bearing Ct and AL. This suggests that other QTLs for these traits are located elsewhere in the genome.
Our data reveal weak correlations between characters defining plant architecture at the juvenile and adult stages. This is consistent with the difficulty for farmers in eliminating intermediate or wild phenotypes occurring in the field. Wild pollen contamination and introgression at different levels of backcrossing can thus occur within the field. Adult plants with intermediate phenotypes are often found in cultivated areas (Marchais, 1994). Nevertheless, their occurrence is rare enough to ensure suitable cultivation of pearl millet. Our data show that both wild and cultivated phenotypes occur within the F2 population and support the idea that massive introgression of genes from the wild gene pool should be compatible with the maintenance of a cultivated phenotype. The F2 population can be structured into four coherent and phenotypically well-described clusters that can be used as sources for prebreeding work. In particular, phenotypical transgressions were observed (cluster 4) that could be exploited in pearl millet breeding. On a wider scale, valuable germplasm is present in the wild relatives of pearl millet, which has a large diversity with an extensive geographical distribution (Gepts & Clegg, 1989; Tostain & Marchais, 1989). The introgression and monitoring of these genes for the improvement of pearl millet could be enhanced by the integration of genetic and physical maps. Thus, research on genome organization using both molecular and cytogenetic markers (Martel et al., 1996; Liu et al., 1997) could be helpful for this purpose.
Conclusion
The present analysis is based on the use of a wild form and a landrace, whereas previous studies concerned another wild, related form, P. violaceum, and other inbred cultivars from different geographical origins in Africa. However, all lead to some convergent facts: tightly linked genes on one or two chromosome segments are involved in the variation of spikelet traits. However, the doubt remains as to whether the genes tagged in those various cultivars are homologous, in the absence of anchor markers used in the different crosses. Moreover, more information is needed on the genetic basis underlying the difference observed between cultivated and wild phenotypes in quantitative traits. A further analysis with molecular markers (restriction fragment length polymorphisms) as landmarks is under progress to detect QTL for those traits and to localize them on the pearl millet genetic map.
References
Allard, R. W. (1956). Formulas and tables to facilitate the calculation of recombination values in heredity. Hilgardia, 24: 235–278.
Brunken, J., Dewet, J. M. J. and Harlan, J. R. (1977). The morphology and domestication of pearl millet. Econ Bot, 31: 163–174.
Darmency, H. and Pernès, J. (1986). An inheritance study of domestication in foxtail millet using an interspecific cross. Pl Breed, 99: 30–33.
Dobzhansky, T., Ayala, F. J., Stebbins, G. L. and Valentine, J. W. (1977). Evolution. Freeman, San Francisco.
Doebley, J. and Stec, A. (1993). Inheritance of the morphological differences between maize and teosinte: comparison of results for two F2 populations. Genetics, 134: 559–570.
Doebley, J., Stec, A. and Hubbard, L. (1997). The evolution of apical dominance in maize. Nature, 386: 485–488.
Dorweiler, J., Stec, A., Kermicle, J. and Doebley, J. (1993). Teosinte glume architecture 1: a genetic locus controlling a key step in maize evolution. Science, 262: 233–235.
Gepts, P. and Clegg, M. T. (1989). Genetic diversity in pearl millet at the DNA sequence level. J Hered, 80: 203–208.
Gupta, G. K. (1995) Influence of downy mildew infection on the physiology of pearl millet plants in an arid climate. In: Duncan, R. R. and Rattunde, H. F. W. (eds) International Sorghum and Millets Newsletter, pp. 51–52. ICRISAT, Patancheru, India.
Harlan, J. R. (1971). Agricultural origins: centers and non-centers. Science, 14: 468–474.
Harlan, J. R. (1975) Crops and Man. American Society of Agronomy and Crop Science Society of America, Madison, WI.
Hillman, G. C. and Davies, M. S. (1990). Domestication rates in wild-type wheats and barley under primitive cultivation. Biol J Linn Soc, 39: 39–78.
Joly, H. (1984). Etude comparée du syndrome de domestication chez le mil Pennisetum typhoides (Burm.) Staff & Hubb: étude comparée de descendances (F 2 et rétrocroisements) issues de croisements entre plusieurs géniteurs cultivés et spontanés Ph.D. Thesis, Université Paris-XI, Orsay, France.
Joly, H. Sarr, A. (1985) Preferential associations among characters in crosses between pearl millet (Pennisetum typhoides) and its wild relatives. In: Jacquard, P., Heim, G. and Antonovics, J. (eds)Genetic Differentiation and Dispersal in Plants. 95–111. Springer, Berlin.
Ladizinsky, G. (1985). Founder effect in crop-plant evolution. Econ Bot, 39: 191–199.
Liu, C. J., King, I. P., Pittaway, T. S., Abbo, S., Reader, S. M., Miller, T. E. and Gale, M. D. (1997). Physical and genetical mapping of rDNA sites in Pennisetum (pearl millet). Heredity, 78: 529–531.
Marchais, L. (1994). Wild pearl millet population (Pennisetum glaucum Poaceae) integrity in agricultural Sahelian areas. An example from Keita (Niger). Pl Syst Evol, 189: 233–245.
Marchais, L. and Tostain, S. (1985). Genetic divergence between wild and cultivated pearl millets (Pennisetum typhoides) II. Characters of domestication. Z PflZücht, 95: 245–261.
Martel, E., Ricroch, A. and Sarr, A. (1996). Assessment of genome organisation among diploid species (2n=2x=14) belonging to primary and tertiary gene pools of pearl millet using fluorescent in situ hybridisation with rDNA probes. Genome, 39: 680–687.
Martel, E., Denay, D., Siljak-Yakovlev, S., Brown, S. and Sarr, A. (1997). Genome size variation and basic chromosome number in pearl millet and fourteen related Pennisetum species. J Hered, 88: 139–143.
Niangado, O. (1981). Utilisation de rétrocroisements chez le mil, Pennisetum americanum (L.) Leeke: 1. Pour changer le régime de floraison. 2. Pour exploiter la variabilité génétique des formes spontanées. Ph.D. Thesis, Université Paris-XI, Orsay, France.
Ouendeba, B., Ejeta, G., Nyquist, W. E., Hanna, W. W. and Kumar, K. A. (1995). Diversity among African pearl millet landrace populations. Crop Sci, 35: 919–924.
Pearson, K. (1915). On the problem of sexing osteometric material. Biometricka, 40: 479–487.
Pernès, J. (1985). Evolution des plantes cultivées: l'exemple des céréales. La Vie Des Sciences, Cr Sér Gén, II, 5: 429–447.
Pernès, J. (1986). L'allogamie et la domestication des céréales: l'exemple du maïs (Zea mays L.) et du mil (Pennisetum americanum L.) K. Schum. Bull Soc Bot Fr, 133, Actual Bot, 1: 27–34.
Robert, T. and Sarr, A. (1992). Multivariate analysis of recombination between wild and cultivated genomes within the primary gene pool of pearl millet (Pennisetum typhoides). Genome, 35: 208–219.
Robert, T., Lamy, F. and Sarr, A. (1992). Evolutionary role of gametophytic selection in the domestication of Pennisetum typhoides (pearl millet): a two-locus asymmetrical model. Heredity, 69: 372–381.
Sandmeier, M., Beninga, M. and Pernès, J. (1981). Analyse des relations entre formes spontanées et cultivées chez le mil à chandelles. III. Etude de l'hérédité des estérases et des peroxydases anodiques. Agronomie, 1: 486–494.
Sarr, A. and Pernès, J. (1988). Analyses multivariées de descendances de rétrocroisements et mise en évidence de distorsions de ségrégation de caractères quantitatifs chez le mil (Pennisetum typhoides (Burm.) Stapf et Hubb.). Genome, 30: 411–422.
Tostain, S. and Marchais, L. (1989). Enzyme diversity in pearl millet (Pennisetum glaucum L.) 2. Africa and India. Theor Appl Genet, 77: 634–640.
Acknowledgements
We thank M. Heugas for her contribution to our research. We are also grateful to O. Panaud and M. Branco for their critical reviews of the manuscript.
Author information
Authors and Affiliations
Corresponding author
Rights and permissions
About this article
Cite this article
Poncet, V., Lamy, F., Enjalbert, J. et al. Genetic analysis of the domestication syndrome in pearl millet (Pennisetum glaucum L., Poaceae): inheritance of the major characters. Heredity 81, 648–658 (1998). https://doi.org/10.1046/j.1365-2540.1998.00445.x
Received:
Accepted:
Published:
Issue date:
DOI: https://doi.org/10.1046/j.1365-2540.1998.00445.x
Keywords
This article is cited by
-
Genetic insights in pearl millet breeding in the genomic era: challenges and prospects
Plant Biotechnology Reports (2022)
-
Genetic variation and diversity of pearl millet [Pennisetum glaucum (L.)] genotypes assessed for millet head miner, Heliocheilus albipunctella resistance, in West Africa
Euphytica (2020)
-
QTL mapping of domestication and diversifying selection related traits in round-fruited semi-wild Xishuangbanna cucumber (Cucumis sativus L. var. xishuangbannanesis)
Theoretical and Applied Genetics (2017)
-
Genetic diversity and gene flow among pearl millet crop/weed complex: a case study
Theoretical and Applied Genetics (2006)
-
Inheritance of Seed Shattering in Lolium temulentum and L. persicum Hybrids
Genetic Resources and Crop Evolution (2006)






