Abstract
We investigated the spatial genetic structure within and between two plots of Calluna vulgaris and the extent to which the soil seed bank differed genetically from adults at seven allozyme loci. Averaged over the two plots, the seed bank and adult populations contained very similar levels of genetic diversity. Moreover, seeds contained in a single soil core (100 cm3) exhibited similar mean allozyme diversity to the surrounding adult population, indicating that the seed bank preserves genetic diversity at a very local scale. Few differences in allelic frequencies were found between the seed bank and its surrounding adult population in each plot. Mean GST indicated a lack of differentiation between the two plots at adult (GST = 0.008) and seed bank (GST = 0.002) stages. Low interplot differentiation is consistent with the outcrossing mating system of the population (tm = 0.91 in one plot) and its history of human disturbance. In contrast, spatial autocorrelation analysis of adults indicated a genetic structure at a very local scale, with positive autocorrelation for all alleles below 2 m in one plot and with a pattern of positive autocorrelation below 8 m in the two plots. Current limitation to seed dispersal rather than spatial extension of clones is thought to be responsible for local genetic structure.
Similar content being viewed by others
Introduction
Genetic structure is the nonrandom distribution of alleles or genotypes in space or time. It is expected that the spatial distribution of genetic variation within plant populations is not random, owing to the effects of mating system, seed and pollen dispersal, clonality and selection (Levin & Kerster, 1974). Spatial genetic structure within a population is expected to be far more extensive in selfing than in preferentially outcrossing species, but spatial genetic structure has been detected even in outcrossing species (Loiselle et al., 1995). Recent empirical data suggest that entomophilous plants may show high levels of pollen flow even among populations (Hamrick et al., 1995). In contrast, seed dispersal is generally more limited (Levin & Kerster, 1974) resulting in localized gene flow that, alone, can cause spatial structuring through the action of genetic drift. Vegetative reproduction, in extreme cases, would result in clusters of genetically identical ramets (Sokal & Oden, 1978), and isolated clonally reproducing populations may diverge by differential loss of alleles through drift and by fixation of unique mutations. Restricted gene flow also allows differentiation of subpopulations in response to local natural selection (Slatkin, 1987).
Besides the spatial genetic structure, species with a seed bank may exhibit temporal genetic structure in the form of genetic differences between the seed bank and the adult populations (Templeton & Levin, 1979). As a result, the seed bank could profoundly affect the evolutionary potential of plant populations. Genetic variants lost from the standing population when adults die or fail to reproduce may be retained in the seed bank with the effect of increasing effective population size (Ne) (Templeton & Levin, 1979; Cabin, 1996). In addition, seeds that germinate from a seed bank represent migration from the past, and these propagules may maintain genetic homogeneity or reduce the rate of evolutionary changes in the population (Templeton & Levin, 1979; McCue & Holtsford, 1998). Persistent soil seed banks are a common feature of plant populations across all plant communities (Leck et al., 1989). Nevertheless, we are aware of only a few studies that have examined directly the genetics of seed bank populations in relation to above-ground vegetation (Tonsor et al., 1993; Alvarez-Buylla & Garay, 1994; Cabin, 1996; McCue & Holtsford, 1998). In a first approach, we need to gain information about the patterns of genetic diversity and genetic structure of seed bank populations for a range of plant species with different life-history traits.
In this paper, we evaluate the spatial and temporal genetic structure within and among two subpopulations of a temperate shrubby species, Calluna vulgaris (L.) Hull (Ericaceae). In this species, more than 95% of allozymic variation occurs within populations (Mahy et al., 1997). Despite a predominantly outcrossing mating system (Mahy & Jacquemart, 1998) and pollination by insects (Mahy et al., 1998), C. vulgaris is expected to display spatial genetic structure within populations to some extent because of (i) limited dispersal of most seeds (Legg et al., 1992) and (ii) occurrence of layering in many populations (MacDonald et al., 1995). Also, the soil seed bank appears to be very important in C. vulgaris populations. Numerous seeds (up to 105 seeds/m2, Legg et al., 1992) are stored in the soil for long periods (up to 150 years, Cumming & Legg, 1995). This provides an adequate model to study the genetic consequences of seed bank formation. In addition, C. vulgaris is a key species in an extensive and unique western European ecosystem: Calluna heath. In most parts of western Europe, heathlands are now regressing rapidly as a result of the cessation of traditional agro-pastoral practices, active afforestation and agricultural reclamation. Understanding the way genetic structure is partitioned within populations and the role the seed bank may play in maintaining genetic diversity may be important for the management of Calluna populations.
We test the hypothesis that, despite outcrossing, C. vulgaris exhibits local genetic structure in the form of spatial or temporal differentiation in two subpopulations. We first estimate outcrossing rate and report preliminary results about the spatial heterogeneity of the pollen gene pool in one subpopulation. Then we analyse the spatial genetic structure of the adult population at different scales, namely, among ramets to detect the extent of clonality, among individuals over a 20 m scale within the two subpopulations and between the two subpopulations separated by 300 m. Finally, we ask if the pattern of genetic variation of the seed bank differs from that of the adult population.
Materials and methods
Species and studied site
Calluna vulgaris is a widespread European low shrub. Mean lifetime of an individual is about 25 years. Bumblebees, bees and syrphids are the most efficient pollinators but wind may also play a role (Mahy et al., 1998). Calluna produces numerous tiny seeds (0.3 × 0.7 mm) that are mainly dispersed by wind. Most of the seeds fall within a couple of metres around the mother plant (Legg et al., 1992) but occasional long-distance dispersal may result from wind blowing or animal ingestion. Vegetative regeneration occurs by means of layering, i.e. adventitious rooting of ramets.
The study site was a peaty heath (500 × 800 m) dominated by ericaceous plants in the Upper Ardennes, Belgium (50°15′00′′N, 5°44′22′′E, alt. 652 m). Calluna displayed a patchy distribution over the site with high-density zones and empty areas, allowing the physical identification of subpopulations. We chose one subpopulation (plot 1, 20 × 65 m) with high C. vulgaris cover (>90%) and one subpopulation (plot 2, 20 × 40 m) with intermediate C. vulgaris cover (50%). They are separated by 300 m without any C. vulgaris plants in between. In both plots, current regeneration occurs mainly by layering. The site was highly disturbed in the past by human activities, mainly extraction of peat and cultivation following burning. Human activities ceased ≈100 years ago and since then the site has remained undisturbed (J. R. De Sloover, pers. comm.).
The estimated average density of seeds contained in the top 10 cm soil fraction was 20 417 seeds/m2 in plot 1 and 11 048 seeds/m2 in plot 2 (Mahy, 1998). The spatial distribution of either yearly seed input or litter seeds was highly coincident with that of adults except in plot 1, where the seed rain was slightly coincident with adults. This suggests that the current spatial dispersal of seeds is limited in the two plots examined. In contrast, the soil seed bank was uniformly distributed throughout the two study plots (Mahy, 1998).
Sampling
To assess the genetic structure of adult populations, 81 and 96 ramets were sampled at the intersections of a 2 × 2 m lattice in plot 1 and plot 2, respectively (Fig. 1). To assess the extent of clonality, three patches (P1, P2, P3) of 2 × 2 m and one patch (P4) of 2 × 1.6 m were assigned in plot 1 (Fig. 1). These patches had a 100% Calluna cover and were separated by areas with lower Calluna density. Within each patch, 25 ramets (20 in the case of P4) were taken at the points of a 40 × 40 cm grid.
Sampling scheme for the study of spatial structure among and within two plots of Calluna vulgaris at adult stage (• = position of ramets sampled) and seed bank stage (▪ = position of soil cores sampled). SC1, SC2, SC3: soil cores for extensive sampling. P1, P2, P3, P4: patches for clonality analysis. Seed bank and adults are superimposed for each plot with the 2 m mark as origin.
To sample the seed bank, 4 cm diameter soil cores were taken in each plot to a depth of 10 cm in November 1994 (plot 1) and November 1995 (plot 2) at intersections of the 2 × 2 m lattice (Fig. 1). The litter (the top 2 cm) was separated from the soil fraction. Each soil fraction was air-dried for 24 h at room temperature in a ventilated chamber, then sieved and spread individually over a 5 cm layer of sterilized peat. The soil was kept moist by a regular water supply and was exposed to 25°C and 16 h light for 6 months. Emerging C. vulgaris seedlings were randomly collected from the soil samples, transplanted into individual pots and placed in a growth chamber for later genetic analysis. In plot 1, 92 seedlings were sampled across 20 soil cores (mean number of seedlings per soil core ± SE = 4.5 ± 0.8) and in plot 2, 133 seedlings were sampled across 16 soil cores (mean ± SE = 8.3 ± 3.0). In plot 2, we also extensively sampled seedlings from three individual soil cores in order to examine allozymic variation of seeds contained within a single soil core. These individual soil cores are referred to as SC1, SC2 and SC3, and 37, 30 and 30 seedlings, respectively, were sampled in each of them (Fig. 1).
To estimate the outcrossing rate of the population, fruits from one inflorescence on each of 22 maternal plants were collected throughout plot 1 in 1995. Seeds were bulked by maternal plant and set to germinate on moist filter paper at 25°C and 16 h light. Young seedlings were transplanted into individual pots and placed in a growth chamber until genetic analysis. The number of seedlings sampled per maternal plant ranged from 7 to 20 (mean ± SE = 13.0 ± 1.0) for a total of 284 seedlings. Because of germination problems with collected seeds, outcrossing rate could not be assessed in plot 2.
Electrophoresis
Enzyme extraction, starch gel electrophoresis and staining procedures followed Mahy et al. (1997). Six enzymes were examined and seven loci were accurately scored: phosphoglucoisomerase (Pgi2, EC 5.3.1.9), isocitrate dehydrogenase (Idh2, EC 1.1.1.42), menadione reductase (Mnr1, EC 1.6.99.2), phosphoglucomutase (Pgm3, EC 5.4.2.2), malate dehydrogenase (Mdh2, Mdh3, EC 1.1.1.37) and 6-phosphogluconate dehydrogenase (6Pgd2, EC 1.1.1.44). In this study, 6PGD was revealed with a citric acid electrode buffer and histidine–HCl gel buffer. The genetic basis of polymorphic patterns was inferred from known subunit composition and the number of loci commonly observed in diploid plants. The alleles are numbered first by locus, then by alleles. The identification of alleles followed Mahy et al. (1997).
Statistical analysis
Gene diversity and genotypic structure
Allele frequencies were calculated at the seven loci for each adult subpopulation, each seed bank subpopulation and the three individual soil cores. Three statistics of genetic variation were computed for each of these samples: A = the mean number of alleles per locus, PLP = the proportion of polymorphic loci at the 0.05 level, and He = the expected heterozygosity (gene diversity; Nei, 1978). The mean fixation index (F) was estimated within each population using GENSURVEY (Vekemans & Lefèbvre, 1997). We tested compliance to Hardy–Weinberg equilibrium for each variable locus in each sample with a Fisher’s exact test using GENEPOP (Raymond & Rousset, 1995).
Mating system and pollen heterogeneity in plot 1
We estimated single-locus (ts) and multilocus (tm) outcrossing rates in plot 1 according to the mixed-mating model using the MLT program of Ritland (1990). Genotype data at three polymorphic loci were used: Mnr1, Idh2, Mdh2. Less frequent alleles were combined following Ritland (1990) in order to form a synthetic allele when more than three alleles were segregating at a single locus. We used 1000 bootstrap replicates, with the progeny array as the unit of resampling, to estimate standard errors of outcrossing rates. In addition, we tested for homogeneity of allele frequencies in the pollen pool of different mothers in plot 1 for the four most polymorphic loci (Idh2, Mnr1, Mdh2 and Pgm3). For each locus, we used seedlings from mothers homozygous for the most common allele. Frequencies of the different alleles in the pollen pool received by each mother were assessed by subtracting maternal alleles from the seedling genotype. A Fisher’s exact test was then performed to test for homogeneity of allele frequencies in the pollen pool of the different mothers (GENEPOP, Raymond & Rousset, 1995).
Clonality in plot 1
Clonal extension was analysed in plot 1 using data of ramets collected within the patches of 2 × 2 m (P1, P2, P3) and 2 × 1.6 m (P4). Within each patch, the multilocus genotype of each ramet was assessed based on the seven scored loci. To investigate spatial extension of single genets, a map of the spatial distribution of multilocus genotypes was drawn for each patch. To estimate the reliability with which two ramets with the same multilocus genotype could be assigned to the same genet, we calculated the expected frequency of each observed multilocus genotype (PMG) by PMG = ∏iLPGi (Jonsson et al., 1996) where PGi is the expected frequency of a particular genotype at locus i within the adult population, assuming Hardy–Weinberg equilibrium, and L is the total number of loci. Lower values of PMG indicate a high probability that closely spaced ramets with the same multilocus genotype are members of the same clone.
Spatial autocorrelation in adult populations
To examine the relationship among adult individuals within each plot, we conducted spatial autocorrelation analysis. In each plot, individuals were characterized, for each allele, by allele frequencies of 0.0, 0.5 or 1.0, according to whether they carried 0, 1 or 2 copies of the allele in their genotype, respectively. The degree of spatial autocorrelation in adult populations was quantified by calculating Moran’s I coefficients for six distance classes (0–2 m, 2–4 m, 4–8 m, 8–12 m, 12–16 m, 16–20 m) using the SAAP program (Wartenberg, 1989) that tests significant departure of Moran’s I from its expected value E(I) = −(N − 1)−1. The first distance class was similar to the mean distance among nearest-neighbour sampled ramets. The minimum number of pairs involved in a distance class was 50. Following Sokal & Wartenberg (1983), we did not consider distance classes higher than 20 m, because this was the maximum width of the plots. Because they provide complementary information, only one of two alleles at diallelic loci was included. At multiallelic loci, alleles with a frequency less than 0.04 were excluded because they were represented in too few individuals to provide reliable information. Correlograms for each allele retained in the analysis were drawn by plotting Moran’s I against distance classes, and the overall significance of an individual correlogram was assessed with a Bonferroni approximation using SAAP (Wartenberg, 1989).
Genetic differentiation among stages and plots
We tested for (i) differences in allele frequencies between plots at adult and seed bank stages and (ii) differences in allele frequencies between the seed bank and adult stages within each plot, using Fisher’s exact tests (GENEPOP; Raymond & Rousset, 1995). The extent of genetic differentiation between plots at adult and seed bank stages was also estimated by computing the GST statistics (Nei, 1977). Confidence intervals for the mean GST statistics were obtained by bootstrapping over loci using GENSURVEY (Vekemans & Lefèbvre, 1997).
Results
Gene diversity and genotypic structure
The seed bank and adults exhibited a very similar level of allozymic variation. We found virtually the same set of alleles in both the seed bank and adult populations. Only two alleles were limited to the seed bank (Pgi2-2 and Pgm3-7) and one allele was limited to the adults (Mdh2-4). Both were rare alleles with a frequency of less than one per cent. Averaged over plots, the seed bank populations exhibited a slightly higher mean number of alleles per locus than adults (A = 2.64 and 2.29, respectively), the trend being consistent over the two plots (Table 1). Nevertheless, the difference may be caused by the sample size as more genotypes were sampled in the seed bank in each plot. There was no clear indication of different levels of gene diversity or proportions of polymorphic loci between the two stages. In plot 1, both estimates were higher in adults, whereas the trend was reversed in plot 2. As a result, average gene diversity and average proportion of polymorphic loci were similar between seed banks (He = 0.128, PLP = 50.0) and adults (He = 0.137, PLP = 50.0) (Table 1). Seedlings contained in a single soil core (volume: 100 cm3) exhibited a slightly lower number of alleles per locus (A = 2.00) than adult populations, but this probably results from the lower mean sampling size in soil cores. The average proportion of polymorphic loci and expected heterozygosity were slightly higher in a single soil core sample (PLP = 57.1; He = 0.142) than in the adult population of plot 2 (Table 1). This suggests that, on average, a single soil core may contain as much genetic variation as the surrounding adult population. The mean fixation index was low in all samples (Table 1). Only three out of 42 tests showed significant departures from Hardy–Weinberg expectations, indicating that there is no change in fixation index between stages.
Mating system and pollen pool heterogeneity in plot 1
The multilocus and mean single-locus outcrossing rates were estimated in plot 1 as tm = 0.912 (SE = 0.094) and ts = 0.916 (SE = 0.109), respectively, and were not significantly different from 1.0. No biparental inbreeding was suggested by the difference tm − ts = −0.004 (SE = 0.038), indicating random outcrossing in the plot investigated. Homogeneity of allele frequencies among the pollen pools received by different mothers in plot 1 can not be rejected for any of the four loci examined (Table 2).
Genetic structure of populations
Clonality within plot 1
Six to 13 multilocus genotypes were found in the patches examined in plot 1, indicating a high level of clonal intermingling even below 2 m (Fig. 2). All multilocus genotypes that extended over a large area within a patch had a high expected frequency in the population (PMG > 10%, genotypes A and D, Fig. 2). It is not clear for these genets whether spatial extension results from clonal extension, or if adjacent ramets share the same multilocus genotype by chance alone. In contrast, multilocus genotypes with a low expected frequency (PMG < 10%) were never found to extend continuously over more than three neighbouring sampled ramets.
Location of multilocus genotypes within four Calluna vulgaris patches of 2 × 2 m (2 × 1.6 m for P4). Each letter represents a multilocus genotype. Expected frequency of each multilocus genotype in the population (PMG): ** >10%, *1% < PMG < 10%, °0.1% < PMG < 1%, °°PMG < 0.1%. Continuous lines join neighbouring ramets sharing the same multilocus genotype.
Spatial autocorrelations of adults
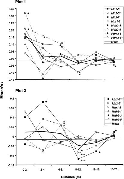
Figure 3 shows the correlograms of all the alleles eligible for the spatial analysis in adult populations. In eight out of 56 cases (14.3%) and nine out of 42 cases (21.4%) Moran’s I departed significantly from E(I) in plot 1 and plot 2, respectively. This was more than expected by chance alone. From the 17 cases of Moran’s I that departed significantly from E(I), 10 (59%) corresponded to locus Idh2. We found two correlograms out of eight to be significant in plot 1 (Idh2-5, Pgm3-6) and two correlograms out of six to be significant in plot 2 (Idh2-3, Idh2-5). In plot 1, we found a strong pattern of positive autocorrelation in the first distance class (0–2 m), with all Moran’s I-values higher than E(I). In addition, in both plots, all the significant I-values in the first three distance classes (≤ 8 m) were higher than E(I), whereas all the significant values in the next distance classes (>8 m) were less than E(I), except Idh2-3 in plot 2 for 16–20 m. This suggests that individuals separated by less than 8 m are more likely to share similar alleles than individuals separated by higher distances.
Autocorrelation analysis of adult genotypes: correlograms of Moran’s I for eight alleles within plot 1, correlograms of Moran’s I for six alleles within plot 2 and correlograms for mean values of Moran’s I. Significant at *P < 0.05 and **P < 0.01. The horizontal line represents the expected value of Moran’s I, E(I).
Differentiation among plots and stages
Between plots, significant heterogeneity in allele frequencies was found only for Idh2 (P < 0.001) between adult samples and for two loci out of the six polymorphic loci between seed bank samples (Mdh2, P = 0.004; Pgm3, P = 0.027). GST values for individual loci were in general very low between plots for adults and seed bank (range of GST: −0.002 to 0.010), except for Idh2 at the adult stage (GST = 0.042). Mean GST values between plots at the seed bank stage (GST = 0.002; 95% CI: −0.001 to 0.006) and adult stage (GST = 0.008; 95% CI: 0.000 to 0.022) were not significant.
Few genetic differences were evident among stages within plots. Only one and two out of the six polymorphic loci exhibited significant heterogeneity of allele frequencies between seed bank and adults in plot 1 (Mnr1, P = 0.003) and plot 2 (Idh2, P = 0.039; and Pgm3, P = 0.001), respectively.
Discussion
Spatial structure of genetic variation in the adult population
In C. vulgaris more than 95% of allozymic variation is maintained within populations (Mahy et al., 1997). At the local scale, the present study reports a very similar pattern, as significant mean differentiation was not detected between the two adjacent plots. This low level of population differentiation is consistent (Hamrick & Godt, 1989) with the perennial habit of the species and with its outcrossing mating system, reported by Mahy & Jacquemart (1998) and confirmed in the present study. This is also consistent with recent empirical data that suggest that entomophilous plants may show high levels of pollen flow even among populations (Hamrick et al., 1995). In addition, population history is likely to play a role in determining the extent of spatial genetic differentiation at the local scale. The investigated population was most probably founded from the existing seed bank when human activities ceased at this site, less than 100 years ago. Lack of genetic structure in the initial population may be expected because human disturbance, such as peat moving, probably resulted in extensive seed dispersal in the past. Because of the perennial habit and layering reproduction of this species, there may have been an insufficient number of sexual generations since the founding of the population for strong spatial genetic differentiation to develop under the combined effects of limited gene flow and genetic drift.
In contrast to GST analysis, spatial autocorrelation analysis revealed spatial structure at a very fine scale, despite our preliminary results that showed (i) a high outcrossing rate, and (ii) an apparent homogeneity of allele frequencies of pollen loads received by different mothers within a plot. This pattern contrasts with a preliminary report of random allele distribution in plot 1 (Mahy & Nève, 1997), but here we sampled at a finer scale, including the 0–2 m distance class. Empirical evidence suggests that limited seed dispersal and/or clonality alone may cause genetic correlation over short distances, even in predominantly perennial outcrossing species with presumably effective pollen flow (Schnabel & Hamrick, 1990; Loiselle et al., 1995). In C. vulgaris, in the absence of disturbance, recently dispersed seeds are more likely to germinate than seeds buried in the soil, because of the light requirement for germination. Therefore the current limitation to seed dispersal detected in our population may certainly help to explain the significant autocorrelation found in the first distance classes for some allozymes in this study. In contrast, our fine-scale genetic structure study in plot 1 indicates that, despite a high frequency of layering, individual clones do not occupy a large homogeneous surface. If the most frequent genotypes are discarded, no clones are found to extend over 2 m, the minimal sampling distance among two ramets for the spatial autocorrelation analysis. Thus, in this population, clonality is probably not a major determinant of genetic structure at the scale considered. Selection may be invoked as an alternative cause of spatial structure if genetic estimators (GST and I) are sufficiently heterogeneous across loci (Heywood, 1991). This may be true for the Idh2 locus (or for a locus linked to it). Idh2 accounted for three out of the four significant correlograms, for nearly 60% of significant Moran’s I and, unlike other loci, exhibited significant differentiation between the two adult populations. However, because allele frequencies at marker loci may be differentially affected by random sources of variation (Slatkin & Arter, 1991), the significance of single-locus differences remains controversial.
Our results do not rule out the development of more substantial genetic structure in other populations of the species with different histories, particularly in natural populations with low historical human disturbance. Nevertheless, over western Europe numerous Calluna populations share a similar history to the investigated population, i.e. establishment following human disturbances that ceased less than one century ago.
Patterns of genetic variation in the seed bank
Theoretical arguments predicting that the seed bank may play a role in the evolutionary dynamics of plant populations have received some empirical support in the few studies that have addressed seed bank genetics. In some species, a lower level of differentiation for allozyme markers among seed bank populations than among adult populations has been reported (Tonsor et al., 1993; Cabin, 1996; McCue & Holtsford, 1998). Also, strong differences in allelic frequencies between seed bank and current adult populations are generally found at isozyme loci (Tonsor et al., 1993; Cabin, 1996) and homozygosity generally decreases from the seed bank to adults (Tonsor et al., 1993; McCue & Holtsford, 1998). The present study contrasts with these previous results. We found very little differentiation between seed bank and adult stages in the two plots of C. vulgaris examined, as revealed by allelic frequencies analyses, and we did not detect any change in homozygosity between stages. Also, at the scale considered, we did not find a significant increase of genetic differentiation at the adult stage as compared to the seed bank stage. The genetic similarity of the seed bank and the adults in the population investigated may result from a lack of strong bottlenecks and the low number of sexual generations since the time of population founding. This indicates that the genetic consequences of a seed bank may vary among species and/or populations depending on their demographic attributes.
As expected if the seed bank has the potential to maintain genetic diversity, we found very similar levels of allozymic diversity in the seed bank and adults. We must stress that the sample size used may be inadequate to detect the actual number of alleles, as most alleles are rare, and because of the very high number of seeds stored in the soil of our population. More significantly, we showed that a single soil core (100 cm3) may contain, on average, a similar allozymic diversity to that of the adult population. Thus the genetic diversity of a population may be preserved in the seed bank at a very local scale in this species. These results suggest that the seed bank may be important in maintaining genetic diversity of Calluna vulgaris, particularly in the face of the reduction in size and fragmentation of suitable habitats occurring in most parts of western Europe. Genetic diversity lost from extinct adult populations can be retained in the long-lived seed bank, and local perturbations may be sufficient to reintroduce this genetic variation into new adult populations.
References
Alvarez-Buylla, E. R. and Garay, A. A. (1994). Population genetic structure of Cecropia obtusifolia A neotropical pioneer tree species. Evolution, 48: 437–453.
Cabin, R. J. (1996). Genetic comparisons of seed bank and seedling populations of a perennial desert mustard, Lesquerella fendleri. Evolution, 50: 1830–1841.
Cumming, G. and Legg, C. (1995). Longevity of the Calluna vulgaris seed bank determined from a history of lead smelting at leadhills and Wanlockheade, Scotland. In: Thompson, D. B. A., Hester, A.J. and Usher, M. B. (eds) Heaths and Moorland: Cultural Landscapes, pp. 135–139. HMSO, Edinburgh.
Hamrick, J. L. and Godt, M. J. (1989). Allozyme diversity in plant species. In: Brown, A. H. D., Clegg, M. T., Kahler, A. L. and Weir, B. S. (eds) Plant Population Genetics, Breeding, and Genetic Resources, pp. 43–63. Sinauer Associates, Sunderland, MA.
Hamrick, J. L., Godt, M. J. and Shermanbroyles, S. L. (1995). Gene flow among plant populations: evidence from genetic markers. In: Hoch, P. C. and Stephenson, A. G. (eds) Experimental and Molecular Approaches to Plant Biosystematics, pp. 215–232. Missouri Botanical Garden, St Louis.
Heywood, J. S. (1991). Spatial analysis of genetic variation in plant populations. Ann Rev Ecol Syst, 22: 235–255.
Jonsson, B. E., Jónsdóttir, I. S. and Cronberg, N. (1996). Clonal diversity and allozyme variation in populations of the arctic sedge Carex bigelowii (Cyperaceae). J Ecol, 84: 449–459.
Leck, M. A., Parker, V. T. and Simpson, R. L. (1989). Ecology of Soil Seed Banks. Academic Press, San Diego, CA.
Legg, C. J., Maltby, E. and Proctor, M. C. F. (1992). The ecology of severe moorland fire on the North York Moors: seed distribution and seedling establishment of Calluna vulgaris. J Ecol, 80: 737–752.
Levin, D. A. and Kerster, H. W. (1974). Gene flow in seed plants. Evol Biol, 7: 139–220.
Loiselle, B. A., Sork, V. L., Nason, J. and Grahal, C. (1995). Spatial genetic structure of a tropical understory shrub, Psychotria officinalis (Rubiaceae). Am J Bot, 82: 1420–1425.
MacDonald, A. J., Kirkpatrick, A. H., Hester, A. J. and Sydes, C. (1995). Regeneration by natural layering of heather (Calluna vulgaris): frequency and characteristics in upland Britain. J Appl Ecol, 32: 85–99.
Mahy, G. (1998). Structuration génétique des populations et système de reproduction chez Calluna vulgaris (L.) Hull Ph.D. Thesis, Université Catholique de Louvain.
Mahy, G. and Jacquemart, A. L. (1998). Mating system of Calluna vulgaris (L.) Hull: self-sterility and outcrossing rates estimations. Can J Bot, 76: 37–42.
Mahy, G. and Nève, G. (1997). The application of spatial autocorrelation methods to the study of Calluna vulgaris population genetics. Belg J Bot, 129: 131–139.
Mahy, G., Vekemans, X., Jacquemart, A. -L. and Desloover, J. R. (1997). Allozyme diversity and genetic structure in South-Western populations of heather, Calluna vulgaris. New Phytol, 137: 325–334.
Mahy, G., Desloover, J. R. and Jacquemart, A. L. (1998). The generalist pollination system and reproductive success of Calluna vulgaris in Upper Ardenne (Belgium). Can. J. Bot, 76, in press.
McCue, K. A. and Holtsford, T. P. (1998). Seed bank influences on genetic diversity in the rare annual Clarkia springvillensis (Onagraceae). Am J Bot, 85: 30–36.
Nei, M. (1977). F-statistics and analysis of gene diversity in subdivided populations. Ann Hum Genet, 41: 225–232.
Nei, M. (1978). Estimation of average heterozygosity and genetic distance from a small number of individuals. Genetics, 89: 583–590.
Raymond, M. and Rousset, F. (1995). GENEPOP (v. 1.2), a population genetics software for exact tests and ecumenicism. J Hered, 86: 248–249.
Ritland, K. (1990). A series of FORTRAN computer programs for estimating plant mating systems. J Hered, 81: 235–237.
Schnabel, A. and Hamrick, J. L. (1990). Organization of genetic diversity within and among population of Gleditsia triacanthos (Leguminosae). Am J Bot, 77: 1060–1069.
Slatkin, M. (1987). Gene flow and the geographic structure of natural populations. Science, 236: 787–792.
Slatkin, M. and Arter, H. E. (1991). Spatial autocorrelation methods in population genetics. Am Nat, 138: 499–517.
Sokal, R. R. and Oden, N. L. (1978). Spatial autocorrelation in biology 2: Some biological implications and four applications of evolutionary and ecological interest. Biol J Lin Soc, 10: 229–249.
Sokal, R. R. and Wartenberg, D. E. (1983). A test of spatial autocorrelation analysis using an isolation-by-distance model. Genetics, 105: 219–237.
Templeton, A. R. and Levin, D. A. (1979). Evolutionary consequences of seed pools. Am Nat, 114: 232–249.
Tonsor, S. J., Kalisz, S., Fisher, J. and Holtsford, T. P. (1993). A life-history based study of population genetic structure: seed bank to adults in Plantago lanceolata. Evolution, 47: 833–843.
Vekeman, X. and Lefèbvre, C. (1997). On the evolution of heavy metal tolerant populations in Armeria maritima: evidence from allozyme variation and reproductive barriers. J Evol Biol, 10: 175–191.
Wartenberg, D. (1989). SAAP—A spatial autocorrelation analysis program. University of Medicine and Dentistry of New Jersey, Piscataway, NJ.
Acknowledgements
We thank O. Raspé and J. C. Van Achter for their help in collecting data about the seed bank and seed dispersal, O. Hardy for thorough discussions, J. R. De Sloover for his support, O. Raspé and J. D. Thompson for helpful comments and suggestions on the manuscript. Electrophoresis was financially supported by a FDS grant from the Université Catholique de Louvain (no. 629108). Dr A.-L. Jacquemart is presently research associate of the National Fund for Scientific Research, Belgium.
Author information
Authors and Affiliations
Corresponding author
Rights and permissions
About this article
Cite this article
Mahy, G., Vekemans, X. & Jacquemart, AL. Patterns of allozymic variation within Calluna vulgaris populations at seed bank and adult stages. Heredity 82, 432–440 (1999). https://doi.org/10.1038/sj.hdy.6884990
Received:
Accepted:
Published:
Issue date:
DOI: https://doi.org/10.1038/sj.hdy.6884990
Keywords
This article is cited by
-
Soil seed bank contributes significantly to genetic variation of Hypericum sinaicum in a changing environment
Plant Systematics and Evolution (2013)
-
Prescribed burning of northern heathlands: Calluna vulgaris germination cues and seed-bank dynamics
Plant Ecology (2010)
-
Germination and seed bank biology in some Iberian populations of Anagyris foetida L. (Leguminosae)
Plant Systematics and Evolution (2008)
-
Genetic change following fire in populations of a seed-banking perennial plant
Oecologia (2008)
-
Comparison of genetic variation in populations of wild rice, Oryza rufipogon, plants and their soil seed banks
Conservation Genetics (2006)





