Sir,
We read with great interest a recently published article in your journal entitled ‘No association between germline allele-specific expression of TGFBR1 and colorectal cancer risk in Caucasian and Ashkenazi populations’ (Seguí et al, 2011). Whereas an allelic expression imbalance of the transforming growth factor-β type 1 receptor (TGFβR1) gene was reported in 2008 to be a strong risk factor for colorectal cancer (CRC), with an odds ratio of 8.7 (Valle et al, 2008), this new study coordinated by Valle and performed on 96 CRC patients and 90 controls shows that there is no difference in blood TGFβR1 allelic expression between CRC patients and controls. The authors indicated that the discrepancy between these two studies may probably be explained by the difference in the methods used for measuring the allelic expression, the first study being based on the SNaPshot methodology, corresponding to primer extension with dye-labelled dideoxynucleotides, the second having been performed with pyrosequencing. We would like to highlight the fact that, to determine whether or not TGFβR1 allelic expression is a main CRC genetic factor conferring a high odds ratio, the selection both of patients and controls is a critical issue. The original report by Valle et al (2008) was based on CRC patients corresponding either to sporadic CRC cases or to familial cases. This new study (Seguí et al, 2011) was based on unselected microsatellite-stable CRC patients, without information regarding age of tumour onset or familial history, and the control population was not described. It is noteworthy that this was also a potential limitation of the additional studies on TGFβR1 allelic imbalance in CRC published since 2008 and reporting contradictory results (Guda et al, 2009; Carvajal-Carmona et al, 2010; Pasche et al, 2010; Tomsic et al, 2010).
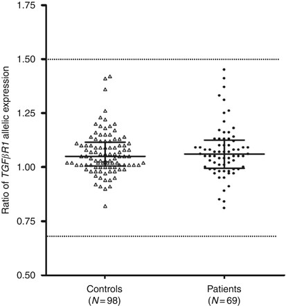
Therefore, we conducted a prospective case–control study on carefully selected patients and controls to clarify the real contribution of TGFβR1 allelic imbalance in CRC. After informed consent, patients were selected according to three different criteria suggestive of an increased genetic risk for CRC: (i) CRC before 61 years of age (or high-risk adenoma before 51 years of age) with a first-degree relative presenting with CRC; (ii) CRC before 51 years of age (or high-risk adenoma before 41 years of age); or (iii) multiple primitive colorectal tumours in the same case, the first one diagnosed before 61 years of age if cancer or before 51 years of age if high-risk adenoma. Exclusion criteria were (i) Lynch syndrome defined on the basis of a germline deleterious MMR gene mutation or a CRC with microsatellite instability arising in a suggestive familial context; (ii) adenomatous polyposis defined as the presence of at least 10 colorectal adenomatous polyps. The controls, aged from 45 to 60 years, were CRC-free and had no familial history of CRC in their first-degree relatives. Genomic DNA was extracted from whole blood samples using the FlexiGene kit (Qiagen, Courtaboeuf, France). As high-quality RNA is a pre-requisite to perform such a study, blood samples were collected on PAXgene tubes (Qiagen), stored at −20°C and total RNA was extracted within 1 month after blood collection, using the PAXgene Blood RNA kit (Qiagen). To measure TGFβR1 allelic expression, we used the SNaPshot methodology (Applied Biosystems, Meylan, France) described in the initial report of Valle et al (2008). For each patient and control, genomic DNA was first genotyped for the following four TGFβR1 SNPs: rs334348, rs334349, rs1590 (in total linkage disequilibrium) and rs7871490, to identify heterozygous individuals. After RT–PCR was performed from total RNA using oligo-dT (New England Biolabs, Ipswich, MA, USA) and reverse transcriptase SuperScript II (Invitrogen, Cergy-Pontoise, France), allelic expression of TGFβR1 was measured, using SNaPshot, by normalising the ratio of the allelic peaks obtained on RT–PCR with the ratio of the allele peaks obtained on genomic DNA. The allelic expression was calculated from the average of the ratio obtained for the four SNPs, when individuals were informative for all these SNPs; for individuals informative only for the rs7871490 SNP, the analysis was performed on two independent RT–PCRs. Among 175 Caucasian controls and 110 Caucasian patients genotyped for the four SNPs, we measured allelic expression of TGFβR1 in 98 informative controls (56%) and 69 informative patients (63%). Using the SNaPshot analysis, we did not encounter any reproducibility problem: for heterozygous individuals for the four SNPs (rs334348, rs334349, rs1590 and rs7871490), we obtained consistent ratio values between each SNP and, even for the rs7871490 SNP localised in a repetitive sequence, we observed reproducible results between two independent analyses (average s.d.=0.075). Allelic expression ratios ranged between 0.82 and 1.41 (mean 1.06) in controls and between 0.77 and 1.45 (mean 1.07) in patients with the relative same compacted distribution of values in both analysed groups (see Figure 1). No significant difference in allelic expression ratios between patients and controls was observed (Mann–Whitney test P=0.72; Student's test P=0.58; permutation test P=0.56).
Ratios of TGFβR1 allelic expression in 98 informative controls and 69 patients. The median and inter-quartile range values are indicated by continuous traits. The cutoff values, indicated as discontinuous lines, were those defined according to Valle et al (2008).
In conclusion, we confirmed by studying highly selected patients and controls that allelic imbalance of the TGFβR1 is not a major contributor to the genetic predisposition to CRC. Therefore, measurement of TGFβR1 allelic imbalance has no clinical utility to identify patients with high CRC genetic risk.
Change history
29 March 2012
This paper was modified 12 months after initial publication to switch to Creative Commons licence terms, as noted at publication
References
Carvajal-Carmona LG, Churchman M, Bonilla C, Walther A, Lefevre JH, Kerr D, Dunlop M, Houlston R, Bodmer WF, Tomlinson I (2010) Comprehensive assessment of variation at the transforming growth factor beta type 1 receptor locus and colorectal cancer predisposition. Proc Natl Acad Sci USA 107: 7858–7862
Guda K, Natale L, Lutterbaugh J, Wiesner GL, Lewis S, Tanner SM, Tomsic J, Valle L, de la Chapelle A, Elston RC, Willis J, Markowitz SD (2009) Infrequent detection of germline allele-specific expression of TGFβR1 in lymphoblasts and tissues of colon cancer patients. Cancer Res 69: 4959–4961
Pasche B, Wisinski KB, Sadim M, Kaklamani V, Pennison MJ, Zeng Q, Bellam N, Zimmerman J, Yi N, Zhang K, Baron J, Stram DO, Hayes MG (2010) Constitutively decreased TGFβR1 allelic expression is a common finding in colorectal cancer and is associated with three TGFβR1 SNPs. J Exp Clin Cancer Res 29: 57
Seguí N, Stevens KN, Guinó E, Rozek LS, Moreno VR, Capellá G, Gruber SB, Valle L (2011) No association between germline allele-specific expression of TGFBR1 and colorectal cancer risk in Caucasian and Ashkenazi populations. Br J Cancer 104 (4): 735–740
Tomsic J, Guda K, Liyanarachchi S, Hampel H, Natale L, Markowitz SD, Tanner SM, de la Chapelle A (2010) Allele-specific expression of TGFβR1 in colon cancer patients. Carcinogenesis 31 (10): 1800–1804
Valle L, Serena-Acedo T, Liyanarachchi S, Hampel H, Comeras I, Li Z, Zeng Q, Zhang HT, Pennison MJ, Sadim M, Pasche B, Tanner SM, de la Chapelle A (2008) Germline allele-specific expression of TGFβR1 confers an increased risk of colorectal cancer. Science 321: 1361–1365
Author information
Authors and Affiliations
Corresponding author
Rights and permissions
From twelve months after its original publication, this work is licensed under the Creative Commons Attribution-NonCommercial-Share Alike 3.0 Unported License. To view a copy of this license, visit http://creativecommons.org/licenses/by-nc-sa/3.0/
About this article
Cite this article
Abadie, C., Killian, A., Tinat, J. et al. Allelic imbalance of the TGFβR1 is not a major contributor to the genetic predisposition to colorectal cancer. Br J Cancer 104, 1517–1518 (2011). https://doi.org/10.1038/bjc.2011.124
Published:
Issue date:
DOI: https://doi.org/10.1038/bjc.2011.124
This article is cited by
-
BRCA1 allele-specific expression in genetic predisposed breast/ovarian cancer
Familial Cancer (2017)
-
Reply: Allelic imbalance of TGFBR1 is not a major contributor to the genetic predisposition to colorectal cancer
British Journal of Cancer (2011)
