Abstract
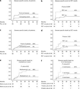
18F-fluorodeoxyglucose positron emission tomography (FDG-PET) documented response after salvage chemotherapy has been reported to impact survival in patients with aggressive non-Hodgkin’s lymphoma, especially diffuse large B cell lymphoma (DLBCL) undergoing high dose chemotherapy and autologous SCT (HDC auto-SCT). We reviewed the impact of 19 different prognostic/predictive factors before salvage chemotherapy and post-salvage chemotherapy FDG-PET results in patients with aggressive lymphoma and developed an FDG-PET integrated model for post-HDC auto-SCT outcome. The Fine and Gray method for competing risk analysis and a regression model was used to assess the risk associated with different factors on outcome. Fifty-five patients had FDG-PET after salvage chemotherapy; male 65%, female 45%, relapsed 55%, refractory 45%, DLBCL 82%, T cell lymphoma 18%, median age at auto-SCT 40 years, median follow-up 42.4 months. Multivariate analysis identified only positive FDG-PET (P=0.04) and mediastinal involvement (P=0.05) with higher hazard rate of disease-specific death (model P=0.008) but only positive FDG-PET (P=0.01) for disease-specific events (persistent, progressive or relapsed disease). Cumulative incidence of disease-specific death for patients with 0, 1 and 2 risk factors was 5, 30 and 62%, respectively (P=0.01). Our model is significant and showed an increasing risk of failure with mediastinal involvement and post-salvage positive FDG-PET.
This is a preview of subscription content, access via your institution
Access options
Subscribe to this journal
Receive 12 print issues and online access
$259.00 per year
only $21.58 per issue
Buy this article
- Purchase on SpringerLink
- Instant access to the full article PDF.
USD 39.95
Prices may be subject to local taxes which are calculated during checkout

Similar content being viewed by others
References
Philip T, Guglielmi C, Hagenbeek A, Somers R, Van der Lelie H, Bron D et al. Autologous bone marrow transplantation as compared with salvage chemotherapy in relapses of chemotherapy-sensitive non-Hodgkin's lymphoma. N Engl J Med 1995; 333: 540–545.
Vose JM, Zhang MJ, Rowlings PA, Lazarus HM, Bolwell BJ, Freytes CO et al. Autologous transplantation for diffuse aggressive non-Hodgkin's lymphoma in patients never achieving remission: a report from the Autologous Blood and Marrow Transplant Registry. J Clin Oncol 2001; 19: 406–413.
Shimoni A, Avivi I, Rowe J, Yeshurun M, Levi I, Or R et al. A randomized study comparing yttrium-90 ibritumomab tiuxetan (Zevalin) and high-dose BEAM chemotherapy versus BEAM alone as the conditioning regimen before autologous stem cell transplantation in patients with aggressive lymphoma. Cancer 2012, (e-pub ahead of print 17 January 2012; doi:10.11002/cncr.27418).
Palmer J, Goggins T, Broadwater G, Chao N, Horwitz M, Beaven A et al. Early post transplant (F-18) 2-fluoro-2-deoxyglucose positron emission tomography does not predict outcome for patients undergoing auto-SCT in non-Hodgkin and Hodgkin lymphoma. Bone Marrow Transplant 2011; 46: 847–851.
Roland V, Bodet-Milin C, Moreau A, Gastinne T, Mahé B, Dubruille V et al. Impact of high-dose chemotherapy followed by auto-SCT for positive interim [18F] FDG-PET diffuse large B-cell lymphoma patients. Bone Marrow Transplant 2011; 46: 393–399.
Qiao W, Zhao J, Wang C, Wang T, Xing Y . Predictive value of (18)F-FDG hybrid PET/CT for the clinical outcome in patients with non-Hodgkin's lymphoma prior to and after autologous stem cell transplantation. Hematology 2010; 15: 21–27.
Dickinson M, Hoyt R, Roberts A, Grigg A, Seymour JF, Prince HM et al. Improved survival for relapsed diffuse large B cell lymphoma is predicted by a negative pre-transplant FDG-PET scan following salvage chemotherapy. Br J Haematol 2010; 150: 39–45.
Hoppe BS, Moskowitz CH, Zhang Z, Maragulia J, Rice R, Reiner A et al. The role of FDG-PET imaging and involved field radiotherapy in relapsed or refractory diffuse large B-cell lymphoma. Bone Marrow Transplant 2009; 12: 941–948.
Derenzini E, Musuraca G, Fanti S, Stefoni V, Tani M, Alinari L et al. Pretransplantation positron emission tomography scan is the main predictor of autologous stem cell transplantation outcome in aggressive B-cell non-Hodgkin lymphoma. Cancer 2008; 113: 2496–2503.
Crocchiolo R, Canevari C, Assanelli A, Lunghi F, Tassara M, Stanghellini M et al. Pre-transplant 18FDG-PET predicts outcome in lymphoma patients treated with high-dose sequential chemotherapy followed by autologous stem cell transplantation. Leuk Lymphoma 2008; 49: 727–733.
Filmont JE, Gisselbrecht C, Cuenca X, Deville L, Ertault M, Brice P et al. The impact of pre- and post-transplantation positron emission tomography using 18-fluorodeoxyglucose on poor-prognosis lymphoma patients undergoing autologous stem cell transplantation. Cancer 2007; 110: 1361–1369.
Schot BW, Zijlstra JM, Sluiter WJ, van Imhoff GW, Pruim J, Vaalburg W et al. Early FDG-PET assessment in combination with clinical risk scores determines prognosis in recurring lymphoma. Blood 2007; 109: 486–491.
Bondly CC, Johnston PB, Lowe VJ, Ansell SM, Inwards DJ, Porrata LF et al. Positive positron emission tomography (PET) pre-autologous stem cell transplant (ASCT) in non-Hodgkin lymphoma (NHL) does not preclude successful outcome. Biol Blood Marrow Transplant 2006 Abstract 45: 18–19.
Svoβboda J, Andreadis C, Elstrom R, Chong E, Downs L, Berkowitz A et al. Prognostic value of FDG-PET scan imaging in lymphoma patients undergoing autologous stem cell transplantation. Bone Marrow Transplant 2006; 38: 211–216.
Spaepen K, Stroobants S, Dupont P, Vandenberghe P, Maertens J, Bormans G et al. Prognostic value of pretransplantation positron emission tomography using fluorine 18-fluorodeoxyglucose in patients with aggressive lymphoma treated with high-dose chemotherapy and stem cell transplantation. Blood 2003; 102: 53–59.
Cheson BD, Horning SJ, Coiffier B, Shipp MA, Fisher RI, Connors JM et al. Report of an international workshop to standardize response criteria for non-Hodgkin's lymphomas. NCI Sponsored International Working Group. J Clin Oncol 1999; 17: 1244–1253.
Fine JP, Gray RJ . A proportional hazards model for the subdistribution of a competing risk. J Am Stat Assoc 1999; 94: 496–509.
Scrucca L, Santucci A, Aversa F . Regression modeling of competing risk using R: an in depth guide for clinicians. Bone Marrow Transplant 2010; 45: 1388–1395.
Akhtar S, Tbakhi A, Humaidan H, El Weshi A, Rahal M, Maghfoor I . ESHAP+fixed dose G-CSF as autologous peripheral blood stem cell mobilization regimen in patients with relapsed or refractory diffuse large cell and Hodgkin's lymphoma: a single institution result of 127 patients. Bone Marrow Transplant 2006; 37: 277–282.
Stefani P, Salvadori U, Gottardi M, Bissoli S, Chierichetti F, Gherlinzoni F . Prognostic value of positron emission tomography/computed tomography (PET/CT) in patients with lymphoma treated with autologous stem cell transplantation for relapsed/refractory or high-risk disease. Bone Marrow Transplant 2010; 45: Abstract P834.
Kletter K, Kalhs P . (18)F-deoxyglucose PET: useful in the management of patients with stem cell transplantation for lymphoma? Expert Rev Hematol 2010; 3: 405–410.
Lambert JR, Bomanji JB, Peggs KS, Thomson KJ, Chakraverty RK, Fielding AK et al. Prognostic role of PET scanning before and after reduced-intensity allogeneic stem cell transplantation for lymphoma. Blood 2010; 115: 2763–2768.
Bachanova V, Karagulle AT, Karagulle KAT, Froelich J, Cao Q, Cao Q et al. Pre-transplant positron emission tomography (PET) scan is not predictive of relapse and survival in non-Hodgkin lymphoma (NHL) patients undergoing allogeneic transplantation. Biol Blood Marrow Transplant 2012; 18: S294.
Kudo M, Tada K, Tajima K, Asakura Y, Kim S-W, Hiramoto N et al. Prognostic significance of pre-transplantation FDG-PET/CT in patients who undergo allogenic stem cell transplantation for lymphoma. Biol Blood Marrow Transplant 2011; 17: S252.
Dodero A, Crocchiolo R, Patriarca F, Miceli R, Castagna L, Ciceri F et al. Pretransplantation [18-F]fluorodeoxyglucose positron emission tomography scan predicts outcome in patients with recurrent Hodgkin lymphoma or aggressive non-Hodgkin lymphoma undergoing reduced-intensity conditioning followed by allogeneic stem cell transplantation. Cancer 2011; 116: 5001–5011.
Acknowledgements
We appreciate Ms Ruqaya Belkhedim, Mr Fayez Abu Zeid and Ms Fadia Mansour from BMT clinic, Mr Edgardo Colcol and Riad Youniss from Oncology Research Unit for their valuable contribution.
Author contributions: SA was the principal investigator, designed research, collected data, analyzed and interpreted data, wrote the manuscript. A Al-S and M Abu collected data, read PET scans and critically reviewed/provided input for manuscript; YA collected data, read CT scans and critically reviewed/T Elhassan performed statistical analysis and wrote statistical portion of the manuscript. M Abd, MD, HS, M Nabil-A, AD and AE collected data and critically reviewed/provided input for manuscript; IM designed research, collected data, interpreted data, helped in manuscript writing.
Author information
Authors and Affiliations
Corresponding author
Ethics declarations
Competing interests
The authors declare no conflict of interest.
Appendix
Appendix
1. Akhtar S, Al-Sugair A, Al Kadhi Y, Al-Zahrani A, Abdelsalam M, Bazarbashi S, Ajarim D, Maghfoor I. Prospective evaluation of 18F-fluorodeoxyglucose (FDG) positron emission tomography as a predictor of residual disease and subsequent relapse in patients with diffuse large cell lymphoma and Hodgkin’s lymphoma undergoing HDC and ASCT. Transplantation 2008; 4 (supplemental 1): S213, Abstract O 262. 34th Annual Meeting of the European Group for Blood and Marrow Transplantation. 30 March–02 April 2008, Florence, Italy.
2. Akhtar S, Al-Sugair A, Abuzaid M, Al Kadhi Y, Dingle M, Abdelsalam M, Soudy H, Darwish A, Altijani A, Nabil M, Maghfoor I. 18F-fluorodeoxyglucose (FDG) positron emission tomography (PET) prior to high dose chemotherapy and autologous stem cell transplant predicts outcome after ASCT in patients with diffuse large cell lymphoma and Hodgkin’s lymphoma. Results of 110 patients. European Group for Blood and Marrow Transplantation 36th Annual Congress (EBMT) 2010, Vienna, Austria, 21–24 March 2010. Bone Marrow Transplantation 2010; (45)S2: S247, Abstract P819.
3. Akhtar S, Al-Sugair A, Abuzaid M, Al Kadhi Y, Dingle M, Abdelsalam M, Soudy H, Darwish A, Eltigani A, Nabil M, Maghfoor I. A new pre-transplant predictive model for event-free survival incorporating functional imaging using FDG-PET in lymphoma patients undergoing HDC and ASCT. European Hematology Association 15th Congress, 10–13 June 2010. Barcelona, Spain. Hematologica 2010; 95: S2; 208–209, Abstract 0510.
Rights and permissions
About this article
Cite this article
Akhtar, S., Al-Sugair, A., Abouzied, M. et al. Pre-transplant 18F-fluorodeoxyglucose positron emission tomography-based survival model in patients with aggressive lymphoma undergoing high-dose chemotherapy and autologous SCT. Bone Marrow Transplant 48, 551–556 (2013). https://doi.org/10.1038/bmt.2012.168
Received:
Revised:
Accepted:
Published:
Issue date:
DOI: https://doi.org/10.1038/bmt.2012.168
Keywords
This article is cited by
-
Long-term remissions in patients with early relapse of diffuse large B-cell lymphoma following high-dose chemotherapy, autologous stem cell transplantation, and radiotherapy of residual disease
Strahlentherapie und Onkologie (2022)
-
PET Scans for Staging and Restaging in Diffuse Large B-Cell and Follicular Lymphomas
Current Hematologic Malignancy Reports (2016)
-
Pre-transplant FDG-PET-based survival model in relapsed and refractory Hodgkin’s lymphoma: outcome after high-dose chemotherapy and auto-SCT
Bone Marrow Transplantation (2013)


