Abstract
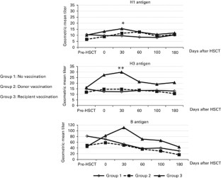
Pretransplant influenza vaccination of the donor or allogeneic hematopoietic SCT (HSCT) candidate was evaluated in a randomized study. One hundred and twenty-two HSCT recipients and their donors were assigned to three randomization groups: no pretransplant vaccination (n=38), donor pretransplant vaccination (n=44) or recipient pretransplant vaccination (n=40). Specific IgG was assessed by both hemagglutinin inhibition (HI) and, in 57 patients, by an indirect influenza-specific ELISA at specified times after HSCT. Vaccinated donors had seroprotective HI titers for Ags H1 and H3 (P<0.001) compared with the other groups at the time of donation. The titers against H1 (P=0.028) and H3 (P<0.001) were highest in the pretransplant recipient vaccination group until day 180 after transplantation. A significant difference was found in the specific Ig levels against pandemic H1N1 at 6 months after SCT (P=0.02). The mean IgG levels against pandemic H1N1 and generic H1N1 and H3N2 were highest in the pretransplant recipient vaccination group. We conclude that pretransplant recipient vaccination improved the influenza-specific seroprotection rates.
This is a preview of subscription content, access via your institution
Access options
Subscribe to this journal
Receive 12 print issues and online access
$259.00 per year
only $21.58 per issue
Buy this article
- Purchase on SpringerLink
- Instant access to the full article PDF.
USD 39.95
Prices may be subject to local taxes which are calculated during checkout




Similar content being viewed by others
References
Nichols WG, Guthrie KA, Corey L, Boeckh M . Influenza infections after hematopoietic stem cell transplantation: risk factors, mortality, and the effect of antiviral therapy. Clin Infect Dis 2004; 39: 1300–1306.
Ljungman P, de la Camara R, Perez-Bercoff L, Abecasis M, Nieto Campuzano JB, Cannata-Ortiz MJ et al. Outcome of pandemic H1N1 infections in hematopoietic stem cell transplant recipients. Haematologica 2011; 96: 1231–1235.
Machado CM, Boas LS, Mendes AV, da Rocha IF, Sturaro D, Dulley FL et al. Use of Oseltamivir to control influenza complications after bone marrow transplantation. Bone marrow Transplant 2004; 34: 111–114.
Machado CM, Cardoso MR, da Rocha IF, Boas LS, Dulley FL, Pannuti CS . The benefit of influenza vaccination after bone marrow transplantation. Bone Marrow Transplant 2005; 36: 897–900.
Rubin LG, Levin MJ, Ljungman P, Davies EG, Avery R, Tomblyn M et al. 2013 IDSA clinical practice guideline for vaccination of the immunocompromised host. Clin Infect Dis 2014; 58: 309–318.
Wahren B, Gahrton G, Linde A, Ljungman P, Lonnqvist B, Ringden O et al. Transfer and persistence of viral antibody-producing cells in bone marrow transplantation. J Infect Dis 1984; 150: 358–365.
Ljungman P, Lewensohn-Fuchs I, Hammarstrom V, Aschan J, Brandt L, Bolme P et al. Long-term immunity to measles, mumps, and rubella after allogeneic bone marrow transplantation. Blood 1994; 84: 657–663.
Ljungman P, Aschan J, Gustafsson B, Lewensohn-Fuchs I, Winiarski J, Ringden O . Long-term immunity to poliovirus after vaccination of allogeneic stem cell transplant recipients. Bone Marrow Transplant 2004; 34: 1067–1069.
Lum LG, Munn NA, Schanfield MS, Storb R . The detection of specific antibody formation to recall antigens after human bone marrow transplantation. Blood 1986; 67: 582–587.
Storek J, Viganego F, Dawson MA, Herremans MMPT, Boeckh M, Flowers MED et al. Factors affecting antibody levels after allogeneic hematopoietic cell transplantation. Blood 2003; 101: 3319–3324.
Ilan Y, Nagler A, Adler R, Naparstek E, Or R, Slavin S et al. Adoptive transfer of immunity to hepatitis B virus after T cell-depleted allogeneic bone marrow transplantation. Hepatology 1993; 18: 246–252.
Ilan Y, Nagler A, Zeira E, Adler R, Slavin S, Shouval D . Maintenance of immune memory to the hepatitis B envelope protein following adoptive transfer of immunity in bone marrow transplant recipients. Bone Marrow Transplant 2000; 26: 633–638.
Molrine DC, Antin JH, Guinan EC, Soiffer RJ, MacDonald K, Malley R et al. Donor immunization with pneumococcal conjugate vaccine and early protective antibody responses following allogeneic hematopoietic cell transplantation. Blood 2003; 101: 831–836.
Ljungman P, Cordonnier C, Einsele H, Englund J, Machado CM, Storek J et al. Vaccination of hematopoietic cell transplant recipients. Bone Marrow Transplant 2009; 44: 521–526.
Salles MJ, Sens YA, Malafronte P, Souza JF, Vilas Boas LS, Machado CM . Antibody response to the non-adjuvanted and adjuvanted influenza A H1N1/09 monovalent vaccines in renal transplant recipients. Transpl Infect Dis 2012; 14: 564–574.
Engelhard D, Nagler A, Hardan I, Morag A, Aker M, Baciu H et al. Antibody response to a two-dose regimen of influenza vaccine in allogeneic T cell-depleted and autologous BMT recipients. Bone Marrow Transplant 1993; 11: 1–5.
Parkkali T, Stenvik M, Ruutu T, Hovi T, Volin L, Ruutu P . Randomized comparison of early and late vaccination with inactivated poliovirus vaccine after allogeneic BMT. Bone Marrow Transplant 1997; 20: 663–668.
Parkkali T, Olander RM, Ruutu T, Vuontela K, Volin L, Eskola J et al. A randomized comparison between early and late vaccination with tetanus toxoid vaccine after allogeneic BMT. Bone Marrow Transplant 1997; 19: 933–938.
Cordonnier C, Labopin M, Chesnel V, Ribaud P, De La Camara R, Martino R et al. Randomized study of early versus late immunization with pneumococcal conjugate vaccine after allogeneic stem cell transplantation. Clin Infect Dis 2009; 48: 1392–1401.
Vance E, George S, Guinan EC, Wheeler C, Antin JH, Ambrosino DM et al. Comparison of multiple immunization schedules for Haemophilus influenzae type b-conjugate and tetanus toxoid vaccines following bone marrow transplantation. Bone Marrow Transplant 1998; 22: 735–741.
Yalcin SS, Kondolot M, Albayrak N, Altas AB, Karacan Y, Kuskonmaz B et al. Serological response to influenza vaccine after hematopoetic stem cell transplantation. Ann Hematol 2010; 89: 913–918.
Guérin-El Khourouj V, Duchamp M, Krivine A, Pédron B, Ouachée-Chardin M, Yakouben K et al. Cellular and humoral immunity elicited by influenza vaccines in pediatric hematopoietic-stem cell transplantation. Hum Immunol 2012; 73: 884–890.
Engelhard D, Zakay-Rones Z, Shapira MY, Resnick I, Averbuch D, Grisariu S et al. The humoral immune response of hematopoietic stem cell transplantation recipients to AS03-adjuvanted A/California/7/2009 (H1N1)v-like virus vaccine during the 2009 pandemic. Vaccine 2011; 29: 1777–1782.
Dhédin N, Krivine A, Le Corre N, Mallet A, Lioure B, Bay J-O et al. Comparable humoral response after two doses of adjuvanted influenza A/H1N1pdm2009 vaccine or natural infection in allogeneic stem cell transplant recipients. Vaccine 2014; 32: 585–591.
Kunisaki KM, Janoff EN . Influenza in immunosuppressed populations: a review of infection frequency, morbidity, mortality, and vaccine responses. Lancet Infect Dis 2009; 9: 493–504.
Ring A, Marx G, Steer C, Harper P . Influenza vaccination and chemotherapy: a shot in the dark? Support Care Cancer 2002; 10: 462–465.
de Lavallade H, Garland P, Sekine T, Hoschler K, Marin D, Stringaris K et al. Repeated vaccination is required to optimize seroprotection against H1N1 in the immunocompromised host. Haematologica 2011; 96: 307–314.
Terajima M, Cruz J, Leporati AM, Orphin L, Babon JAB, Co MDT et al. Influenza A virus matrix protein 1-specific human CD8+ T-cell response induced in trivalent inactivated vaccine recipients. J Virol 2008; 82: 9283–9287.
Renfrey S, Watts A . Morphological and biochemical characterization of influenza vaccines commercially available in the United Kingdom. Vaccine 1994; 12: 747–752.
Garcia-Cañas V, Lorbetskie B, Girard M . Rapid and selective characterization of influenza virus constituents in monovalent and multivalent preparations using non-porous reversed-phase high performance liquid chromatography columns. J Chromatogr A 2006; 1123: 225–232.
Garcia-Cañas V, Lorbetskie B, Cyr TD, Hefford MA, Smith S, Girard M . Approach to the profiling and characterization of influenza vaccine constituents by the combined use of size-exclusion chromatography, gel electrophoresis and mass spectrometry. Biologicals 2010; 38: 294–302.
Wimperis JZ, Brenner MK, Prentice HG, Reittie JE, Karayiannis P, Griffiths PD et al. Transfer of a functioning humoral immune system in transplantation of T-lymphocyte-depleted bone marrow. Lancet 1986; 1: 339–343.
Saxon A, Mitsuyasu R, Stevens R, Champlin RE, Kimata H, Gale RP . Designed transfer of specific immune responses with bone marrow transplantation. J Clin Invest 1986; 78: 959–967.
Molrine DC, Guinan EC, Antin JH, Parsons SK, Weinstein HJ, Wheeler C et al. Donor immunization with Haemophilus influenzae type b (HIB)-conjugate vaccine in allogeneic bone marrow transplantation. Blood 1996; 87: 3012–3018.
Acknowledgements
We thank all the patient participants. This work was supported by Fundação de Amparo à Pesquisa do Estado de São Paulo (FAPESP 2008/00282-8), Vetenskaprådet (Swedish research council), Karolinska Instituet and Karolinska University Hospital.
Author information
Authors and Affiliations
Corresponding author
Ethics declarations
Competing interests
The authors declare no conflict of interest.
Additional information
Supplementary Information accompanies this paper on Bone Marrow Transplantation website
Supplementary information
Rights and permissions
About this article
Cite this article
Ambati, A., Boas, L., Ljungman, P. et al. Evaluation of pretransplant influenza vaccination in hematopoietic SCT: a randomized prospective study. Bone Marrow Transplant 50, 858–864 (2015). https://doi.org/10.1038/bmt.2015.47
Received:
Revised:
Accepted:
Published:
Issue date:
DOI: https://doi.org/10.1038/bmt.2015.47
This article is cited by
-
Cross-protective antibodies against common endemic respiratory viruses
Nature Communications (2023)
-
Epstein–Barr virus- and cytomegalovirus-specific immune response in patients with brain cancer
Journal of Translational Medicine (2018)
-
A pilot randomized trial of adjuvanted influenza vaccine in adult allogeneic hematopoietic stem cell transplant recipients
Bone Marrow Transplantation (2017)


