Abstract
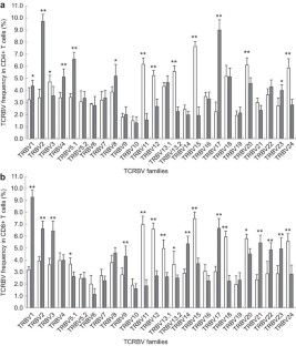
The profile of T-cell receptor beta-chain variable (TRBV) genes usually skews in subjects with virus infection or cancer. The gene melting spectral pattern (GMSP) can be used to determine the profile of the TRBV gene family. To explore the portrait of the TRBV family in peripheral blood lymphocytes from subjects who have recovered from acute hepatitis B virus infection (AHI), peripheral blood mononuclear cells (PBMCs) were separated and further sorted into CD4+ and CD8+ T-cell subsets. The molecular features of the TRBV complementary determining region 3 (CDR3) motifs were determined using GMSP analysis. When a GMSP profile showed a single peak, the monoclonally expanded TRBV gene was cloned and sequenced. Skewed expansions of multiple TRBV genes were observed among the CD4+ and CD8+ T-cell subsets and the PBMCs. The frequency of monoclonally expanded TRBV genes in the CD8+ T-cell subset was significantly higher than that of the CD4+ T-cell subset and the PBMCs. Compared to other members of the TRBV gene family, TRBV11, BV15 and BV20 were predominantly expressed in the repertoire of peripheral blood lymphocytes in recovered AHI subjects. The relatively conserved amino acid motifs of TRBV5.1 and BV20 CDR3 were also detected in the CD4+ and CD8+ T-cell subsets. These results demonstrate the presence of multiple biased TRBV families in recovered AHI subjects. TRBV11, BV15 and BV20, especially from the CD8+ T-cell subset, may be relevant to the pathogenesis of subjects with AHI. The preferentially selected TRBV5.1 and BV20 with the relatively conserved CDR3 motif may be potential targets for personalized treatments of chronic HBV infection.
This is a preview of subscription content, access via your institution
Access options
Subscribe to this journal
Receive 12 digital issues and online access to articles
$119.00 per year
only $9.92 per issue
Buy this article
- Purchase on SpringerLink
- Instant access to the full article PDF.
USD 39.95
Prices may be subject to local taxes which are calculated during checkout





Similar content being viewed by others
References
Wiersma ST, McMahon B, Pawlotsky JM, Thio CL, Thursz M, Lim SG et al. Treatment of chronic hepatitis B virus infection in resource-constrained settings: expert panel consensus. Liver Int 2011; 31: 755–761.
McMahon BJ . The natural history of chronic hepatitis B virus infection. Hepatology 2009; 49: S45–S55.
Su WJ, Liu CC, Liu DP, Chen SF, Huang JJ, Chan TC et al. Effect of age on the incidence of acute hepatitis B after 25 years of a universal newborn hepatitis B immunization program in Taiwan. J Infect Dis 2012; 205: 757–762.
Dandri M, Locarnini S . New insight in the pathobiology of hepatitis B virus infection. Gut 2012; 61 Suppl 1: i6–i17.
Balamurugan A, Ng HL, Yang OO . Rapid T cell receptor delineation reveals clonal expansion limitation of the magnitude of the HIV-1-specific CD8+ T cell response. J Immunol 2010; 185: 5935–5942.
Sandalova E, Laccabue D, Boni C, Watanabe T, Tan A, Zong HZ et al. Increased levels of arginase in patients with acute hepatitis B suppress antiviral T cells. Gastroenterology 2012; 143: 78–87.
Petrova GV, Naumova EN, Gorski J . The polyclonal CD8 T cell response to influenza M158-66 generates a fully connected network of cross-reactive clonotypes to structurally related peptides: a paradigm for memory repertoire coverage of novel epitopes or escape mutants. J Immunol 2011; 186: 6390–6397.
Yang JZ, Li MW, Wang JG, Lu HF, Yao XS, He JQ et al. Rapid detection of clonal expansion of T-cell receptor-beta gene in patients with HBV using the real-time PCR with DNA melting curve analysis. Hepatol Res 2010; 40: 407–414.
Zhou J, Ma R, Luo R, Sun Y, He X, Sun W et al. Primary exploration of CDR3 spectratyping and molecular features of TCR beta chain in the peripheral blood and tissue of patients with colorectal carcinoma. Cancer Epidemiol 2010; 34: 733–740.
Chinese Society of Infectious Diseases and Parasitic Diseases CSoH, Chinese Medical Association. Management scheme of diagnostic and therapy criteria of viral hepatitis. Zhong hua Gan Zang Bing Za Zhi 2000; 8: 324–329. Chinese.
Lok AS, McMahon BJ . Chronic hepatitis B. Hepatology 2007; 45: 507–539.
Chen Y, Li X, Ye B, Yang X, Wu W, Chen B et al. Effect of telbivudine therapy on the cellular immune response in chronic hepatitis B. Antiviral Res 2011; 91: 23–31.
Yao XS, Zhang GW, Ma L, Wen Q, Hou JL, Meng MJ et al. Analysis of the CDR3 length of TCR alphabeta T cells in the peripheral blood of patients with chronic hepatitis B. Hepatol Res 2006; 35: 10–18.
Yang J, Yi P, Wei L, Xu Z, Chen Y, Tang L et al. Phenotypes and clinical significance of circulating CD4+CD25+ regulatory T cells (Tregs) in patients with acute-on-chronic liver failure (ACLF). J Transl Med 2012; 10: 193.
Ochsenreither S, Fusi A, Busse A, Nagorsen D, Schrama D, Becker J et al. Relative quantification of TCR Vbeta-chain families by real time PCR for identification of clonal T-cell populations. J Transl Med 2008; 6: 34.
Sun W, Nie H, Li N, Zang YC, Zhang D, Feng G et al. Skewed T-cell receptor BV14 and BV16 expression and shared CDR3 sequence and common sequence motifs in synovial T cells of rheumatoid arthritis. Genes Immun 2005; 6: 248–261.
Yang J, Xu K, Zheng J, Wei L, Fan J, Li L . Limited T cell receptor beta variable repertoire responses to ESAT-6 and CFP-10 in subjects infected with Mycobacterium tuberculosis. Tuberculosis (Edinb) 2013; 93: 529–537.
Schmidt AH, Baier D, Solloch UV, Stahr A, Cereb N, Wassmuth R et al. Estimation of high-resolution HLA-A, -B, -C, -DRB1 allele and haplotype frequencies based on 8862 German stem cell donors and implications for strategic donor registry planning. Hum Immunol 2009; 70: 895–902.
Marrack P, Kappler J . Positive selection of thymocytes bearing alpha beta T cell receptors. Curr Opin Immunol 1997; 9: 250–255.
Miqueu P, Guillet M, Degauque N, Dore JC, Soulillou JP, Brouard S . Statistical analysis of CDR3 length distributions for the assessment of T and B cell repertoire biases. Mol Immunol 2007; 44: 1057–1064.
Okajima M, Wada T, Nishida M, Yokoyama T, Nakayama Y, Hashida Y et al. Analysis of T cell receptor Vbeta diversity in peripheral CD4 and CD8 T lymphocytes in patients with autoimmune thyroid diseases. Clin Exp Immunol 2009; 155: 166–172.
Du JW, Gu JY, Liu J, Cen XN, Zhang Y, Ou Y et al. TCR spectratyping revealed T lymphocytes associated with graft-versus-host disease after allogeneic hematopoietic stem cell transplantation. Leuk Lymphoma 2007; 48: 1618–1627.
Sethi DK, Schubert DA, Anders AK, Heroux A, Bonsor DA, Thomas CP et al. A highly tilted binding mode by a self-reactive T cell receptor results in altered engagement of peptide and MHC. J Exp Med 2011; 208: 91–102.
Leimgruber A, Ferber M, Irving M, Hussain-Kahn H, Wieckowski S, Derre L et al. TCRep 3D: an automated in silico approach to study the structural properties of TCR repertoires. PLoS ONE 2011; 6: e26301.
Kreslavsky T, Gleimer M, Garbe AI, von Boehmer H . alphabeta versus gammadelta fate choice: counting the T-cell lineages at the branch point. Immunol Rev 2010; 238: 169–181.
Das A, Hoare M, Davies N, Lopes AR, Dunn C, Kennedy PT et al. Functional skewing of the global CD8 T cell population in chronic hepatitis B virus infection. J Exp Med 2008; 205: 2111–2124.
Paley MA, Kroy DC, Odorizzi PM, Johnnidis JB, Dolfi DV, Barnett BE et al. Progenitor and terminal subsets of CD8+ T cells cooperate to contain chronic viral infection. Science 2012; 338: 1220–1225.
Hohn H, Neukirch C, Freitag K, Necker A, Hitzler W, Seliger B et al. Longitudinal analysis of the T-cell receptor (TCR)-VA and -VB repertoire in CD8+ T cells from individuals immunized with recombinant hepatitis B surface antigen. Clin Exp Immunol 2002; 129: 309–317.
Seo KS, Park JY, Terman DS, Bohach GA . A quantitative real time PCR method to analyze T cell receptor Vbeta subgroup expansion by staphylococcal superantigens. J Transl Med 2010; 8: 2.
Singh NJ, Bando JK, Schwartz RH . Subsets of nonclonal neighboring CD4+ T cells specifically regulate the frequency of individual antigen-reactive T cells. Immunity 2012; 37: 735–746.
Miles JJ, Douek DC, Price DA . Bias in the alphabeta T-cell repertoire: implications for disease pathogenesis and vaccination. Immunol Cell Biol 2011; 89: 375–387.
Huang CF, Lin SS, Ho YC, Chen FL, Yang CC . The immune response induced by hepatitis B virus principal antigens. Cell Mol Immunol 2006; 3: 97–106.
Yuh K, Sugyo S, Nakamura K, Shijo H, Emi K, Harada K et al. Analysis of human T-cell antigen receptor variable beta gene usage following vaccination with recombinant HBsAg. Dig Dis Sci 1998; 43: 880–886.
Desmond CP, Bartholomeusz A, Gaudieri S, Revill PA, Lewin SR . A systematic review of T-cell epitopes in hepatitis B virus: identification, genotypic variation and relevance to antiviral therapeutics. Antivir Ther 2008; 13: 161–175.
Matalon E, Faingold O, Eisenstein M, Shai Y, Goldfarb D . The topology, in model membranes, of the core peptide derived from the T-cell receptor transmembrane domain. Chembiochem 2013; 14: 1867–1875.
Martinet J, Leroy V, Dufeu-Duchesne T, Larrat S, Richard MJ, Zoulim F et al. Plasmacytoid dendritic cells induce efficient stimulation of antiviral immunity in the context of chronic hepatitis B virus infection. Hepatology 2012; 56: 1706–1718.
Locarnini S . Transmission of antiviral drug resistant hepatitis B virus: implications for public health and patient management. J Gastroenterol Hepatol 2010; 25: 649–651.
Morgan RA, Dudley ME, Wunderlich JR, Hughes MS, Yang JC, Sherry RM et al. Cancer regression in patients after transfer of genetically engineered lymphocytes. Science 2006; 314: 126–129.
Gehring AJ, Xue SA, Ho ZZ, Teoh D, Ruedl C, Chia A et al. Engineering virus-specific T cells that target HBV infected hepatocytes and hepatocellular carcinoma cell lines. J Hepatol 2011; 55: 103–110.
Vizcardo R, Masuda K, Yamada D, Ikawa T, Shimizu K, Fujii S et al. Regeneration of human tumor antigen-specific T cells from iPSCs derived from mature CD8+ T cells. Cell Stem Cell 2013; 12: 31–36.
Nishimura T, Kaneko S, Kawana-Tachikawa A, Tajima Y, Goto H, Zhu D et al. Generation of rejuvenated antigen-specific T cells by reprogramming to pluripotency and redifferentiation. Cell Stem Cell 2013; 12: 114–126.
Kobayashi E, Mizukoshi E, Kishi H, Ozawa T, Hamana H, Nagai T et al. A new cloning and expression system yields and validates TCRs from blood lymphocytes of patients with cancer within 10 days. Nat Med 2013; 19: 1542–1546.
Gehring AJ, Haniffa M, Kennedy PT, Ho ZZ, Boni C, Shin A et al. Mobilizing monocytes to cross-present circulating viral antigen in chronic infection. J Clin Invest 2013; 123: 3766–3776.
Dou HY, Wu JC, Peng WL, Chang C, Chi WK, Chu YD et al. Analysis of T cell receptor Vbeta gene usage during the course of disease in patients with chronic hepatitis B. J Biomed Sci 1998; 5: 428–434.
Maru Y, Yokosuka O, Imazeki F, Saisho H, Omata M . Analysis of T cell receptor variable regions and complementarity determining region 3 of infiltrating T lymphocytes in the liver of patients with chronic type B hepatitis. Intervirology 2003; 46: 277–288.
Piepenbrink KH, Blevins SJ, Scott DR, Baker BM . The basis for limited specificity and MHC restriction in a T cell receptor interface. Nat Commun 2013; 4: 1948.
Smith SN, Sommermeyer D, Piepenbrink KH, Blevins SJ, Bernhard H, Uckert W et al. Plasticity in the contribution of T cell receptor variable region residues to binding of peptide–HLA-A2 complexes. J Mol Biol 2013; 425: 4496–4507.
Burrows SR, Miles JJ . Immune parameters to consider when choosing T-cell receptors for therapy. Front Immunol 2013; 4: 229.
McMurry JA, Johansson BE, de Groot AS . A call to cellular & humoral arms: enlisting cognate T cell help to develop broad-spectrum vaccines against influenza A. Hum Vaccin 2008; 4: 148–157.
Xuan L, Wu X, Wu M, Zhang Y, Liu H, Fan Z et al. Effect of granulocyte colony-stimulating factor mobilization on the expression patterns, clonality and signal transduction of TRAV and TRBV repertoire. Immunobiology 2012; 217: 816–822.
Acknowledgements
This work was supported by the Zhejiang Medical Health Fund of China (2012RCA020), the National High-technology R&D Program of China (2013CB531406), the National Science and Technology Major Project (2012ZX10002-006) and the Program for Zhejiang Leading Team of S&T Innovation (2011R09041-02). The authors thank Ms Ping Ye and Ms Haifeng Lu from the Department of Infectious Diseases at the First Affiliated Hospital, College of Medicine, Zhejiang University for their help in collecting samples for this study.
Author information
Authors and Affiliations
Corresponding author
Ethics declarations
Competing interests
The authors declare no conflict of interest.
Additional information
Supplementary Information accompanies the paper on Cellular & Molecular Immunology’s website. (http://www.nature.com/cmi).
Supplementary information
Rights and permissions
About this article
Cite this article
Yang, J., Chen, J., He, J. et al. Profiling the repertoire of T-cell receptor beta-chain variable genes in peripheral blood lymphocytes from subjects who have recovered from acute hepatitis B virus infection. Cell Mol Immunol 11, 332–342 (2014). https://doi.org/10.1038/cmi.2014.22
Received:
Revised:
Accepted:
Published:
Issue date:
DOI: https://doi.org/10.1038/cmi.2014.22


