Abstract
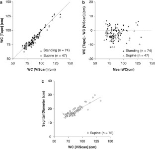
Waist circumference (WC) is a key variable to assess in health management as it is a proxy of abdominal fat mass and a surrogate marker of cardiometabolic disease risk, including the metabolic syndrome. Recently, a portable non-contact device calculating WC (ViScan) has been developed, which hence allows the tracking of WC independently of the inter-investigators error. We compared WC values obtained with this device with WC measured by simple non-stretchable tape in 74 adults of varying body mass indices (range 17–39 kg/m2). The correlation between the two methods was very high (r=0.97, P<0.0001) and the reproducibility (precision) assessed with a rigid phantom was excellent (<1 cm, coefficient of variability<1%). The instrument constitutes a potentially valuable tool for longitudinal surveys and comparative international studies, which require simple but precise measurements of WC in order to track the effect of subtle changes on various health outcomes.
This is a preview of subscription content, access via your institution
Access options
Subscribe to this journal
Receive 12 print issues and online access
$259.00 per year
only $21.58 per issue
Buy this article
- Purchase on SpringerLink
- Instant access to the full article PDF.
USD 39.95
Prices may be subject to local taxes which are calculated during checkout

Similar content being viewed by others
References
Browning LM, Mugridge O, Chatfield MD, Dixon AK, Aitken SW, Joubert I et al. (2010). Validity of a new abdominal bioelectrical impedance device to measure abdominal and visceral fat: comparison with MRI. Obesity 18, 2385–2391.
Geeta A, Jamaiyah H, Safiza MN, Khor GL, Kee CC, Ahmad AZ et al. (2009). Reliability, technical error of measurements and validity of instruments for nutritional status assessment of adults in Malaysia. Singapore Med J 50, 1013–1018.
Lohman TG, Roche AF, Martorell R (1988). Anthropometric Standardization Reference Manual. Human Kinetics Books: Champaign, IL, USA.
Mason C, Katzmarzyk PT (2009). Variability in waist circumference measurements according to anatomic measurement site. Obesity 17, 1789–1795.
Mason C, Katzmarzyk PT (2010). Waist circumference thresholds for the prediction of cardiometabolic risk : is measurement site important? Eur J Clin Nutr 64, 862–867.
Nádas J, Putz Z, Kolev G, Nagy S, Jermendy G (2008). Intraobserver and interobserver variability of measuring waist circumference. Med Sci Monit 14, CR15–CR18.
Panoulas VF, Ahmad N, Fazal AA, Kassamali RH, Nightingale P, Kitas GD et al. (2008). The inter-operator variability in measuring waist circumference and its potential impact on the diagnosis of the metabolic syndrome. Postgrad Med J 84, 344–347.
Thomas EL, Collins AL, McCarthy J, Fitzpatrick J, Durighel G, Goldstone AP et al. (2010). Estimation of abdominal fat compartments by bioelectrical impedance: the validity of the ViScan measurement system in comparison with MRI. Eur J Clin Nutr; 64, 525–533.
Wang J (2003). Waist circumference: a simple, inexpensive, and reliable tool that should be included as part of physical examinations in the doctor's office. Am J Clin Nutr; 78, 902–903.
World Health Organization (2000). Obesity: Preventing and Managing the Global Epidemic. World Health Organization: Geneva. WHO Technical Report Series; no.894.
Author information
Authors and Affiliations
Corresponding author
Ethics declarations
Competing interests
The authors declare no conflict of interest
Rights and permissions
About this article
Cite this article
Schutz, Y., Sarafian, D., Miles, J. et al. Non-contact assessment of waist circumference: will tape measurements become progressively obsolete?. Eur J Clin Nutr 66, 269–272 (2012). https://doi.org/10.1038/ejcn.2011.183
Received:
Revised:
Accepted:
Published:
Issue date:
DOI: https://doi.org/10.1038/ejcn.2011.183
Keywords
This article is cited by
-
Effect of soy on metabolic syndrome and cardiovascular risk factors: a randomized controlled trial
European Journal of Nutrition (2018)
-
Body composition-derived BMI cut-offs for overweight and obesity in Indians and Creoles of Mauritius: comparison with Caucasians
International Journal of Obesity (2016)
-
Water-induced thermogenesis and fat oxidation: a reassessment
Nutrition & Diabetes (2015)


