Abstract
Background/Objectives:
Obesity is associated with increased triglyceride levels. We examined whether overall obesity (body mass index (BMI)) and abdominal obesity (waist circumference (WC)) are independently associated with hypertriglyceridemia among the Korean population.
Subjects/Methods:
A national sample of 5036 Koreans aged 19–64 was examined with cross-sectional surveys, the Korea National Health and Nutrition Examination Survey, in 2007 and 2008. BMI, WC and other lifestyle information were assessed.
Results:
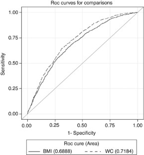
We documented 1344 cases (26.7%) of hypertriglyceridemia (fasting triglycerides of >150 mg/dl). Both BMI and WC were each independently associated with hypertriglyceridemia. Multivariate odds ratios (ORs) of increasing categories of BMI (<18.5, 18.5⩽–<23, 23⩽–<25, 25⩽–<28, ⩾28 kg/m2), were 0.49, 1.00 (reference), 1.26, 1.63 and 1.84, respectively (P=0.0007) adjusting for WC. There was a positive association between WC and hypertriglyceridemia across increasing quintiles of WC (multivariate-adjusted ORs: 1.00 (reference), 1.54, 2.54, 2.21 and 2.36; P<0.0001), adjusting for BMI. WC was positively related to hypertriglyceridemia in both gender. However, only women’s BMI was independently associated with hypertriglyceridemia after adjusting for WC. The joint relation between BMI and WC and hypertriglyceridemia showed that within each BMI category, higher WC predicted a greater prevalence of hypertriglyceridemia and vice versa. The receiver operating characteristic curves indicated that BMI (0.69) and WC (0.72) were similar in predicting hypertriglyceridemia.
Conclusions:
Both BMI and WC were strongly independently associated with hypertriglyceridemia among the population. Both measurements should be considered for use in assessing health risk at clinical settings and epidemiologic research among Asian population.
This is a preview of subscription content, access via your institution
Access options
Subscribe to this journal
Receive 12 print issues and online access
$259.00 per year
only $21.58 per issue
Buy this article
- Purchase on SpringerLink
- Instant access to the full article PDF.
USD 39.95
Prices may be subject to local taxes which are calculated during checkout


Similar content being viewed by others
References
Brunzell JD . Clinical practice. Hypertriglyceridemia. N Engl J Med 2007; 357: 1009–1017.
Han TS, van Leer EM, Seidell JC, Lean ME . Waist circumference action levels in the identification of cardiovascular risk factors: prevalence study in a random sample. BMJ 1995; 311: 1401–1405.
Yoon KH, Lee JH, Kim JW, Cho JH, Choi YH, Ko SH et al. Epidemic obesity and type 2 diabetes in Asia. Lancet 2006; 368: 1681–1688.
Kim DM, Ahn CW, Nam SY . Prevalence of obesity in Korea. Obes Rev 2005; 6: 117–121.
Ministry of Health and Welfare (MOHW)/ Korea Centers for Disease Control and Prevention (K-CDC) 2007 Korea National Health Statistics, 2008.
Ministry of Health and Welfare (MOHW)/ Korea Centers for Disease Control and Prevention (K-CDC) 2009 Korea National Health Statistics, 2010.
Wang J, Thornoton JC, Russel M, Burastero S, Heymsfield S, Pierson RN . Asians have lower body mass index but higher percent body fat than do whites: comparison of anthropometric measurements. Am J Clin Nutr 1994; 60: 23–28.
Western Pacific Regional Office of World Health Organization (WPRO). The Asia- Pacific Perspective: redefining obesity and its treatment. Int Obes Task Force 2000; 2: 15–21.
Obesity: preventing and managing the global epidemic. Report of a WHO Consultation. World Health Organization: Geneva, 2000 WHO Technical Report Series, No. 894).
Visscher TL, Kromhout D, Seidell JC . Long-term and recent time trends in the prevalence of obesity among Dutch men and women. Int J Obes Relat Metab Disord 2002; 26: 1218–1224.
Ho SC, Chen YM, Woo JL, Leung SS, Lam TH, Janus ED . Association between simple anthropometric indices and cardiovascular risk factors. Int J Obes Relat Metab Disord 2001; 25: 1689–1697.
Han TS, McNeill G, Seidell JC, Lean ME . Predicting intraabdominal fatness from anthropometric measures: the influence of stature. Int J Obes Relat Metab Disord 1997; 21: 587–593.
Lemieux S, Prud’homme D, Bouchard C, Tremblay A, Despres JP . A single threshold value of waist girth identifies normalweight and overweight subjects with excess visceral adipose tissue. Am J Clin Nutr 1996; 64: 685–693.
Lim S, Shin H, Song J, Kwak SH, Kang SM, Won Yoon J et al. Increasing prevalence of metabolic syndrome in Korea: the Korean National Health and Nutrition Examination Survey for 1998–2007. Diab Care 2011; 34: 1323–1328.
Lee SK . Should waist circumference be used to identify metabolic disorders than BMI in South Korea? Eur J Clin Nutr 2010; 64: 1373–1376.
Janssen I, Katzmarzyk PT, Ross R . Waist circumference and not body mass index explains obesity-related health risk. Am J Clin Nutr 2004; 79: 379–384.
Lee KO, Park JW . A rolling sampling design for the Korean National Health and Nutrition Examination Survey. Korean Assoc Sur Res 2007; 8: 67–89.
International Diabetes Federation. IDF worldwide definition of the metabolic syndrome. Available at http://www.idf.org/webdata/docs/MetSyndrome_FINAL.pdf.
Grundy SM, Cleeman JI, Merz CNB, Brewer HB, Clark LT, Hunninghake DB et al. Implications of recent clinical trials for the National Cholesterol Education Program Adult Treatment Panel III guidelines. Circulation 2004; 110: 227–239.
American Diabetes Association. Standards of medical care in diabetes 2008. Diab Care 2008; 31 (Suppl. 1), S12–S54.
Wood D, Wray R, Poulter N . British Cardiac Society, British Hypertension Society, Diabetes UK, HEART UK, Primary Care Cardiovascular Society, Stroke Association. JBS 2: Joint British Societies’ guidelines on prevention of cardiovascular disease in clinical practice. Heart 2005; 91 (Suppl 5), v1–v52.
Greiner M, Pfeiffer D, Smith RD . Principles and practical application of the receiver-operating characteristic analysis for diagnostic tests. Prev Vet Med 2000; 45: 23–41.
Chen CC, Wang WS, Chang HY, Liu JS, Chen YJ . Heterogeneity of body mass index, waist circumference, and waist-to-hip ratio in predicting obesity-related metabolic disorders for Taiwanese aged 35-64 y. Clin Nutr 2009; 28: 543–548.
Lin WY, Lee LT, Chen CY, Lo H, Hsia HH, Liu IL et al. Optimal cut-off values for obesity: using simple anthropometric indices to predict cardiovascular risk factors in Taiwan. Int J Obes Relat Metab Disord 2002; 26: 1232–1238.
Wu JY, Duan XY, Li L, Dai F, Li YY, Li XJ et al. Dyslipidemia in Shanghai, China. Prev Med 2010; 51: 412–415.
Seidell JC, Kahn HS, Williamson DF, Lissner L, Valdez R . Report from a Centers for Disease Control and Prevention Workshop on use of adult anthropometry for public health and primary health care. Am J Clin Nutr 2001; 73: 123–126.
Kissebah AH, Krakower GR . Regional adiposity and morbidity. Physiol Rev 1994; 74: 761–811.
Bao Y, Lu J, Chen W, Yang M, Li H, Zhang X et al. The optimal waist circumference cutoffs for abdominal obesity in Chinese. Atherosclerosis 2008; 201: 378–384.
Zhou BF . Predictive values of body mass index and waist circumference for risk factors of certain related diseases in Chinese adults - Study on optimal cut-off points of body mass index and waist circumference in Chinese adults. Biomed Environ Sci 2002; 15: 83–95.
Takahashi M, Shimomura K, Proks P, Craig TJ, Negishi T, Akuzawa M et al. A proposal of combined evaluation of waist circumference and bmi for the diagnosis of metabolic syndrome. Endocr J 2009; 56: 1079–1082.
Kim HK, Kim CH, Park JY, Lee KU . Lower waist-circumference cutoff point for the assessment of cardiometabolic risk in Koreans. Diabetes Res Clin Pract 2009; 85: 35–39.
Hara K, Matsushita Y, Horikoshi M, Yoshiike N, Yokoyama T, Tanaka H et al. A proposal for the cutoff point of waist circumference for the diagnosis of metabolic syndrome in the Japanese population. Diab Care 2006; 29: 1123–1124.
Ko GT, Chan JC, Cockram CS, Woo J . Prediction of hypertension, diabetes, dyslipidaemia or albuminuria using simple anthropometric indexes in Hong Kong Chinese. Int J Obes Relat Metab Disord 1999; 23: 1136–1142.
Van der Kallen CJH, Voors-Pette C, de Bruin TWA . Abdominal obesity and expression of familial combined. Obes Res 2004; 12: 2054–2061.
Dalton M, Cameron AJ, Zimmet PZ, Shaw JE, Jolley D, Dunstan DW et al. Waist circumference, waist–hip ratio and body mass index and their correlation with cardiovascular disease risk factors in Australian adults. J Intern Med 2003; 254: 555–563.
Carey VJ, Walters EE, Colditz GA, Solomon CG, Willet WC, Rosner BA et al. Body fat distribution and risk of non-insulin-dependent diabetes mellitus in women. The Nurses’ Health Study. Am J Epidemiol 1997; 145: 614–619.
Author information
Authors and Affiliations
Corresponding author
Ethics declarations
Competing interests
The authors declare no conflict of interest.
Rights and permissions
About this article
Cite this article
Lee, H., Lee, H., Cho, J. et al. Overall and abdominal adiposity and hypertriglyceridemia among Korean adults: the Korea National Health and Nutrition Examination Survey 2007–2008. Eur J Clin Nutr 67, 83–90 (2013). https://doi.org/10.1038/ejcn.2012.181
Received:
Revised:
Accepted:
Published:
Issue date:
DOI: https://doi.org/10.1038/ejcn.2012.181


